Номер 909, страница 251 - гдз по алгебре 9 класс учебник Солтан, Солтан

Авторы: Солтан Г. Н., Солтан А. Е., Жумадилова А. Ж.
Тип: Учебник
Издательство: Кокшетау
Год издания: 2019 - 2025
Цвет обложки:
ISBN: 978-601-317-424-2
Рекомендовано Министерством образования и науки Республики Казахстан
Популярные ГДЗ в 9 классе
Числовые и алгебраические выражения и их преобразования. Повторение курса алгебры 7-9 классов - номер 909, страница 251.
№909 (с. 251)
Условие. №909 (с. 251)
скриншот условия

909. Найдите значение выражения:
а) $\frac{a^{-2} b^{-1} + a^{-1} b^{-2}}{a^{-2} - b^{-2}}$, если $a = 2,5$, $b = -4,5$;
б) $\frac{\sqrt{x}}{1 - x\sqrt{x}} : \frac{\sqrt{x} + x}{\sqrt{x} + x + 1}$, если $x = 0,5$;
в) $\frac{a^2 + ab + b^2}{2ab - b^2}$, если $\frac{a}{b} = \frac{3}{2}$.
Решение. №909 (с. 251)


Решение 2 (rus). №909 (с. 251)
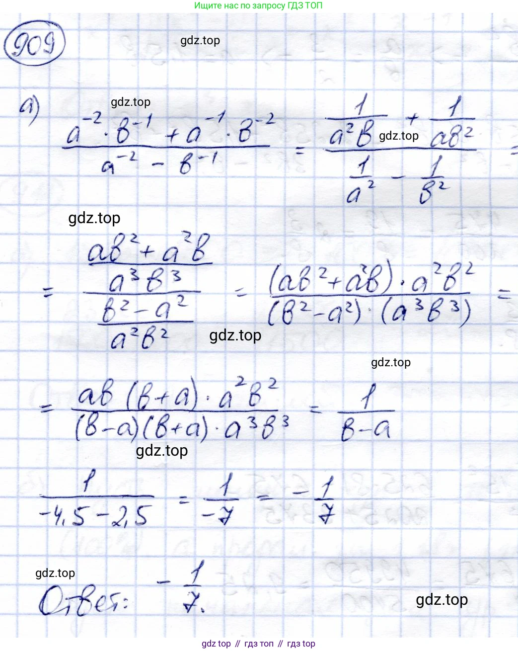
а)
Сначала упростим данное выражение. Преобразуем числитель и знаменатель, используя свойство степени $x^{-n} = \frac{1}{x^n}$:
Числитель: $a^{-2}b^{-1} + a^{-1}b^{-2} = \frac{1}{a^2 b} + \frac{1}{a b^2}$. Приведем к общему знаменателю $a^2 b^2$: $\frac{b}{a^2 b^2} + \frac{a}{a^2 b^2} = \frac{a+b}{a^2 b^2}$.
Знаменатель: $a^{-2} - b^{-2} = \frac{1}{a^2} - \frac{1}{b^2}$. Приведем к общему знаменателю $a^2 b^2$: $\frac{b^2}{a^2 b^2} - \frac{a^2}{a^2 b^2} = \frac{b^2 - a^2}{a^2 b^2}$.
Теперь разделим числитель на знаменатель: $\frac{a^{-2}b^{-1} + a^{-1}b^{-2}}{a^{-2} - b^{-2}} = \frac{\frac{a+b}{a^2 b^2}}{\frac{b^2 - a^2}{a^2 b^2}} = \frac{a+b}{a^2 b^2} \cdot \frac{a^2 b^2}{b^2 - a^2} = \frac{a+b}{b^2 - a^2}$.
Разложим знаменатель по формуле разности квадратов $b^2 - a^2 = (b-a)(b+a)$: $\frac{a+b}{(b-a)(b+a)}$.
Сократим дробь на $(a+b)$, при условии что $a+b \neq 0$: $\frac{1}{b-a}$.
Подставим заданные значения $a = 2,5$ и $b = -4,5$. Проверим условие $a+b \neq 0$: $2,5 + (-4,5) = -2 \neq 0$. Условие выполняется.
