Номер 793, страница 222 - гдз по алгебре 9 класс учебник Солтан, Солтан

Авторы: Солтан Г. Н., Солтан А. Е., Жумадилова А. Ж.
Тип: Учебник
Издательство: Кокшетау
Год издания: 2019 - 2025
Цвет обложки:
ISBN: 978-601-317-424-2
Рекомендовано Министерством образования и науки Республики Казахстан
Популярные ГДЗ в 9 классе
30. Упражнения на повторение раздела «Тригонометрия». IV. Тригонометрия - номер 793, страница 222.
№793 (с. 222)
Условие. №793 (с. 222)
скриншот условия

793. Вычислите:
а) $sin\frac{13\pi}{6}$;
б) $cos\frac{19\pi}{3}$;
в) $tg\frac{17\pi}{4}$;
г) $ctg\frac{25\pi}{6}$.
Решение. №793 (с. 222)


Решение 2 (rus). №793 (с. 222)
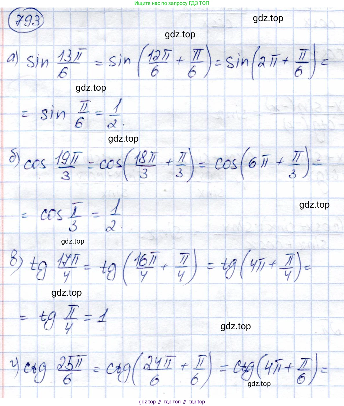
а) Чтобы вычислить значение $ \sin\frac{13\pi}{6} $, воспользуемся свойством периодичности функции синус. Период синуса равен $ 2\pi $. Представим угол $ \frac{13\pi}{6} $ в виде суммы, выделив целое число полных оборотов ($ 2\pi $).
$ \frac{13\pi}{6} = \frac{12\pi + \pi}{6} = \frac{12\pi}{6} + \frac{\pi}{6} = 2\pi + \frac{\pi}{6} $.
Теперь применим формулу $ \sin(2\pi + \alpha) = \sin\alpha $:
$ \sin\frac{13\pi}{6} = \sin(2\pi + \frac{\pi}{6}) = \sin\frac{\pi}{6} $.
Значение синуса для угла $ \frac{\pi}{6} $ является табличным:
$ \sin\frac{\pi}{6} = \frac{1}{2} $.
Ответ: $ \frac{1}{2} $.
б) Чтобы вычислить значение $ \cos\frac{19\pi}{3} $, воспользуемся свойством периодичности функции косинус, период которой также равен $ 2\pi $. Представим угол $ \frac{19\pi}{3} $ в виде суммы, выделив целое число полных оборотов.
$ \frac{19\pi}{3} = \frac{18\pi + \pi}{3} = \frac{18\pi}{3} + \frac{\pi}{3} = 6\pi + \frac{\pi}{3} $.
Поскольку $ 6\pi = 3 \cdot 2\pi $, мы можем применить формулу $ \cos(2\pi k + \alpha) = \cos\alpha $, где $ k=3 $:
$ \cos\frac{19\pi}{3} = \cos(6\pi + \frac{\pi}{3}) = \cos\frac{\pi}{3} $.
Значение косинуса для угла $ \frac{\pi}{3} $ является табличным:
$ \cos\frac{\pi}{3} = \frac{1}{2} $.
Ответ: $ \frac{1}{2} $.
в) Чтобы вычислить значение $ \text{tg}\frac{17\pi}{4} $, воспользуемся свойством периодичности функции тангенс. Период тангенса равен $ \pi $. Представим угол $ \frac{17\pi}{4} $ в виде суммы, выделив целое число периодов.
$ \frac{17\pi}{4} = \frac{16\pi + \pi}{4} = \frac{16\pi}{4} + \frac{\pi}{4} = 4\pi + \frac{\pi}{4} $.
Поскольку $ 4\pi = 4 \cdot \pi $, мы можем применить формулу $ \text{tg}(\pi k + \alpha) = \text{tg}\alpha $, где $ k=4 $:
$ \text{tg}\frac{17\pi}{4} = \text{tg}(4\pi + \frac{\pi}{4}) = \text{tg}\frac{\pi}{4} $.
Значение тангенса для угла $ \frac{\pi}{4} $ является табличным:
$ \text{tg}\frac{\pi}{4} = 1 $.
Ответ: $ 1 $.
г) Чтобы вычислить значение $ \text{ctg}\frac{25\pi}{6} $, воспользуемся свойством периодичности функции котангенс, период которой равен $ \pi $. Представим угол $ \frac{25\pi}{6} $ в виде суммы, выделив целое число периодов.
$ \frac{25\pi}{6} = \frac{24\pi + \pi}{6} = \frac{24\pi}{6} + \frac{\pi}{6} = 4\pi + \frac{\pi}{6} $.
Поскольку $ 4\pi = 4 \cdot \pi $, мы можем применить формулу $ \text{ctg}(\pi k + \alpha) = \text{ctg}\alpha $, где $ k=4 $:
$ \text{ctg}\frac{25\pi}{6} = \text{ctg}(4\pi + \frac{\pi}{6}) = \text{ctg}\frac{\pi}{6} $.
Значение котангенса для угла $ \frac{\pi}{6} $ является табличным:
$ \text{ctg}\frac{\pi}{6} = \sqrt{3} $.
Ответ: $ \sqrt{3} $.
Другие задания:
Помогло решение? Оставьте отзыв в комментариях ниже.
Присоединяйтесь к Телеграм-группе @top_gdz
ПрисоединитьсяМы подготовили для вас ответ c подробным объяснением домашего задания по алгебре за 9 класс, для упражнения номер 793 расположенного на странице 222 к учебнику 2019 года издания для учащихся школ и гимназий.
Теперь на нашем сайте ГДЗ.ТОП вы всегда легко и бесплатно найдёте условие с правильным ответом на вопрос «Как решить ДЗ» и «Как сделать» задание по алгебре к упражнению №793 (с. 222), авторов: Солтан (Генадий Николаевич), Солтан (Алла Евгеньевна), Жумадилова (Аманбала Жумадиловна), учебного пособия издательства Кокшетау.