Номер 940, страница 254 - гдз по алгебре 9 класс учебник Солтан, Солтан

Авторы: Солтан Г. Н., Солтан А. Е., Жумадилова А. Ж.
Тип: Учебник
Издательство: Кокшетау
Год издания: 2019 - 2025
Цвет обложки:
ISBN: 978-601-317-424-2
Рекомендовано Министерством образования и науки Республики Казахстан
Популярные ГДЗ в 9 классе
Уравнения, неравенства и их системы. Повторение курса алгебры 7-9 классов - номер 940, страница 254.
№940 (с. 254)
Условие. №940 (с. 254)
скриншот условия

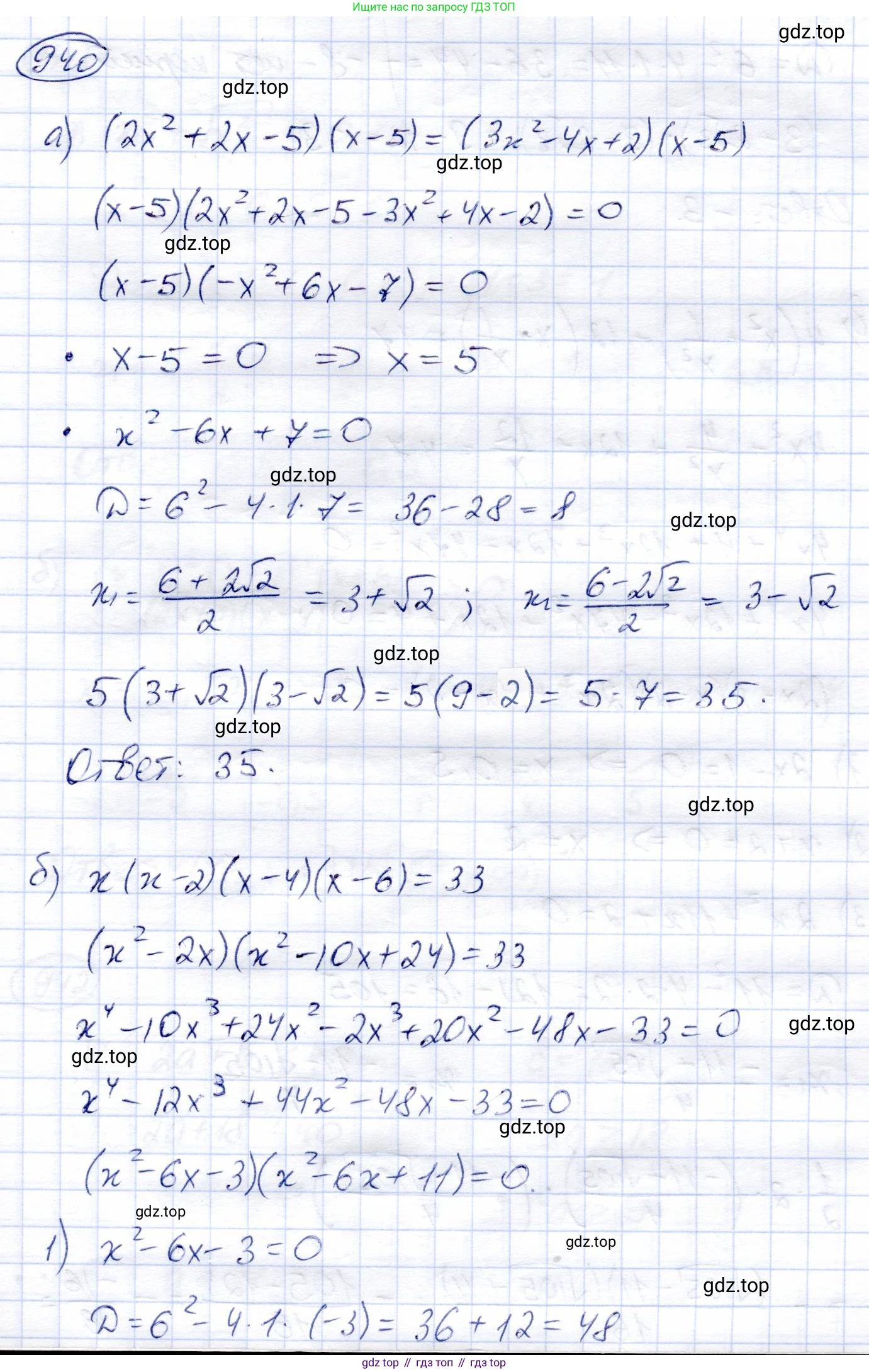
940. Найдите произведение корней уравнения:
а) $(2x^2 + 2x - 5)(x - 5) = (3x^2 - 4x + 2)(x - 5);$
б) $x(x - 2)(x - 4)(x - 6) = 33;$
в) $4\left(x^2 + \frac{1}{x^2}\right) + 12\left(x + \frac{1}{x}\right) = 47.$
Решение. №940 (с. 254)



Решение 2 (rus). №940 (с. 254)
a) $(2x^2 + 2x - 5)(x - 5) = (3x^2 - 4x + 2)(x - 5)$
Перенесем все члены уравнения в левую часть:
$(2x^2 + 2x - 5)(x - 5) - (3x^2 - 4x + 2)(x - 5) = 0$
Вынесем общий множитель $(x - 5)$ за скобки:
$(x - 5) \cdot ((2x^2 + 2x - 5) - (3x^2 - 4x + 2)) = 0$
Упростим выражение во вторых скобках:
$(x - 5) \cdot (2x^2 + 2x - 5 - 3x^2 + 4x - 2) = 0$
$(x - 5) \cdot (-x^2 + 6x - 7) = 0$
Произведение равно нулю, когда хотя бы один из множителей равен нулю. Таким образом, у нас есть два случая:
1) $x - 5 = 0$, откуда получаем первый корень $x_1 = 5$.
