Номер 943, страница 255 - гдз по алгебре 9 класс учебник Солтан, Солтан

Авторы: Солтан Г. Н., Солтан А. Е., Жумадилова А. Ж.
Тип: Учебник
Издательство: Кокшетау
Год издания: 2019 - 2025
Цвет обложки:
ISBN: 978-601-317-424-2
Рекомендовано Министерством образования и науки Республики Казахстан
Популярные ГДЗ в 9 классе
Уравнения, неравенства и их системы. Повторение курса алгебры 7-9 классов - номер 943, страница 255.
№943 (с. 255)
Условие. №943 (с. 255)
скриншот условия

ковая сторона этого треугольника?
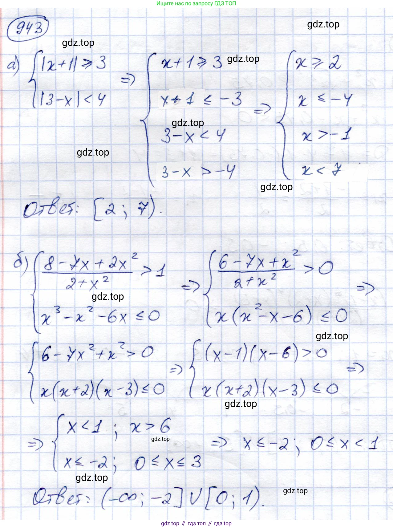
943. Решите систему неравенств:
а) $ \begin{cases} |x+1| \ge 3 \\ |3-x| < 4 \end{cases} $
б) $ \begin{cases} \frac{8-7x+2x^2}{2+x^2} > 1 \\ x^3 - x^2 - 6x \le 0 \end{cases} $
Решение. №943 (с. 255)

Решение 2 (rus). №943 (с. 255)
а) Решим систему, состоящую из двух неравенств. Первое неравенство: $|x + 1| \ge 3$. Второе неравенство: $|3 - x| < 4$.
Решение первого неравенства $|x + 1| \ge 3$ является объединением решений двух неравенств: $x + 1 \ge 3$ и $x + 1 \le -3$.
Из $x + 1 \ge 3$ следует $x \ge 2$.
Из $x + 1 \le -3$ следует $x \le -4$.
Таким образом, решение первого неравенства есть объединение промежутков: $x \in (-\infty, -4] \cup [2, +\infty)$.
Решим второе неравенство $|3 - x| < 4$. Так как $|3 - x| = |x - 3|$, оно эквивалентно неравенству $|x - 3| < 4$.
Это равносильно двойному неравенству $-4 < x - 3 < 4$.
Прибавив 3 ко всем частям, получаем $-4 + 3 < x < 4 + 3$, что дает $-1 < x < 7$.
Решение второго неравенства: $x \in (-1, 7)$.
Теперь найдем пересечение решений обоих неравенств: $((-\infty, -4] \cup [2, +\infty)) \cap (-1, 7)$.
Для этого найдем пересечение интервала $(-1, 7)$ с каждым из промежутков первого решения. Пересечение $(-\infty, -4]$ и $(-1, 7)$ является пустым множеством. Пересечение $[2, +\infty)$ и $(-1, 7)$ является промежутком $[2, 7)$.
Следовательно, решение системы — это объединение найденных пересечений.
Ответ: $[2, 7)$.
б) Решим систему, состоящую из двух неравенств. Первое неравенство: $\frac{8 - 7x + 2x^2}{2 + x^2} > 1$. Второе неравенство: $x^3 - x^2 - 6x \le 0$.
Начнем с первого неравенства. Знаменатель дроби $2 + x^2$ всегда строго положителен, так как $x^2 \ge 0$, а значит $2 + x^2 \ge 2$. Поэтому мы можем умножить обе части неравенства на этот знаменатель, сохранив знак неравенства:
$8 - 7x + 2x^2 > 1 \cdot (2 + x^2)$
$8 - 7x + 2x^2 > 2 + x^2$
Перенесем все члены в левую часть и приведем подобные слагаемые:
$2x^2 - x^2 - 7x + 8 - 2 > 0$
$x^2 - 7x + 6 > 0$
Найдем корни квадратного уравнения $x^2 - 7x + 6 = 0$. По теореме Виета, сумма корней равна 7, а их произведение равно 6. Следовательно, корни $x_1 = 1$ и $x_2 = 6$.
Графиком функции $y = x^2 - 7x + 6$ является парабола с ветвями, направленными вверх. Значения функции положительны вне интервала между корнями.
Решение первого неравенства: $x \in (-\infty, 1) \cup (6, +\infty)$.
Теперь решим второе неравенство: $x^3 - x^2 - 6x \le 0$.
Вынесем общий множитель $x$ за скобки: $x(x^2 - x - 6) \le 0$.
Разложим квадратный трехчлен $x^2 - x - 6$ на множители. Его корни $x_1 = 3$ и $x_2 = -2$.
Неравенство принимает вид: $x(x - 3)(x + 2) \le 0$.
Решим это неравенство методом интервалов. Отметим на числовой оси корни -2, 0 и 3. Они разбивают ось на четыре интервала. Определим знак выражения $x(x+2)(x-3)$ в каждом интервале:
- при $x < -2$, выражение отрицательно;
- при $-2 < x < 0$, выражение положительно;
- при $0 < x < 3$, выражение отрицательно;
- при $x > 3$, выражение положительно.
Так как неравенство нестрогое ($\le 0$), решениями являются интервалы, где выражение отрицательно, а также сами корни.
Решение второго неравенства: $x \in (-\infty, -2] \cup [0, 3]$.
Наконец, найдем пересечение решений обоих неравенств: $x \in ((-\infty, 1) \cup (6, +\infty)) \cap ((-\infty, -2] \cup [0, 3])$.
Пересечение $(-\infty, 1)$ с $(-\infty, -2] \cup [0, 3]$ дает $(-\infty, -2] \cup [0, 1)$.
Пересечение $(6, +\infty)$ с $(-\infty, -2] \cup [0, 3]$ является пустым множеством.
Итоговое решение системы является объединением найденных пересечений.
Ответ: $(-\infty, -2] \cup [0, 1)$.
Другие задания:
Помогло решение? Оставьте отзыв в комментариях ниже.
Присоединяйтесь к Телеграм-группе @top_gdz
ПрисоединитьсяМы подготовили для вас ответ c подробным объяснением домашего задания по алгебре за 9 класс, для упражнения номер 943 расположенного на странице 255 к учебнику 2019 года издания для учащихся школ и гимназий.
Теперь на нашем сайте ГДЗ.ТОП вы всегда легко и бесплатно найдёте условие с правильным ответом на вопрос «Как решить ДЗ» и «Как сделать» задание по алгебре к упражнению №943 (с. 255), авторов: Солтан (Генадий Николаевич), Солтан (Алла Евгеньевна), Жумадилова (Аманбала Жумадиловна), учебного пособия издательства Кокшетау.