Номер 896, страница 249 - гдз по алгебре 9 класс учебник Солтан, Солтан

Авторы: Солтан Г. Н., Солтан А. Е., Жумадилова А. Ж.
Тип: Учебник
Издательство: Кокшетау
Год издания: 2019 - 2025
Цвет обложки:
ISBN: 978-601-317-424-2
Рекомендовано Министерством образования и науки Республики Казахстан
Популярные ГДЗ в 9 классе
Числовые и алгебраические выражения и их преобразования. Повторение курса алгебры 7-9 классов - номер 896, страница 249.
№896 (с. 249)
Условие. №896 (с. 249)
скриншот условия

896. Упростите выражение и найдите его значение:
а) $(\frac{1}{a+3} - \frac{6}{9-a^2}) \cdot (\frac{a-3}{a^2+9} + \frac{6a}{a^3-3a^2+9a-27})$ при $a = \frac{1}{7}$;
б) $\frac{3b+2}{3b-2} : (\frac{18b}{27b^3-8} + \frac{6b}{9b^2+6b+4} - \frac{1}{3b-2}) - \frac{6b+8}{3b-2}$ при $b = -2\frac{1}{6}$;
в) $\frac{a^2-b^2}{a-b} - \frac{a^3-b^3}{a^2-b^2}$, если $a = 3^{-1}, b = 7^{-1}$;
г) $\frac{(a+b)^{-1}+(a-b)^{-1}}{(a+b)^{-1}-(a-b)^{-1}}$, если $a = \sqrt{27}, b = \sqrt{48}$.
Решение. №896 (с. 249)



Решение 2 (rus). №896 (с. 249)
а)
Сначала упростим выражение по действиям.
1) Упростим выражение в первой скобке. Приведем дроби к общему знаменателю, разложив знаменатель второй дроби по формуле разности квадратов $9-a^2 = (3-a)(3+a) = -(a-3)(a+3)$.
$\frac{1}{a+3} - \frac{6}{9-a^2} = \frac{1}{a+3} + \frac{6}{a^2-9} = \frac{1}{a+3} + \frac{6}{(a-3)(a+3)} = \frac{1 \cdot (a-3)}{(a-3)(a+3)} + \frac{6}{(a-3)(a+3)} = \frac{a-3+6}{(a-3)(a+3)} = \frac{a+3}{(a-3)(a+3)} = \frac{1}{a-3}.$
2) Упростим выражение во второй скобке. Разложим знаменатель второй дроби на множители методом группировки: $a^3-3a^2+9a-27 = a^2(a-3)+9(a-3) = (a-3)(a^2+9)$.
$\frac{a-3}{a^2+9} + \frac{6a}{a^3-3a^2+9a-27} = \frac{a-3}{a^2+9} + \frac{6a}{(a-3)(a^2+9)} = \frac{(a-3)(a-3)}{(a-3)(a^2+9)} + \frac{6a}{(a-3)(a^2+9)} = \frac{a^2-6a+9+6a}{(a-3)(a^2+9)} = \frac{a^2+9}{(a-3)(a^2+9)} = \frac{1}{a-3}.$
3) Перемножим результаты, полученные в пунктах 1 и 2.
$\frac{1}{a-3} \cdot \frac{1}{a-3} = \frac{1}{(a-3)^2}.$
4) Теперь подставим значение $a = \frac{1}{7}$ в упрощенное выражение.