2) $-x^2 + 6x - 7 = 0$, или, умножив на -1, $x^2 - 6x + 7 = 0$.
Это квадратное уравнение. По теореме Виета, произведение его корней ($x_2$ и $x_3$) равно свободному члену, то есть $x_2 \cdot x_3 = 7$.
Чтобы найти произведение всех корней исходного уравнения, нужно перемножить корень из первого случая и произведение корней из второго случая:
Произведение всех корней = $x_1 \cdot (x_2 \cdot x_3) = 5 \cdot 7 = 35$.
Ответ: 35
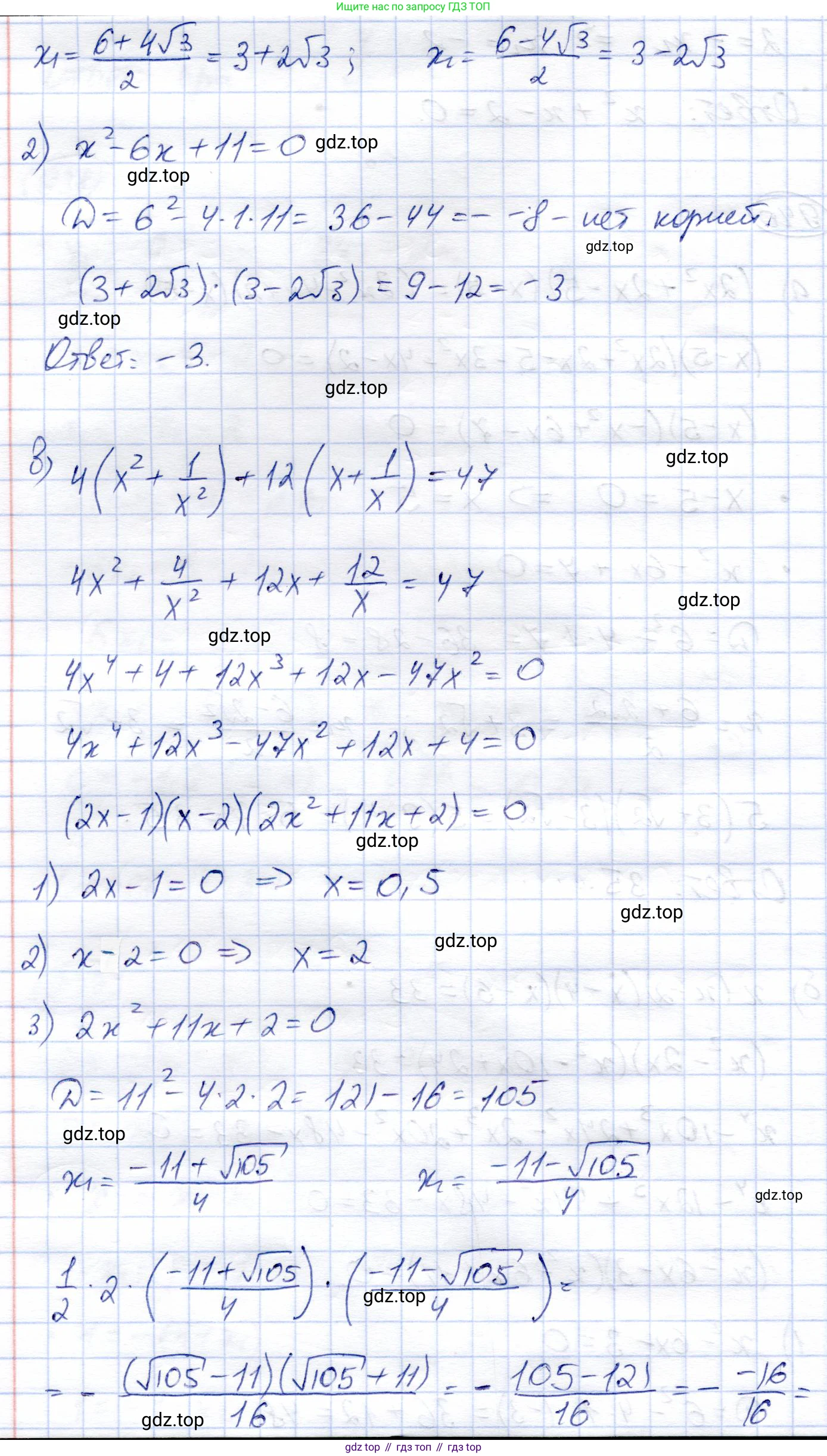
б) $x(x - 2)(x - 4)(x - 6) = 33$
Сгруппируем множители так, чтобы получить одинаковые выражения. Перемножим первый множитель с последним, а второй с третьим:
$(x(x - 6)) \cdot ((x - 2)(x - 4)) = 33$
$(x^2 - 6x) \cdot (x^2 - 6x + 8) = 33$
Сделаем замену переменной. Пусть $t = x^2 - 6x$. Тогда уравнение примет вид:
$t \cdot (t + 8) = 33$
$t^2 + 8t - 33 = 0$
Решим это квадратное уравнение относительно $t$. По теореме Виета, корни $t_1 = -11$ и $t_2 = 3$.
