Номер 794, страница 222 - гдз по алгебре 9 класс учебник Солтан, Солтан

Авторы: Солтан Г. Н., Солтан А. Е., Жумадилова А. Ж.
Тип: Учебник
Издательство: Кокшетау
Год издания: 2019 - 2025
Цвет обложки:
ISBN: 978-601-317-424-2
Рекомендовано Министерством образования и науки Республики Казахстан
Популярные ГДЗ в 9 классе
30. Упражнения на повторение раздела «Тригонометрия». IV. Тригонометрия - номер 794, страница 222.
№794 (с. 222)
Условие. №794 (с. 222)
скриншот условия

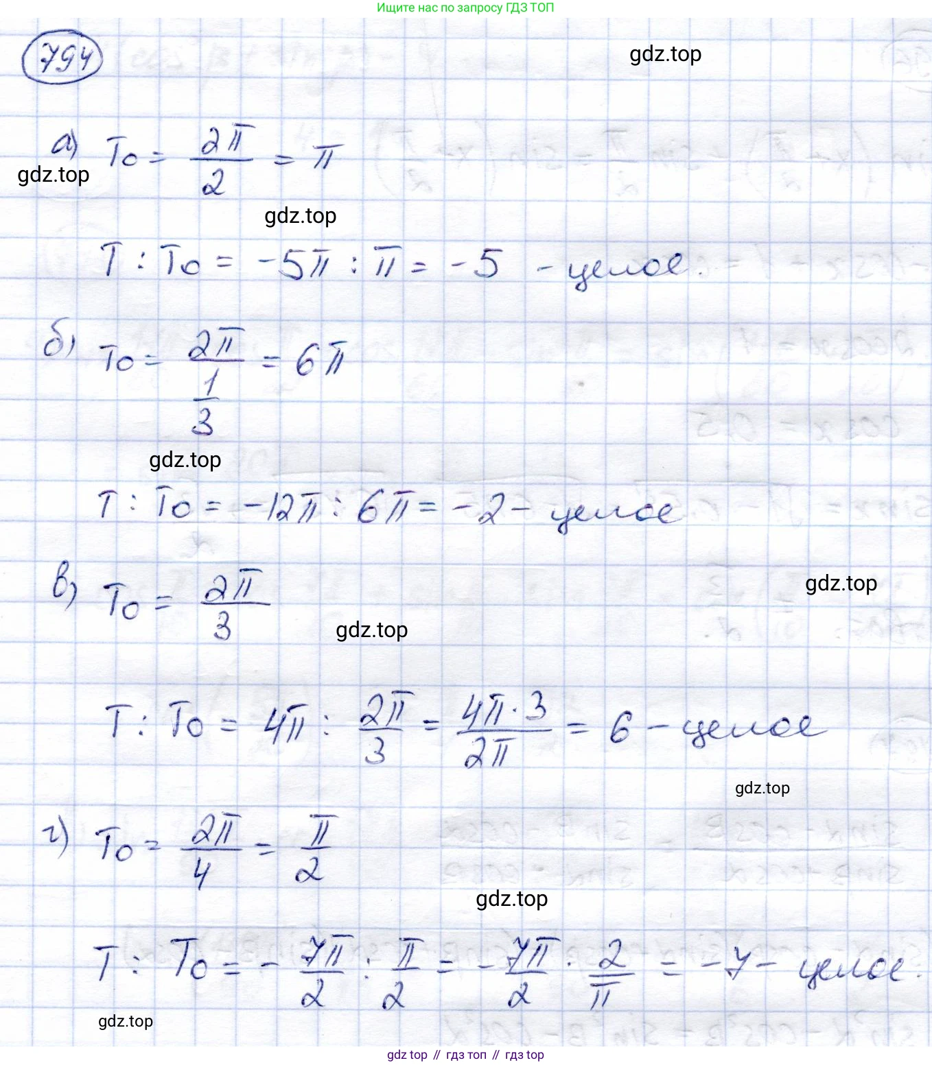
794. Докажите, что число T является периодом функции:
а) $y = \sin 2x, T = -5\pi;$
в) $y = \sin 3x, T = 4\pi;$
б) $y = \cos \frac{x}{3}, T = -12\pi;$
г) $y = \cos 4x, T = -\frac{7\pi}{2}.$
Решение. №794 (с. 222)

