Номер 798, страница 223 - гдз по алгебре 9 класс учебник Солтан, Солтан

Авторы: Солтан Г. Н., Солтан А. Е., Жумадилова А. Ж.
Тип: Учебник
Издательство: Кокшетау
Год издания: 2019 - 2025
Цвет обложки:
ISBN: 978-601-317-424-2
Рекомендовано Министерством образования и науки Республики Казахстан
Популярные ГДЗ в 9 классе
30. Упражнения на повторение раздела «Тригонометрия». IV. Тригонометрия - номер 798, страница 223.
№798 (с. 223)
Условие. №798 (с. 223)
скриншот условия

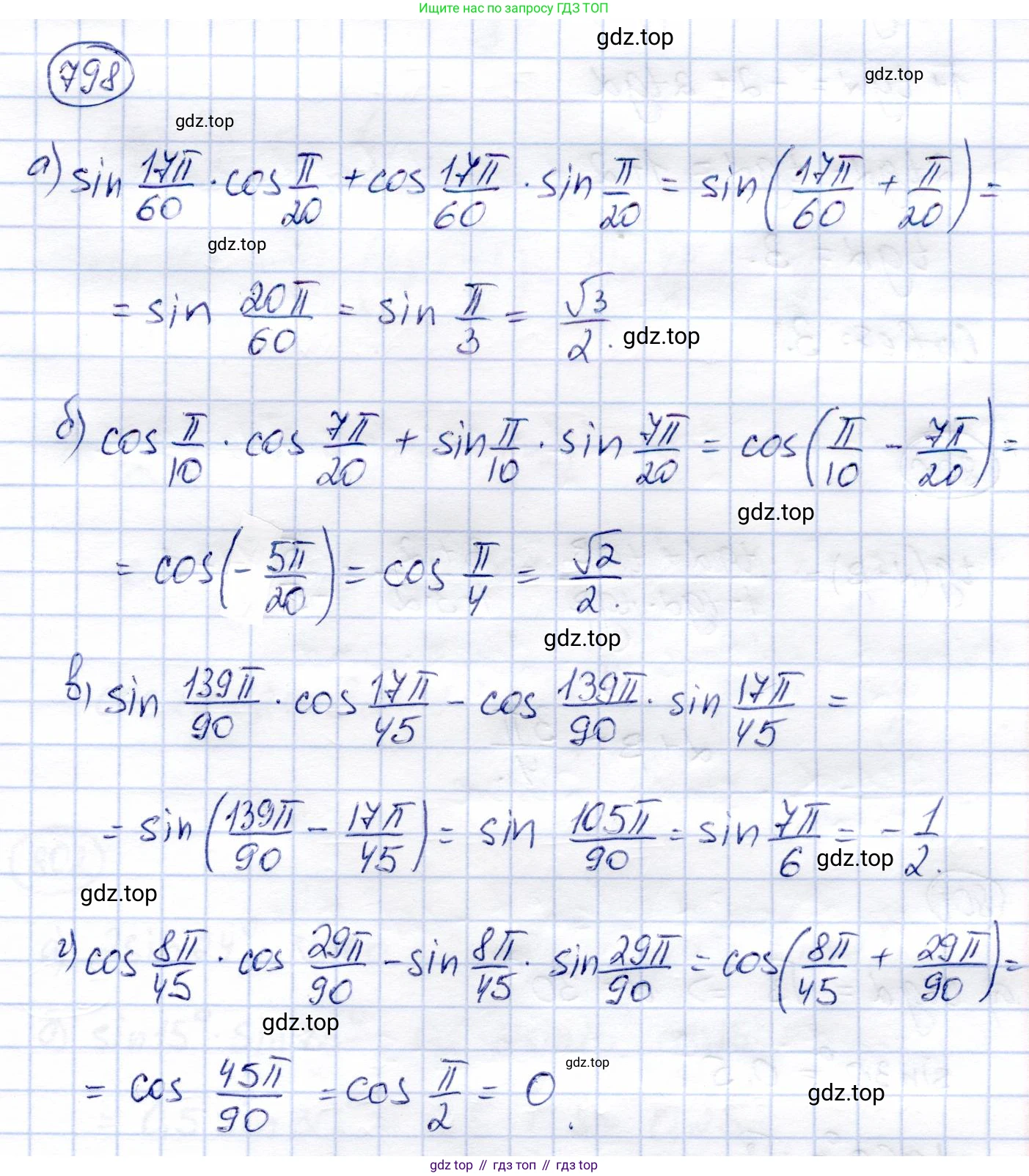
798. Найдите значение выражения:
а) $\sin \frac{17\pi}{60} \cdot \cos \frac{\pi}{20} + \cos \frac{17\pi}{60} \cdot \sin \frac{\pi}{20}$;
б) $\cos \frac{\pi}{10} \cdot \cos \frac{7\pi}{20} + \sin \frac{\pi}{10} \cdot \sin \frac{7\pi}{20}$;
в) $\sin \frac{139\pi}{90} \cdot \cos \frac{17\pi}{45} - \cos \frac{139\pi}{90} \cdot \sin \frac{17\pi}{45}$;
г) $\cos \frac{8\pi}{45} \cdot \cos \frac{29\pi}{90} - \sin \frac{8\pi}{45} \cdot \sin \frac{29\pi}{90}$.
Решение. №798 (с. 223)

Решение 2 (rus). №798 (с. 223)
а) Исходное выражение $\sin\frac{17\pi}{60} \cdot \cos\frac{\pi}{20} + \cos\frac{17\pi}{60} \cdot \sin\frac{\pi}{20}$ соответствует формуле синуса суммы двух углов: $\sin(\alpha + \beta) = \sin\alpha\cos\beta + \cos\alpha\sin\beta$. В данном случае $\alpha = \frac{17\pi}{60}$ и $\beta = \frac{\pi}{20}$.
