Номер 787, страница 221 - гдз по алгебре 9 класс учебник Солтан, Солтан

Авторы: Солтан Г. Н., Солтан А. Е., Жумадилова А. Ж.
Тип: Учебник
Издательство: Кокшетау
Год издания: 2019 - 2025
Цвет обложки:
ISBN: 978-601-317-424-2
Рекомендовано Министерством образования и науки Республики Казахстан
Популярные ГДЗ в 9 классе
30. Упражнения на повторение раздела «Тригонометрия». IV. Тригонометрия - номер 787, страница 221.
№787 (с. 221)
Условие. №787 (с. 221)
скриншот условия

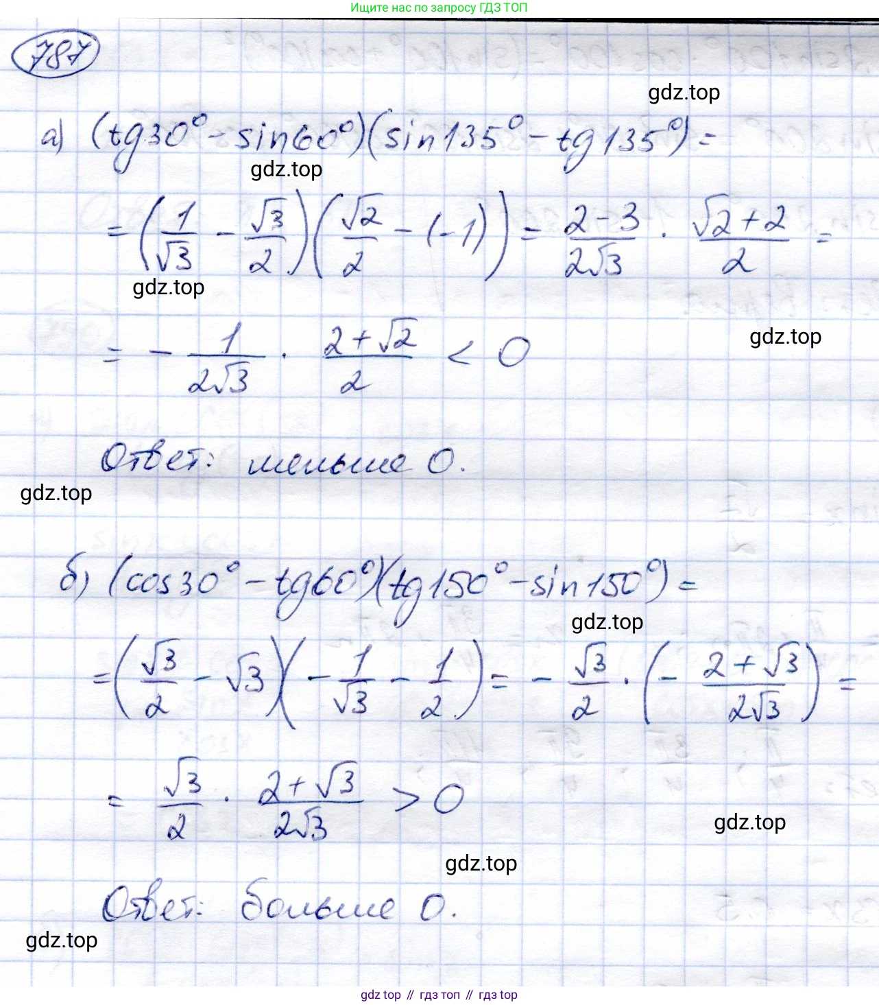
787. Сравните с нулем значение выражения:
а)
$(tg 30^\circ - sin 60^\circ)(sin 135^\circ - tg 135^\circ);$
б)
$(cos 30^\circ - tg 60^\circ)(tg 150^\circ - sin 150^\circ).$
Решение. №787 (с. 221)

