Номер 734, страница 209 - гдз по алгебре 9 класс учебник Солтан, Солтан

Авторы: Солтан Г. Н., Солтан А. Е., Жумадилова А. Ж.
Тип: Учебник
Издательство: Кокшетау
Год издания: 2019 - 2025
Цвет обложки:
ISBN: 978-601-317-424-2
Рекомендовано Министерством образования и науки Республики Казахстан
Популярные ГДЗ в 9 классе
27. Формулы тригонометрических функций двойного и половинного углов. IV. Тригонометрия - номер 734, страница 209.
№734 (с. 209)
Условие. №734 (с. 209)
скриншот условия

734. Докажите тождество:
a)
$\operatorname{tg} 3\alpha = \frac{3\operatorname{tg}\alpha - \operatorname{tg}^3\alpha}{1 - 3\operatorname{tg}^2\alpha}$;
б)
$\frac{\sin 3\alpha}{\sin \alpha} = 2 + \frac{\cos 3\alpha}{\cos \alpha}$;
в)
$\frac{\operatorname{tg}^2 2\alpha - \operatorname{tg}^2 \alpha}{1 - \operatorname{tg}^2 2\alpha \operatorname{tg}^2 \alpha} = \operatorname{tg} 3\alpha \cdot \operatorname{tg} \alpha.$
Решение. №734 (с. 209)


