Номер 902, страница 250 - гдз по алгебре 9 класс учебник Солтан, Солтан

Авторы: Солтан Г. Н., Солтан А. Е., Жумадилова А. Ж.
Тип: Учебник
Издательство: Кокшетау
Год издания: 2019 - 2025
Цвет обложки:
ISBN: 978-601-317-424-2
Рекомендовано Министерством образования и науки Республики Казахстан
Популярные ГДЗ в 9 классе
Числовые и алгебраические выражения и их преобразования. Повторение курса алгебры 7-9 классов - номер 902, страница 250.
№902 (с. 250)
Условие. №902 (с. 250)
скриншот условия

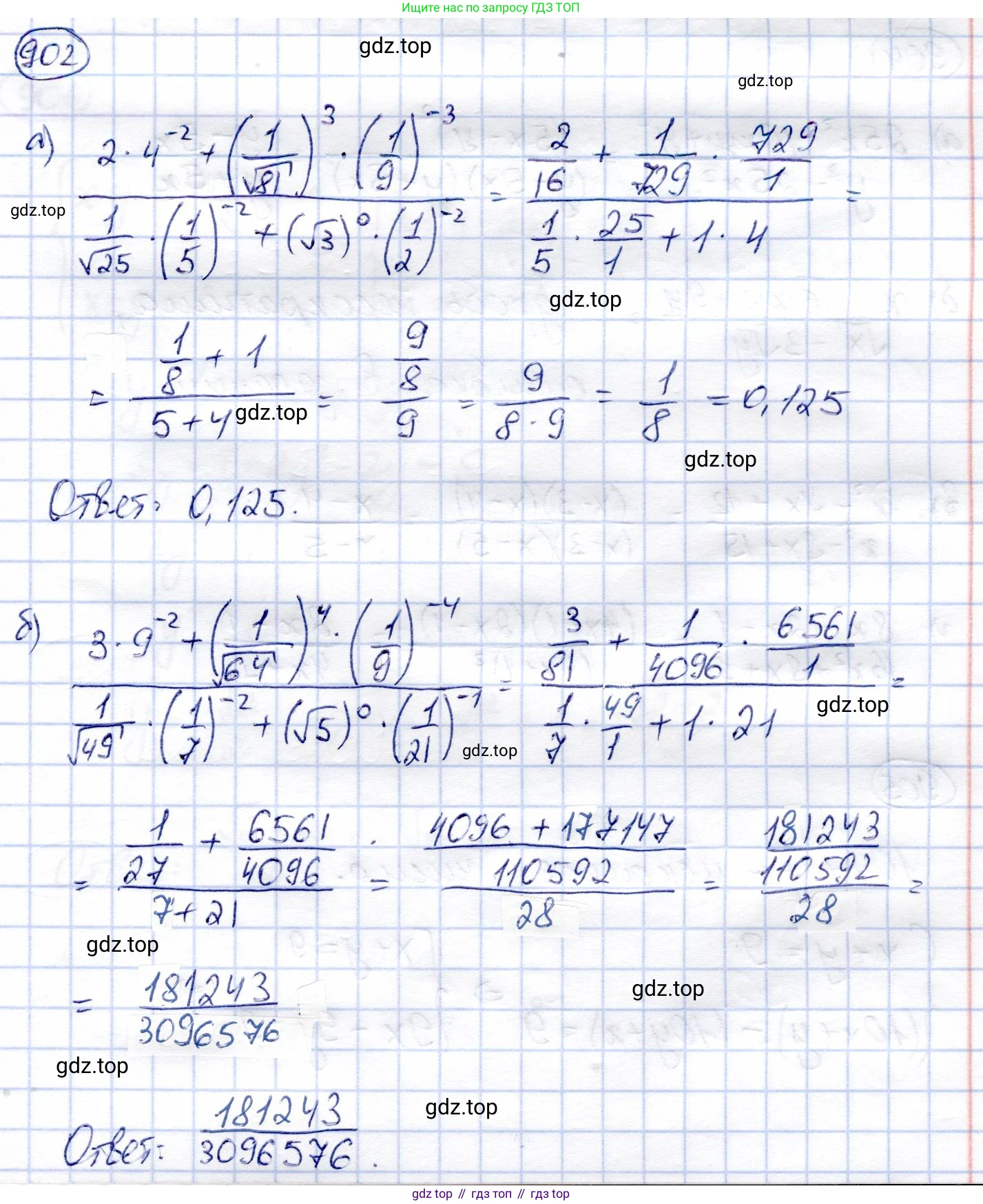
902. Вычислите:
а) $\frac{2 \cdot 4^{-2} + \left(\frac{1}{\sqrt{81}}\right)^3 \cdot \left(\frac{1}{9}\right)^{-3}}{\frac{1}{\sqrt{25}} \cdot \left(\frac{1}{5}\right)^{-2} + (\sqrt{3})^0 \cdot \left(\frac{1}{2}\right)^{-2}}$
б) $\frac{3 \cdot 9^{-2} + \left(\frac{1}{\sqrt{64}}\right)^4 \cdot \left(\frac{1}{9}\right)^{-4}}{\frac{1}{\sqrt{49}} \cdot \left(\frac{1}{7}\right)^{-2} + (\sqrt{5})^0 \cdot \left(\frac{1}{21}\right)^{-1}}$
Решение. №902 (с. 250)

Решение 2 (rus). №902 (с. 250)
а)
Для вычисления значения выражения$ \frac{2 \cdot 4^{-2} + \left(\frac{1}{\sqrt{81}}\right)^3 \cdot \left(\frac{1}{9}\right)^{-3}}{\frac{1}{\sqrt{25}} \cdot \left(\frac{1}{5}\right)^{-2} + (\sqrt{3})^0 \cdot \left(\frac{1}{2}\right)^{-2}} $разобьем решение на несколько шагов: сначала упростим числитель, затем знаменатель, и в конце найдем их частное.