Решение 2 (rus). №787 (с. 221)
а) Чтобы сравнить значение выражения $(\tg 30^\circ - \sin 60^\circ)(\sin 135^\circ - \tg 135^\circ)$ с нулем, определим знак каждого множителя.
Рассмотрим первый множитель: $(\tg 30^\circ - \sin 60^\circ)$.Найдем значения тригонометрических функций: $\tg 30^\circ = \frac{\sqrt{3}}{3}$ и $\sin 60^\circ = \frac{\sqrt{3}}{2}$.Сравним дроби $\frac{\sqrt{3}}{3}$ и $\frac{\sqrt{3}}{2}$. У них одинаковые положительные числители, поэтому больше та дробь, у которой знаменатель меньше. Так как $2 < 3$, то $\frac{\sqrt{3}}{2} > \frac{\sqrt{3}}{3}$.Следовательно, разность $\tg 30^\circ - \sin 60^\circ$ отрицательна (меньше нуля).
Рассмотрим второй множитель: $(\sin 135^\circ - \tg 135^\circ)$.Угол $135^\circ$ находится во второй четверти. Найдем значения функций, используя формулы приведения:$\sin 135^\circ = \sin(180^\circ - 45^\circ) = \sin 45^\circ = \frac{\sqrt{2}}{2}$. Это положительное число.$\tg 135^\circ = \tg(180^\circ - 45^\circ) = -\tg 45^\circ = -1$. Это отрицательное число.Тогда разность $\sin 135^\circ - \tg 135^\circ = \frac{\sqrt{2}}{2} - (-1) = \frac{\sqrt{2}}{2} + 1$. Сумма двух положительных чисел есть число положительное.Следовательно, второй множитель положителен (больше нуля).
Произведение отрицательного и положительного чисел является отрицательным числом.Таким образом, $(\tg 30^\circ - \sin 60^\circ)(\sin 135^\circ - \tg 135^\circ) < 0$.Ответ: значение выражения меньше нуля.
б) Чтобы сравнить значение выражения $(\cos 30^\circ - \tg 60^\circ)(\tg 150^\circ - \sin 150^\circ)$ с нулем, определим знак каждого множителя.
Рассмотрим первый множитель: $(\cos 30^\circ - \tg 60^\circ)$.Найдем значения тригонометрических функций: $\cos 30^\circ = \frac{\sqrt{3}}{2}$ и $\tg 60^\circ = \sqrt{3}$.Сравним $\frac{\sqrt{3}}{2}$ и $\sqrt{3}$. Очевидно, что $\frac{\sqrt{3}}{2} < \sqrt{3}$, так как $\frac{1}{2} < 1$.Следовательно, разность $\cos 30^\circ - \tg 60^\circ$ отрицательна (меньше нуля).
Рассмотрим второй множитель: $(\tg 150^\circ - \sin 150^\circ)$.Угол $150^\circ$ находится во второй четверти. Найдем значения функций, используя формулы приведения:$\tg 150^\circ = \tg(180^\circ - 30^\circ) = -\tg 30^\circ = -\frac{\sqrt{3}}{3}$. Это отрицательное число.$\sin 150^\circ = \sin(180^\circ - 30^\circ) = \sin 30^\circ = \frac{1}{2}$. Это положительное число.Тогда разность $\tg 150^\circ - \sin 150^\circ = -\frac{\sqrt{3}}{3} - \frac{1}{2}$. Сумма двух отрицательных чисел есть число отрицательное.Следовательно, второй множитель отрицателен (меньше нуля).
Произведение двух отрицательных чисел является положительным числом.Таким образом, $(\cos 30^\circ - \tg 60^\circ)(\tg 150^\circ - \sin 150^\circ) > 0$.Ответ: значение выражения больше нуля.
Другие задания:
Помогло решение? Оставьте отзыв в комментариях ниже.
Присоединяйтесь к Телеграм-группе @top_gdz
ПрисоединитьсяМы подготовили для вас ответ c подробным объяснением домашего задания по алгебре за 9 класс, для упражнения номер 787 расположенного на странице 221 к учебнику 2019 года издания для учащихся школ и гимназий.
Теперь на нашем сайте ГДЗ.ТОП вы всегда легко и бесплатно найдёте условие с правильным ответом на вопрос «Как решить ДЗ» и «Как сделать» задание по алгебре к упражнению №787 (с. 221), авторов: Солтан (Генадий Николаевич), Солтан (Алла Евгеньевна), Жумадилова (Аманбала Жумадиловна), учебного пособия издательства Кокшетау.