$\frac{1}{(\frac{1}{7}-3)^2} = \frac{1}{(\frac{1-21}{7})^2} = \frac{1}{(-\frac{20}{7})^2} = \frac{1}{\frac{400}{49}} = \frac{49}{400}.$
Ответ: $\frac{49}{400}.$
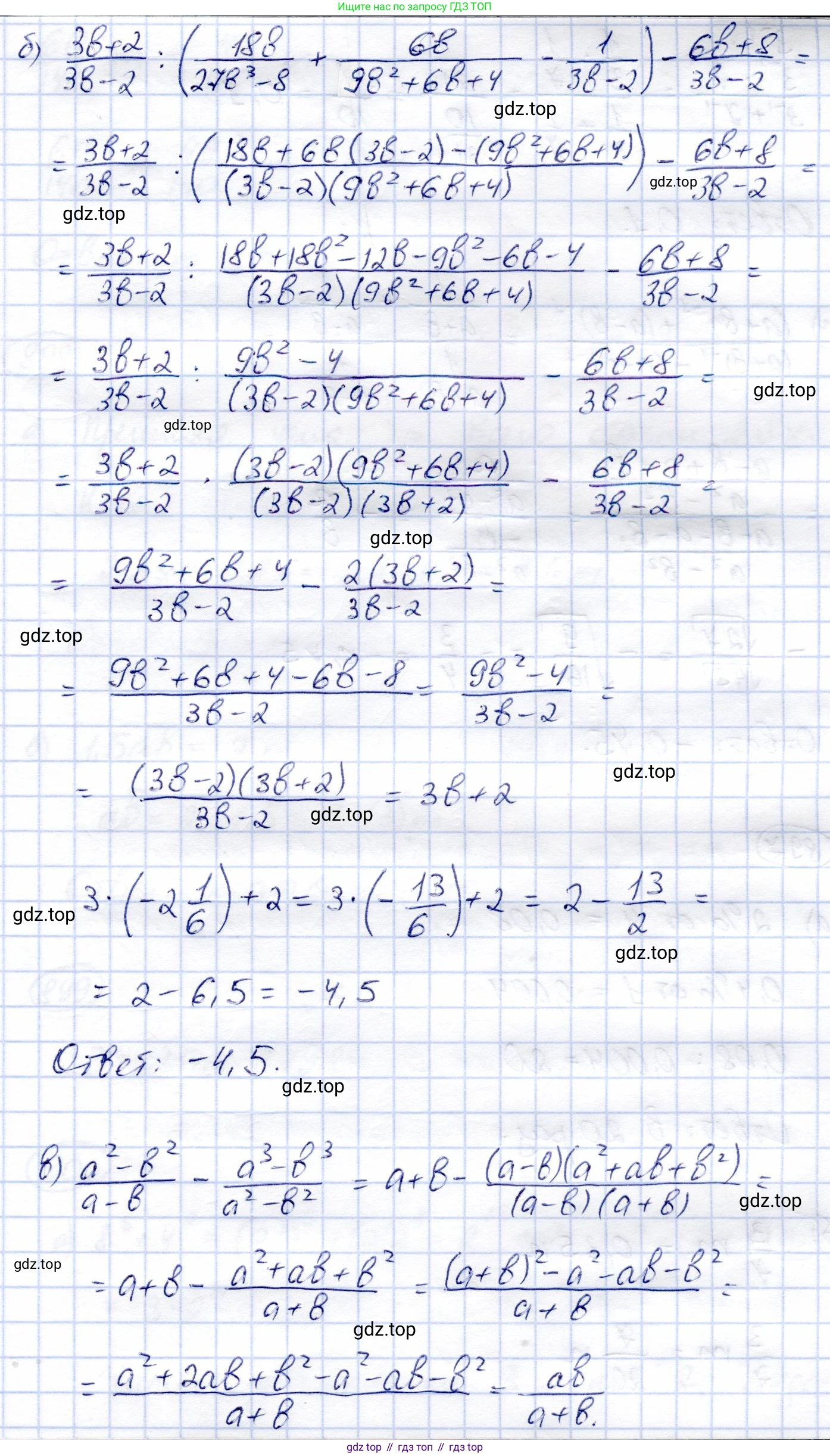
б)
Сначала упростим выражение по действиям.
1) Выполним действия в скобках. Разложим знаменатель первой дроби по формуле разности кубов: $27b^3-8 = (3b)^3 - 2^3 = (3b-2)(9b^2+6b+4)$.
$(\frac{18b}{(3b-2)(9b^2+6b+4)} + \frac{6b}{9b^2+6b+4} - \frac{1}{3b-2}) = \frac{18b + 6b(3b-2) - 1(9b^2+6b+4)}{(3b-2)(9b^2+6b+4)} = \frac{18b + 18b^2 - 12b - 9b^2 - 6b - 4}{(3b-2)(9b^2+6b+4)} = \frac{9b^2-4}{(3b-2)(9b^2+6b+4)}.$
Разложим числитель по формуле разности квадратов: $9b^2-4 = (3b-2)(3b+2)$.
$\frac{(3b-2)(3b+2)}{(3b-2)(9b^2+6b+4)} = \frac{3b+2}{9b^2+6b+4}.$
2) Выполним деление.
$\frac{3b+2}{3b-2} : \frac{3b+2}{9b^2+6b+4} = \frac{3b+2}{3b-2} \cdot \frac{9b^2+6b+4}{3b+2} = \frac{9b^2+6b+4}{3b-2}.$
3) Выполним вычитание.