Решение 2 (rus). №734 (с. 209)
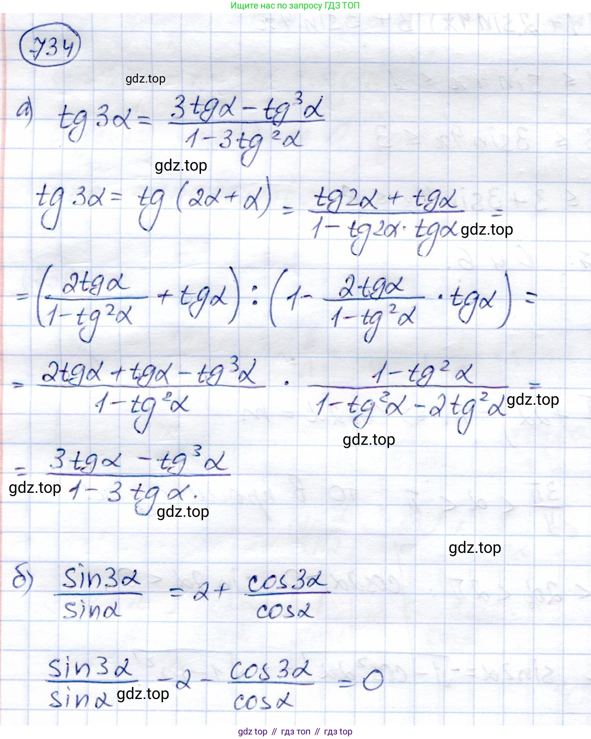
а) Докажем тождество, преобразовав левую часть. Используем формулу тангенса суммы и тангенса двойного угла.
$\tg 3\alpha = \tg (2\alpha + \alpha) = \frac{\tg 2\alpha + \tg \alpha}{1 - \tg 2\alpha \cdot \tg \alpha}$
Подставим формулу тангенса двойного угла $\tg 2\alpha = \frac{2\tg \alpha}{1 - \tg^2 \alpha}$:
$\tg 3\alpha = \frac{\frac{2\tg \alpha}{1 - \tg^2 \alpha} + \tg \alpha}{1 - \frac{2\tg \alpha}{1 - \tg^2 \alpha} \cdot \tg \alpha} = \frac{\frac{2\tg \alpha + \tg \alpha(1 - \tg^2 \alpha)}{1 - \tg^2 \alpha}}{\frac{1 - \tg^2 \alpha - 2\tg^2 \alpha}{1 - \tg^2 \alpha}}$
Упростим числитель и знаменатель дроби:
$\tg 3\alpha = \frac{\frac{2\tg \alpha + \tg \alpha - \tg^3 \alpha}{1 - \tg^2 \alpha}}{\frac{1 - 3\tg^2 \alpha}{1 - \tg^2 \alpha}} = \frac{\frac{3\tg \alpha - \tg^3 \alpha}{1 - \tg^2 \alpha}}{\frac{1 - 3\tg^2 \alpha}{1 - \tg^2 \alpha}}$
Сократим общий множитель $(1 - \tg^2 \alpha)$ в числителе и знаменателе:
$\tg 3\alpha = \frac{3\tg \alpha - \tg^3 \alpha}{1 - 3\tg^2 \alpha}$
Левая часть равна правой, тождество доказано.
Ответ: $\tg 3\alpha = \frac{3\tg \alpha - \tg^3 \alpha}{1 - 3\tg^2 \alpha}$
б) Преобразуем исходное равенство. Область допустимых значений: $\sin \alpha \neq 0$ и $\cos \alpha \neq 0$.
Перенесем слагаемое из правой части в левую:
$\frac{\sin 3\alpha}{\sin \alpha} - \frac{\cos 3\alpha}{\cos \alpha} = 2$
Приведем дроби в левой части к общему знаменателю:
$\frac{\sin 3\alpha \cos \alpha - \cos 3\alpha \sin \alpha}{\sin \alpha \cos \alpha} = 2$
В числителе дроби используем формулу синуса разности $\sin(x-y) = \sin x \cos y - \cos x \sin y$:
$\sin 3\alpha \cos \alpha - \cos 3\alpha \sin \alpha = \sin(3\alpha - \alpha) = \sin 2\alpha$
В знаменателе дроби используем формулу синуса двойного угла $\sin 2\alpha = 2\sin \alpha \cos \alpha$, откуда $\sin \alpha \cos \alpha = \frac{1}{2}\sin 2\alpha$.
Подставим полученные выражения в левую часть:
$\frac{\sin 2\alpha}{\frac{1}{2}\sin 2\alpha} = 2$
Сократив $\sin 2\alpha$ (что возможно, так как по ОДЗ $\sin \alpha \neq 0$ и $\cos \alpha \neq 0$, следовательно $\sin 2\alpha \neq 0$), получаем:
$2 = 2$
Получили верное равенство, тождество доказано.
Ответ: $\frac{\sin 3\alpha}{\sin \alpha} = 2 + \frac{\cos 3\alpha}{\cos \alpha}$
в) Докажем тождество, преобразовав левую часть. Используем формулу разности квадратов $a^2-b^2=(a-b)(a+b)$.
$\frac{\tg^2 2\alpha - \tg^2 \alpha}{1 - \tg^2 2\alpha \tg^2 \alpha} = \frac{(\tg 2\alpha - \tg \alpha)(\tg 2\alpha + \tg \alpha)}{(1 - \tg 2\alpha \tg \alpha)(1 + \tg 2\alpha \tg \alpha)}$
Сгруппируем множители:
$= \left(\frac{\tg 2\alpha + \tg \alpha}{1 - \tg 2\alpha \tg \alpha}\right) \cdot \left(\frac{\tg 2\alpha - \tg \alpha}{1 + \tg 2\alpha \tg \alpha}\right)$
Первый множитель является формулой тангенса суммы $\tg(x+y) = \frac{\tg x + \tg y}{1 - \tg x \tg y}$:
$\frac{\tg 2\alpha + \tg \alpha}{1 - \tg 2\alpha \tg \alpha} = \tg(2\alpha + \alpha) = \tg 3\alpha$
Второй множитель является формулой тангенса разности $\tg(x-y) = \frac{\tg x - \tg y}{1 + \tg x \tg y}$:
$\frac{\tg 2\alpha - \tg \alpha}{1 + \tg 2\alpha \tg \alpha} = \tg(2\alpha - \alpha) = \tg \alpha$
Таким образом, левая часть равна:
$\tg 3\alpha \cdot \tg \alpha$
Левая часть равна правой, тождество доказано.
Ответ: $\frac{\tg^2 2\alpha - \tg^2 \alpha}{1 - \tg^2 2\alpha \tg^2 \alpha} = \tg 3\alpha \cdot \tg \alpha$
Другие задания:
Помогло решение? Оставьте отзыв в комментариях ниже.
Присоединяйтесь к Телеграм-группе @top_gdz
ПрисоединитьсяМы подготовили для вас ответ c подробным объяснением домашего задания по алгебре за 9 класс, для упражнения номер 734 расположенного на странице 209 к учебнику 2019 года издания для учащихся школ и гимназий.
Теперь на нашем сайте ГДЗ.ТОП вы всегда легко и бесплатно найдёте условие с правильным ответом на вопрос «Как решить ДЗ» и «Как сделать» задание по алгебре к упражнению №734 (с. 209), авторов: Солтан (Генадий Николаевич), Солтан (Алла Евгеньевна), Жумадилова (Аманбала Жумадиловна), учебного пособия издательства Кокшетау.