Применим формулу:$\sin\frac{17\pi}{60} \cdot \cos\frac{\pi}{20} + \cos\frac{17\pi}{60} \cdot \sin\frac{\pi}{20} = \sin\left(\frac{17\pi}{60} + \frac{\pi}{20}\right)$.
Приведем дроби к общему знаменателю:$\frac{17\pi}{60} + \frac{\pi}{20} = \frac{17\pi}{60} + \frac{3\pi}{60} = \frac{17\pi + 3\pi}{60} = \frac{20\pi}{60} = \frac{\pi}{3}$.
Таким образом, значение выражения равно $\sin\left(\frac{\pi}{3}\right)$.
Вычисляем значение синуса: $\sin\left(\frac{\pi}{3}\right) = \frac{\sqrt{3}}{2}$.
Ответ: $\frac{\sqrt{3}}{2}$.
б) Исходное выражение $\cos\frac{\pi}{10} \cdot \cos\frac{7\pi}{20} + \sin\frac{\pi}{10} \cdot \sin\frac{7\pi}{20}$ соответствует формуле косинуса разности двух углов: $\cos(\alpha - \beta) = \cos\alpha\cos\beta + \sin\alpha\sin\beta$. В данном случае $\alpha = \frac{\pi}{10}$ и $\beta = \frac{7\pi}{20}$.
Применим формулу:$\cos\frac{\pi}{10} \cdot \cos\frac{7\pi}{20} + \sin\frac{\pi}{10} \cdot \sin\frac{7\pi}{20} = \cos\left(\frac{\pi}{10} - \frac{7\pi}{20}\right)$.
Приведем дроби к общему знаменателю:$\frac{\pi}{10} - \frac{7\pi}{20} = \frac{2\pi}{20} - \frac{7\pi}{20} = \frac{2\pi - 7\pi}{20} = -\frac{5\pi}{20} = -\frac{\pi}{4}$.