$\frac{9b^2+6b+4}{3b-2} - \frac{6b+8}{3b-2} = \frac{9b^2+6b+4 - (6b+8)}{3b-2} = \frac{9b^2+6b+4-6b-8}{3b-2} = \frac{9b^2-4}{3b-2} = \frac{(3b-2)(3b+2)}{3b-2} = 3b+2.$
4) Теперь подставим значение $b = -2\frac{1}{6}$ в упрощенное выражение. Сначала переведем смешанное число в неправильную дробь: $b = -2\frac{1}{6} = -\frac{12+1}{6} = -\frac{13}{6}$.
$3b+2 = 3 \cdot (-\frac{13}{6}) + 2 = -\frac{13}{2} + 2 = -6.5 + 2 = -4.5.$
Ответ: $-4.5.$
в)
Сначала упростим выражение, используя формулы сокращенного умножения: разность квадратов $a^2-b^2=(a-b)(a+b)$ и разность кубов $a^3-b^3=(a-b)(a^2+ab+b^2)$.
$\frac{a^2-b^2}{a-b} - \frac{a^3-b^3}{a^2-b^2} = \frac{(a-b)(a+b)}{a-b} - \frac{(a-b)(a^2+ab+b^2)}{(a-b)(a+b)} = (a+b) - \frac{a^2+ab+b^2}{a+b}.$
Приведем к общему знаменателю:
$\frac{(a+b)(a+b)}{a+b} - \frac{a^2+ab+b^2}{a+b} = \frac{(a+b)^2 - (a^2+ab+b^2)}{a+b} = \frac{a^2+2ab+b^2 - a^2-ab-b^2}{a+b} = \frac{ab}{a+b}.$
Теперь найдем значения $a$ и $b$: $a = 3^{-1} = \frac{1}{3}$ и $b = 7^{-1} = \frac{1}{7}$.
Подставим эти значения в упрощенное выражение.
$\frac{\frac{1}{3} \cdot \frac{1}{7}}{\frac{1}{3} + \frac{1}{7}} = \frac{\frac{1}{21}}{\frac{7+3}{21}} = \frac{\frac{1}{21}}{\frac{10}{21}} = \frac{1}{21} \cdot \frac{21}{10} = \frac{1}{10}.$
Ответ: $\frac{1}{10}.$
г)
Сначала упростим выражение. Используем свойство $x^{-1} = \frac{1}{x}$.
$\frac{(a+b)^{-1}+(a-b)^{-1}}{(a+b)^{-1}-(a-b)^{-1}} = \frac{\frac{1}{a+b}+\frac{1}{a-b}}{\frac{1}{a+b}-\frac{1}{a-b}}.$
Упростим числитель и знаменатель основной дроби, приведя дроби в них к общему знаменателю $(a+b)(a-b)=a^2-b^2$.
Числитель: $\frac{1}{a+b}+\frac{1}{a-b} = \frac{a-b+a+b}{(a+b)(a-b)} = \frac{2a}{a^2-b^2}.$
Знаменатель: $\frac{1}{a+b}-\frac{1}{a-b} = \frac{a-b-(a+b)}{(a+b)(a-b)} = \frac{a-b-a-b}{a^2-b^2} = \frac{-2b}{a^2-b^2}.$
Теперь разделим числитель на знаменатель:
$\frac{\frac{2a}{a^2-b^2}}{\frac{-2b}{a^2-b^2}} = \frac{2a}{a^2-b^2} \cdot \frac{a^2-b^2}{-2b} = \frac{2a}{-2b} = -\frac{a}{b}.$
Найдем значения $a$ и $b$: $a = \sqrt{27} = \sqrt{9 \cdot 3} = 3\sqrt{3}$ и $b = \sqrt{48} = \sqrt{16 \cdot 3} = 4\sqrt{3}$.
Подставим эти значения в упрощенное выражение.
$-\frac{a}{b} = -\frac{3\sqrt{3}}{4\sqrt{3}} = -\frac{3}{4}.$
Ответ: $-\frac{3}{4}.$
Другие задания:
Помогло решение? Оставьте отзыв в комментариях ниже.
Присоединяйтесь к Телеграм-группе @top_gdz
ПрисоединитьсяМы подготовили для вас ответ c подробным объяснением домашего задания по алгебре за 9 класс, для упражнения номер 896 расположенного на странице 249 к учебнику 2019 года издания для учащихся школ и гимназий.
Теперь на нашем сайте ГДЗ.ТОП вы всегда легко и бесплатно найдёте условие с правильным ответом на вопрос «Как решить ДЗ» и «Как сделать» задание по алгебре к упражнению №896 (с. 249), авторов: Солтан (Генадий Николаевич), Солтан (Алла Евгеньевна), Жумадилова (Аманбала Жумадиловна), учебного пособия издательства Кокшетау.