1. Вычислим значение числителя: $2 \cdot 4^{-2} + \left(\frac{1}{\sqrt{81}}\right)^3 \cdot \left(\frac{1}{9}\right)^{-3}$.
Используем свойства степеней: $a^{-n} = \frac{1}{a^n}$ и $a^n \cdot b^n = (ab)^n$.
Первое слагаемое: $2 \cdot 4^{-2} = 2 \cdot \frac{1}{4^2} = 2 \cdot \frac{1}{16} = \frac{2}{16} = \frac{1}{8}$.
Второе слагаемое: $\left(\frac{1}{\sqrt{81}}\right)^3 \cdot \left(\frac{1}{9}\right)^{-3}$. Так как $\sqrt{81}=9$, выражение принимает вид $\left(\frac{1}{9}\right)^3 \cdot \left(\frac{1}{9}\right)^{-3}$. Используя свойство $a^m \cdot a^n = a^{m+n}$, получаем $\left(\frac{1}{9}\right)^{3-3} = \left(\frac{1}{9}\right)^0 = 1$.
Сумма в числителе: $\frac{1}{8} + 1 = \frac{1}{8} + \frac{8}{8} = \frac{9}{8}$.
2. Вычислим значение знаменателя: $\frac{1}{\sqrt{25}} \cdot \left(\frac{1}{5}\right)^{-2} + (\sqrt{3})^0 \cdot \left(\frac{1}{2}\right)^{-2}$.
Используем свойства степеней: $a^0 = 1$ (для $a \neq 0$) и $(\frac{a}{b})^{-n} = (\frac{b}{a})^n$.
Первое слагаемое: $\frac{1}{\sqrt{25}} \cdot \left(\frac{1}{5}\right)^{-2} = \frac{1}{5} \cdot 5^2 = \frac{1}{5} \cdot 25 = 5$.
Второе слагаемое: $(\sqrt{3})^0 \cdot \left(\frac{1}{2}\right)^{-2} = 1 \cdot 2^2 = 1 \cdot 4 = 4$.
Сумма в знаменателе: $5 + 4 = 9$.