Таким образом, значение выражения равно $\cos\left(-\frac{\pi}{4}\right)$.
Так как косинус — четная функция ($\cos(-x) = \cos(x)$), то $\cos\left(-\frac{\pi}{4}\right) = \cos\left(\frac{\pi}{4}\right) = \frac{\sqrt{2}}{2}$.
Ответ: $\frac{\sqrt{2}}{2}$.
в) Исходное выражение $\sin\frac{139\pi}{90} \cdot \cos\frac{17\pi}{45} - \cos\frac{139\pi}{90} \cdot \sin\frac{17\pi}{45}$ соответствует формуле синуса разности двух углов: $\sin(\alpha - \beta) = \sin\alpha\cos\beta - \cos\alpha\sin\beta$. В данном случае $\alpha = \frac{139\pi}{90}$ и $\beta = \frac{17\pi}{45}$.
Применим формулу:$\sin\frac{139\pi}{90} \cdot \cos\frac{17\pi}{45} - \cos\frac{139\pi}{90} \cdot \sin\frac{17\pi}{45} = \sin\left(\frac{139\pi}{90} - \frac{17\pi}{45}\right)$.
Приведем дроби к общему знаменателю:$\frac{139\pi}{90} - \frac{17\pi}{45} = \frac{139\pi}{90} - \frac{2 \cdot 17\pi}{90} = \frac{139\pi - 34\pi}{90} = \frac{105\pi}{90} = \frac{7\pi}{6}$.
Таким образом, значение выражения равно $\sin\left(\frac{7\pi}{6}\right)$.
Используем формулу приведения: $\sin\left(\frac{7\pi}{6}\right) = \sin\left(\pi + \frac{\pi}{6}\right) = -\sin\left(\frac{\pi}{6}\right) = -\frac{1}{2}$.
Ответ: $-\frac{1}{2}$.
г) Исходное выражение $\cos\frac{8\pi}{45} \cdot \cos\frac{29\pi}{90} - \sin\frac{8\pi}{45} \cdot \sin\frac{29\pi}{90}$ соответствует формуле косинуса суммы двух углов: $\cos(\alpha + \beta) = \cos\alpha\cos\beta - \sin\alpha\sin\beta$. В данном случае $\alpha = \frac{8\pi}{45}$ и $\beta = \frac{29\pi}{90}$.
Применим формулу:$\cos\frac{8\pi}{45} \cdot \cos\frac{29\pi}{90} - \sin\frac{8\pi}{45} \cdot \sin\frac{29\pi}{90} = \cos\left(\frac{8\pi}{45} + \frac{29\pi}{90}\right)$.
Приведем дроби к общему знаменателю:$\frac{8\pi}{45} + \frac{29\pi}{90} = \frac{2 \cdot 8\pi}{90} + \frac{29\pi}{90} = \frac{16\pi + 29\pi}{90} = \frac{45\pi}{90} = \frac{\pi}{2}$.
Таким образом, значение выражения равно $\cos\left(\frac{\pi}{2}\right)$.
Вычисляем значение косинуса: $\cos\left(\frac{\pi}{2}\right) = 0$.
Ответ: 0.
Другие задания:
Помогло решение? Оставьте отзыв в комментариях ниже.
Присоединяйтесь к Телеграм-группе @top_gdz
ПрисоединитьсяМы подготовили для вас ответ c подробным объяснением домашего задания по алгебре за 9 класс, для упражнения номер 798 расположенного на странице 223 к учебнику 2019 года издания для учащихся школ и гимназий.
Теперь на нашем сайте ГДЗ.ТОП вы всегда легко и бесплатно найдёте условие с правильным ответом на вопрос «Как решить ДЗ» и «Как сделать» задание по алгебре к упражнению №798 (с. 223), авторов: Солтан (Генадий Николаевич), Солтан (Алла Евгеньевна), Жумадилова (Аманбала Жумадиловна), учебного пособия издательства Кокшетау.