Вычисляем значение выражения: $\frac{1}{b-a} = \frac{1}{-4,5 - 2,5} = \frac{1}{-7} = -\frac{1}{7}$.
Ответ: $-\frac{1}{7}$.
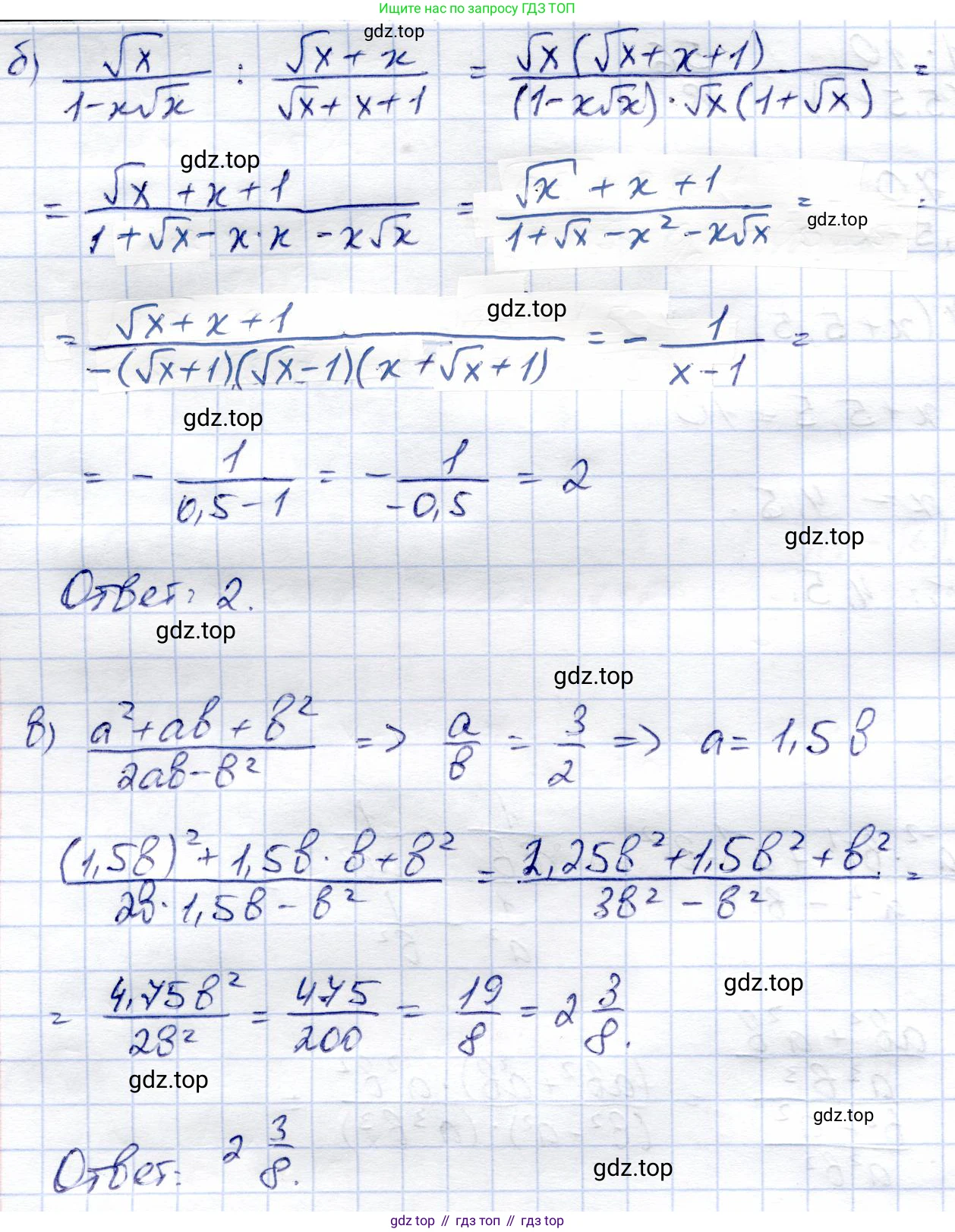
б)
Сначала упростим выражение $\frac{\sqrt{x}}{1-x\sqrt{x}} : \frac{\sqrt{x}+x}{\sqrt{x}+x+1}$. Заменим деление умножением на обратную дробь:
$\frac{\sqrt{x}}{1-x\sqrt{x}} \cdot \frac{\sqrt{x}+x+1}{\sqrt{x}+x}$
Разложим на множители знаменатель первой дроби, используя формулу разности кубов $1-x\sqrt{x} = 1 - (\sqrt{x})^3 = (1-\sqrt{x})(1+\sqrt{x}+(\sqrt{x})^2) = (1-\sqrt{x})(1+\sqrt{x}+x)$.
