Номер 906, страница 250 - гдз по алгебре 9 класс учебник Солтан, Солтан

Авторы: Солтан Г. Н., Солтан А. Е., Жумадилова А. Ж.
Тип: Учебник
Издательство: Кокшетау
Год издания: 2019 - 2025
Цвет обложки:
ISBN: 978-601-317-424-2
Рекомендовано Министерством образования и науки Республики Казахстан
Популярные ГДЗ в 9 классе
Числовые и алгебраические выражения и их преобразования. Повторение курса алгебры 7-9 классов - номер 906, страница 250.
№906 (с. 250)
Условие. №906 (с. 250)
скриншот условия

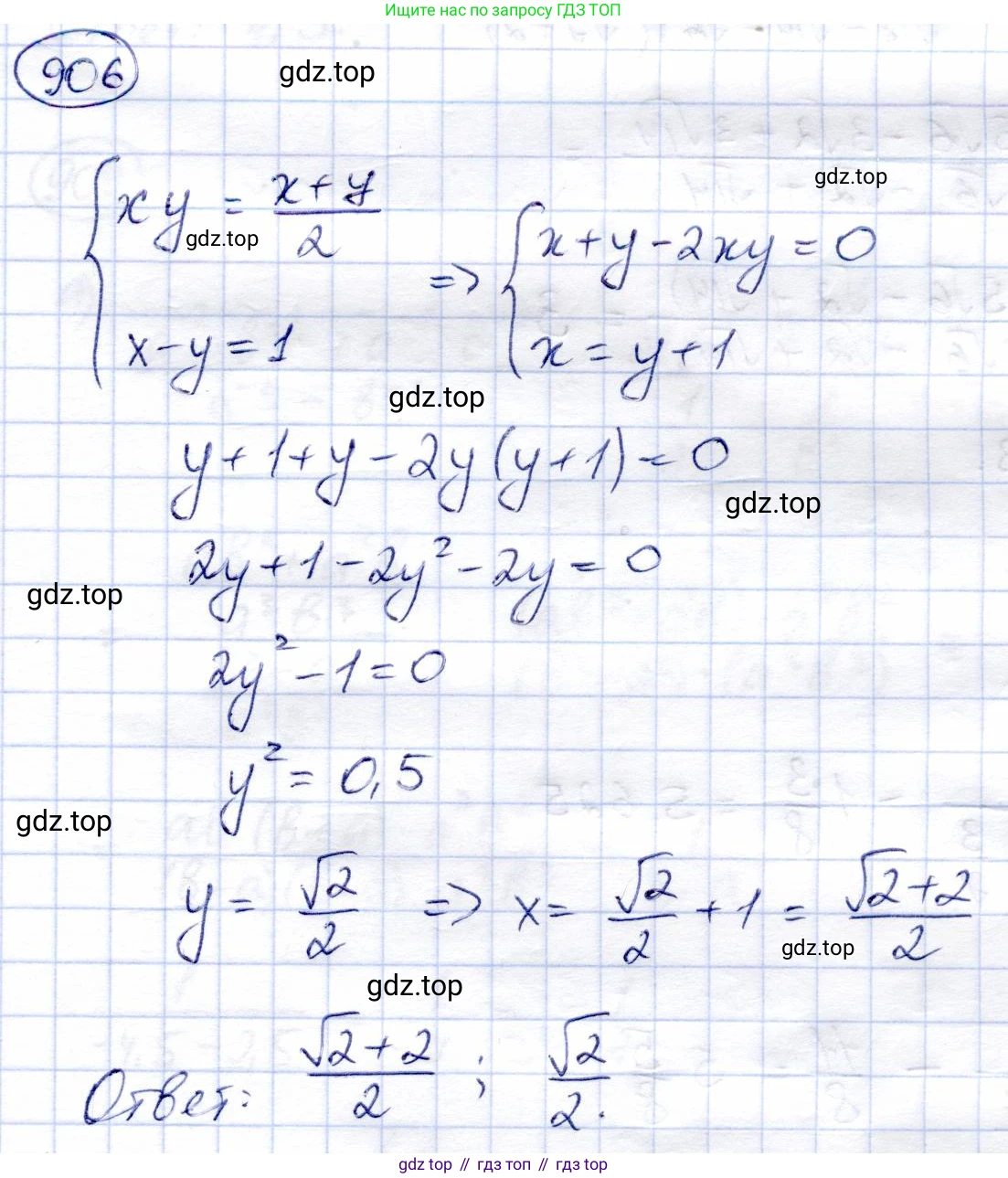
906. Произведение двух положительных чисел равно их среднему арифметическому ($ab = \frac{a+b}{2}$), а разность этих чисел равна 1 ($a - b = 1$). Найдите эти числа.
Решение. №906 (с. 250)

Решение 2 (rus). №906 (с. 250)
Пусть искомые положительные числа – это $x$ и $y$. Согласно условию задачи, можно составить систему уравнений.
Первое условие: разность этих чисел равна 1. Предположим, что $x > y$, тогда:
$x - y = 1$
Второе условие: произведение этих чисел равно их среднему арифметическому:
$x \cdot y = \frac{x + y}{2}$
Из первого уравнения выразим $x$:
$x = y + 1$
Подставим это выражение для $x$ во второе уравнение:
$(y + 1) \cdot y = \frac{(y + 1) + y}{2}$
Теперь решим полученное уравнение относительно $y$:
$y^2 + y = \frac{2y + 1}{2}$
Умножим обе части уравнения на 2, чтобы избавиться от знаменателя:
$2(y^2 + y) = 2y + 1$
$2y^2 + 2y = 2y + 1$
Вычтем $2y$ из обеих частей уравнения:
$2y^2 = 1$
$y^2 = \frac{1}{2}$
Поскольку по условию числа положительные, мы берем только положительный корень:
$y = \sqrt{\frac{1}{2}} = \frac{1}{\sqrt{2}} = \frac{\sqrt{2}}{2}$
Теперь найдем $x$, используя ранее полученное выражение $x = y + 1$:
$x = \frac{\sqrt{2}}{2} + 1$
Таким образом, мы нашли два искомых числа.
Ответ: $\frac{\sqrt{2}}{2}$ и $1 + \frac{\sqrt{2}}{2}$.
Другие задания:
Помогло решение? Оставьте отзыв в комментариях ниже.
Присоединяйтесь к Телеграм-группе @top_gdz
ПрисоединитьсяМы подготовили для вас ответ c подробным объяснением домашего задания по алгебре за 9 класс, для упражнения номер 906 расположенного на странице 250 к учебнику 2019 года издания для учащихся школ и гимназий.
Теперь на нашем сайте ГДЗ.ТОП вы всегда легко и бесплатно найдёте условие с правильным ответом на вопрос «Как решить ДЗ» и «Как сделать» задание по алгебре к упражнению №906 (с. 250), авторов: Солтан (Генадий Николаевич), Солтан (Алла Евгеньевна), Жумадилова (Аманбала Жумадиловна), учебного пособия издательства Кокшетау.