Теперь выполним обратную замену для каждого значения $t$:
1) $x^2 - 6x = -11 \Rightarrow x^2 - 6x + 11 = 0$.
Произведение корней этого квадратного уравнения по теореме Виета равно $11$.
2) $x^2 - 6x = 3 \Rightarrow x^2 - 6x - 3 = 0$.
Произведение корней этого квадратного уравнения по теореме Виета равно $-3$.
Произведение всех четырех корней исходного уравнения равно произведению произведений корней из каждого случая:
$11 \cdot (-3) = -33$.
Альтернативный способ: приведем исходное уравнение к стандартному виду $x^4 - 12x^3 + 44x^2 - 48x - 33 = 0$. По обобщенной теореме Виета для уравнения четвертой степени, произведение всех корней равно свободному члену, деленному на коэффициент при старшей степени, т.е. $-33/1 = -33$.
Ответ: -33
в) $4(x^2 + \frac{1}{x^2}) + 12(x + \frac{1}{x}) = 47$
Область допустимых значений $x \neq 0$.
Это возвратное уравнение. Сделаем замену переменной. Пусть $t = x + \frac{1}{x}$.
Возведем обе части замены в квадрат: $t^2 = (x + \frac{1}{x})^2 = x^2 + 2 \cdot x \cdot \frac{1}{x} + \frac{1}{x^2} = x^2 + 2 + \frac{1}{x^2}$.
Отсюда выразим $x^2 + \frac{1}{x^2} = t^2 - 2$.
Подставим выражения для $t$ в исходное уравнение:
$4(t^2 - 2) + 12t = 47$
$4t^2 - 8 + 12t - 47 = 0$
$4t^2 + 12t - 55 = 0$
Решим это квадратное уравнение относительно $t$. Дискриминант $D = 12^2 - 4 \cdot 4 \cdot (-55) = 144 + 880 = 1024 = 32^2$.
$t_1 = \frac{-12 - 32}{8} = \frac{-44}{8} = -\frac{11}{2}$
$t_2 = \frac{-12 + 32}{8} = \frac{20}{8} = \frac{5}{2}$
Выполним обратную замену:
1) $x + \frac{1}{x} = -\frac{11}{2}$. Умножим на $2x$: $2x^2 + 2 = -11x \Rightarrow 2x^2 + 11x + 2 = 0$.
Произведение корней этого уравнения по теореме Виета равно $c/a = 2/2 = 1$.
2) $x + \frac{1}{x} = \frac{5}{2}$. Умножим на $2x$: $2x^2 + 2 = 5x \Rightarrow 2x^2 - 5x + 2 = 0$.
Произведение корней этого уравнения по теореме Виета равно $c/a = 2/2 = 1$.
Чтобы найти произведение всех корней исходного уравнения, нужно перемножить произведения корней, полученные в каждом случае:
$1 \cdot 1 = 1$.
Ответ: 1
Другие задания:
Помогло решение? Оставьте отзыв в комментариях ниже.
Присоединяйтесь к Телеграм-группе @top_gdz
ПрисоединитьсяМы подготовили для вас ответ c подробным объяснением домашего задания по алгебре за 9 класс, для упражнения номер 940 расположенного на странице 254 к учебнику 2019 года издания для учащихся школ и гимназий.
Теперь на нашем сайте ГДЗ.ТОП вы всегда легко и бесплатно найдёте условие с правильным ответом на вопрос «Как решить ДЗ» и «Как сделать» задание по алгебре к упражнению №940 (с. 254), авторов: Солтан (Генадий Николаевич), Солтан (Алла Евгеньевна), Жумадилова (Аманбала Жумадиловна), учебного пособия издательства Кокшетау.