Разложим на множители знаменатель второй дроби, вынеся общий множитель: $\sqrt{x}+x = \sqrt{x}(1+\sqrt{x})$.
Выражение примет вид:
$\frac{\sqrt{x}}{(1-\sqrt{x})(1+\sqrt{x}+x)} \cdot \frac{1+\sqrt{x}+x}{\sqrt{x}(1+\sqrt{x})}$
Сократим общие множители $\sqrt{x}$ и $(1+\sqrt{x}+x)$ в числителе и знаменателе:
$\frac{1}{1-\sqrt{x}} \cdot \frac{1}{1+\sqrt{x}} = \frac{1}{(1-\sqrt{x})(1+\sqrt{x})}$
Применим формулу разности квадратов $(1-\sqrt{x})(1+\sqrt{x}) = 1^2 - (\sqrt{x})^2 = 1-x$. Получим: $\frac{1}{1-x}$.
Теперь подставим значение $x = 0,5$ в упрощенное выражение:
$\frac{1}{1-0,5} = \frac{1}{0,5} = 2$.
Ответ: 2.
в)
Дано выражение $\frac{a^2+ab+b^2}{2ab-b^2}$ и соотношение $\frac{a}{b} = \frac{3}{2}$.
Значение выражения зависит только от отношения переменных. Чтобы использовать данное соотношение, разделим числитель и знаменатель дроби на $b^2$. Это возможно, так как из $\frac{a}{b} = \frac{3}{2}$ следует, что $b \neq 0$.
$\frac{\frac{a^2+ab+b^2}{b^2}}{\frac{2ab-b^2}{b^2}} = \frac{\frac{a^2}{b^2} + \frac{ab}{b^2} + \frac{b^2}{b^2}}{\frac{2ab}{b^2} - \frac{b^2}{b^2}} = \frac{(\frac{a}{b})^2 + \frac{a}{b} + 1}{2\frac{a}{b} - 1}$.
Теперь подставим значение $\frac{a}{b} = \frac{3}{2}$ в полученное выражение:
$\frac{(\frac{3}{2})^2 + \frac{3}{2} + 1}{2(\frac{3}{2}) - 1} = \frac{\frac{9}{4} + \frac{3}{2} + 1}{3 - 1}$.
Вычислим числитель: $\frac{9}{4} + \frac{3}{2} + 1 = \frac{9}{4} + \frac{6}{4} + \frac{4}{4} = \frac{9+6+4}{4} = \frac{19}{4}$.
Вычислим знаменатель: $3 - 1 = 2$.
Найдем значение всей дроби: $\frac{\frac{19}{4}}{2} = \frac{19}{4 \cdot 2} = \frac{19}{8}$.
Ответ: $\frac{19}{8}$.
Другие задания:
Помогло решение? Оставьте отзыв в комментариях ниже.
Присоединяйтесь к Телеграм-группе @top_gdz
ПрисоединитьсяМы подготовили для вас ответ c подробным объяснением домашего задания по алгебре за 9 класс, для упражнения номер 909 расположенного на странице 251 к учебнику 2019 года издания для учащихся школ и гимназий.
Теперь на нашем сайте ГДЗ.ТОП вы всегда легко и бесплатно найдёте условие с правильным ответом на вопрос «Как решить ДЗ» и «Как сделать» задание по алгебре к упражнению №909 (с. 251), авторов: Солтан (Генадий Николаевич), Солтан (Алла Евгеньевна), Жумадилова (Аманбала Жумадиловна), учебного пособия издательства Кокшетау.