Решение 2 (rus). №794 (с. 222)
По определению, число $T \ne 0$ является периодом функции $f(x)$, если для любого $x$ из области определения функции выполняется равенство $f(x+T) = f(x)$. Для доказательства для каждой из предложенных функций необходимо подставить в неё $x+T$ и показать, что значение функции не изменится. Область определения всех заданных функций — множество всех действительных чисел ($x \in \mathbb{R}$).
а) $y = \sin 2x, T = -5\pi$
Проверим выполнение равенства $y(x+T) = y(x)$.
$y(x+T) = y(x - 5\pi) = \sin(2(x - 5\pi)) = \sin(2x - 10\pi)$.
Функция синус периодична с основным периодом $2\pi$, что означает $\sin(\alpha + 2\pi n) = \sin(\alpha)$ для любого целого числа $n$.
В нашем случае $\sin(2x - 10\pi) = \sin(2x + 2\pi \cdot (-5))$. Так как $n = -5$ является целым числом, то равенство $\sin(2x - 10\pi) = \sin(2x)$ верно.
Таким образом, $y(x+T) = y(x)$.
Ответ: Доказано, что $T = -5\pi$ является периодом функции $y = \sin 2x$.
б) $y = \cos \frac{x}{3}, T = -12\pi$
Проверим выполнение равенства $y(x+T) = y(x)$.
$y(x+T) = y(x - 12\pi) = \cos\left(\frac{x - 12\pi}{3}\right) = \cos\left(\frac{x}{3} - \frac{12\pi}{3}\right) = \cos\left(\frac{x}{3} - 4\pi\right)$.
Функция косинус периодична с основным периодом $2\pi$, что означает $\cos(\alpha + 2\pi n) = \cos(\alpha)$ для любого целого числа $n$.
В нашем случае $\cos\left(\frac{x}{3} - 4\pi\right) = \cos\left(\frac{x}{3} + 2\pi \cdot (-2)\right)$. Так как $n = -2$ является целым числом, то равенство $\cos\left(\frac{x}{3} - 4\pi\right) = \cos\left(\frac{x}{3}\right)$ верно.
Таким образом, $y(x+T) = y(x)$.
Ответ: Доказано, что $T = -12\pi$ является периодом функции $y = \cos \frac{x}{3}$.
в) $y = \sin 3x, T = 4\pi$
Проверим выполнение равенства $y(x+T) = y(x)$.
$y(x+T) = y(x + 4\pi) = \sin(3(x + 4\pi)) = \sin(3x + 12\pi)$.
Используя периодичность функции синус, $\sin(\alpha + 2\pi n) = \sin(\alpha)$, где $n$ - целое число.
В нашем случае $\sin(3x + 12\pi) = \sin(3x + 2\pi \cdot 6)$. Так как $n = 6$ является целым числом, то равенство $\sin(3x + 12\pi) = \sin(3x)$ верно.
Таким образом, $y(x+T) = y(x)$.
Ответ: Доказано, что $T = 4\pi$ является периодом функции $y = \sin 3x$.
г) $y = \cos 4x, T = -\frac{7\pi}{2}$
Проверим выполнение равенства $y(x+T) = y(x)$.
$y(x+T) = y\left(x - \frac{7\pi}{2}\right) = \cos\left(4\left(x - \frac{7\pi}{2}\right)\right) = \cos\left(4x - \frac{28\pi}{2}\right) = \cos(4x - 14\pi)$.
Используя периодичность функции косинус, $\cos(\alpha + 2\pi n) = \cos(\alpha)$, где $n$ - целое число.
В нашем случае $\cos(4x - 14\pi) = \cos(4x + 2\pi \cdot (-7))$. Так как $n = -7$ является целым числом, то равенство $\cos(4x - 14\pi) = \cos(4x)$ верно.
Таким образом, $y(x+T) = y(x)$.
Ответ: Доказано, что $T = -\frac{7\pi}{2}$ является периодом функции $y = \cos 4x$.
Другие задания:
Помогло решение? Оставьте отзыв в комментариях ниже.
Присоединяйтесь к Телеграм-группе @top_gdz
ПрисоединитьсяМы подготовили для вас ответ c подробным объяснением домашего задания по алгебре за 9 класс, для упражнения номер 794 расположенного на странице 222 к учебнику 2019 года издания для учащихся школ и гимназий.
Теперь на нашем сайте ГДЗ.ТОП вы всегда легко и бесплатно найдёте условие с правильным ответом на вопрос «Как решить ДЗ» и «Как сделать» задание по алгебре к упражнению №794 (с. 222), авторов: Солтан (Генадий Николаевич), Солтан (Алла Евгеньевна), Жумадилова (Аманбала Жумадиловна), учебного пособия издательства Кокшетау.