3. Найдем частное числителя и знаменателя:
$\frac{\frac{9}{8}}{9} = \frac{9}{8} \cdot \frac{1}{9} = \frac{1}{8}$.
Ответ: $\frac{1}{8}$.
б)
Для вычисления значения выражения$ \frac{3 \cdot 9^{-2} + \left(\frac{1}{\sqrt{64}}\right)^4 \cdot \left(\frac{1}{9}\right)^{-4}}{\frac{1}{\sqrt{49}} \cdot \left(\frac{1}{7}\right)^{-2} + (\sqrt{5})^0 \cdot \left(\frac{1}{21}\right)^{-1}} $также решим по частям.
Заметим, что в числителе выражение $\left(\frac{1}{\sqrt{64}}\right)^4 \cdot \left(\frac{1}{9}\right)^{-4}$ содержит разные основания ($\frac{1}{8}$ и $\frac{1}{9}$), что не приводит к простому сокращению, в отличие от примера а). Вероятно, в условии допущена опечатка. По аналогии с примером а), где $\frac{1}{\sqrt{81}}=\frac{1}{9}$ и второй множитель также содержал основание $\frac{1}{9}$, в данном примере $\frac{1}{\sqrt{64}}=\frac{1}{8}$. Логично предположить, что второй множитель должен быть $\left(\frac{1}{8}\right)^{-4}$. Решим задачу с этим исправлением.
1. Вычислим значение числителя (с исправлением): $3 \cdot 9^{-2} + \left(\frac{1}{\sqrt{64}}\right)^4 \cdot \left(\frac{1}{8}\right)^{-4}$.
Первое слагаемое: $3 \cdot 9^{-2} = 3 \cdot \frac{1}{9^2} = 3 \cdot \frac{1}{81} = \frac{3}{81} = \frac{1}{27}$.
Второе слагаемое: $\left(\frac{1}{\sqrt{64}}\right)^4 \cdot \left(\frac{1}{8}\right)^{-4} = \left(\frac{1}{8}\right)^4 \cdot 8^4 = \left(\frac{1}{8} \cdot 8\right)^4 = 1^4 = 1$.
Сумма в числителе: $\frac{1}{27} + 1 = \frac{1}{27} + \frac{27}{27} = \frac{28}{27}$.
2. Вычислим значение знаменателя: $\frac{1}{\sqrt{49}} \cdot \left(\frac{1}{7}\right)^{-2} + (\sqrt{5})^0 \cdot \left(\frac{1}{21}\right)^{-1}$.
Первое слагаемое: $\frac{1}{\sqrt{49}} \cdot \left(\frac{1}{7}\right)^{-2} = \frac{1}{7} \cdot 7^2 = \frac{1}{7} \cdot 49 = 7$.
Второе слагаемое: $(\sqrt{5})^0 \cdot \left(\frac{1}{21}\right)^{-1} = 1 \cdot 21^1 = 21$.
Сумма в знаменателе: $7 + 21 = 28$.
3. Найдем частное числителя и знаменателя:
$\frac{\frac{28}{27}}{28} = \frac{28}{27} \cdot \frac{1}{28} = \frac{1}{27}$.
Ответ: $\frac{1}{27}$.
Другие задания:
Помогло решение? Оставьте отзыв в комментариях ниже.
Присоединяйтесь к Телеграм-группе @top_gdz
ПрисоединитьсяМы подготовили для вас ответ c подробным объяснением домашего задания по алгебре за 9 класс, для упражнения номер 902 расположенного на странице 250 к учебнику 2019 года издания для учащихся школ и гимназий.
Теперь на нашем сайте ГДЗ.ТОП вы всегда легко и бесплатно найдёте условие с правильным ответом на вопрос «Как решить ДЗ» и «Как сделать» задание по алгебре к упражнению №902 (с. 250), авторов: Солтан (Генадий Николаевич), Солтан (Алла Евгеньевна), Жумадилова (Аманбала Жумадиловна), учебного пособия издательства Кокшетау.