Номер 950, страница 255 - гдз по алгебре 9 класс учебник Солтан, Солтан

Авторы: Солтан Г. Н., Солтан А. Е., Жумадилова А. Ж.
Тип: Учебник
Издательство: Кокшетау
Год издания: 2019 - 2025
Цвет обложки:
ISBN: 978-601-317-424-2
Рекомендовано Министерством образования и науки Республики Казахстан
Популярные ГДЗ в 9 классе
Уравнения, неравенства и их системы. Повторение курса алгебры 7-9 классов - номер 950, страница 255.
№950 (с. 255)
Условие. №950 (с. 255)
скриншот условия

950. Решите неравенство:
а) $ \frac{9}{x^2 - 2x} \geq x^2 - 2x $
б) $ \left| \frac{x-5}{3x^2 - 5x - 2} \right| \geq 1 $
Решение. №950 (с. 255)


Решение 2 (rus). №950 (с. 255)
а) Исходное неравенство: $\frac{9}{x^2 - 2x} \ge x^2 - 2x$.
Область допустимых значений (ОДЗ): знаменатель не должен быть равен нулю, то есть $x^2 - 2x \neq 0$, что равносильно $x(x-2) \neq 0$. Отсюда $x \neq 0$ и $x \neq 2$.
Введем замену переменной. Пусть $t = x^2 - 2x$. Тогда неравенство принимает вид:
$\frac{9}{t} \ge t$
Перенесем $t$ в левую часть и приведем к общему знаменателю:
$\frac{9}{t} - t \ge 0$
$\frac{9 - t^2}{t} \ge 0$
$\frac{(3-t)(3+t)}{t} \ge 0$
Решим это неравенство методом интервалов для переменной $t$. Нули числителя: $t=3$, $t=-3$. Нуль знаменателя: $t=0$.
Отметим эти точки на числовой оси и определим знаки выражения на каждом интервале:
- при $t > 3$: $\frac{(-)(+)}{(+)} < 0$
- при $0 < t < 3$: $\frac{(+)(+)}{(+)} > 0$
- при $-3 < t < 0$: $\frac{(+)(+)}{(-)} < 0$
- при $t < -3$: $\frac{(+)(-)}{(-)} > 0$
Нас интересуют промежутки, где выражение больше или равно нулю. Учитывая, что $t=3$ и $t=-3$ являются решениями, а $t=0$ — нет (знаменатель), получаем решение для $t$:
$t \in (-\infty, -3] \cup (0, 3]$
Теперь выполним обратную замену. Решение распадается на два случая:
1) $x^2 - 2x \le -3 \implies x^2 - 2x + 3 \le 0$.
Найдем дискриминант квадратного трехчлена $x^2 - 2x + 3$: $D = (-2)^2 - 4 \cdot 1 \cdot 3 = 4 - 12 = -8$.
Так как $D < 0$ и коэффициент при $x^2$ положителен ($a=1 > 0$), парабола $y = x^2 - 2x + 3$ полностью находится выше оси Ox, то есть выражение $x^2 - 2x + 3$ всегда положительно. Следовательно, неравенство $x^2 - 2x + 3 \le 0$ не имеет решений.
2) $0 < x^2 - 2x \le 3$. Это система из двух неравенств:
$\begin{cases} x^2 - 2x > 0 \\ x^2 - 2x \le 3 \end{cases}$
Решим первое неравенство: $x^2 - 2x > 0 \implies x(x-2) > 0$. Корни $x=0, x=2$. Решение: $x \in (-\infty, 0) \cup (2, \infty)$.
Решим второе неравенство: $x^2 - 2x \le 3 \implies x^2 - 2x - 3 \le 0$. Корни уравнения $x^2 - 2x - 3 = 0$ равны $x=-1$ и $x=3$. Решение: $x \in [-1, 3]$.
Найдем пересечение решений системы: $( (-\infty, 0) \cup (2, \infty) ) \cap [-1, 3]$.
Пересечение дает нам два интервала: $[-1, 0)$ и $(2, 3]$.
Объединяя решения из обоих случаев (в первом случае решений нет), получаем итоговый ответ. Он удовлетворяет ОДЗ.
Ответ: $x \in [-1, 0) \cup (2, 3]$.
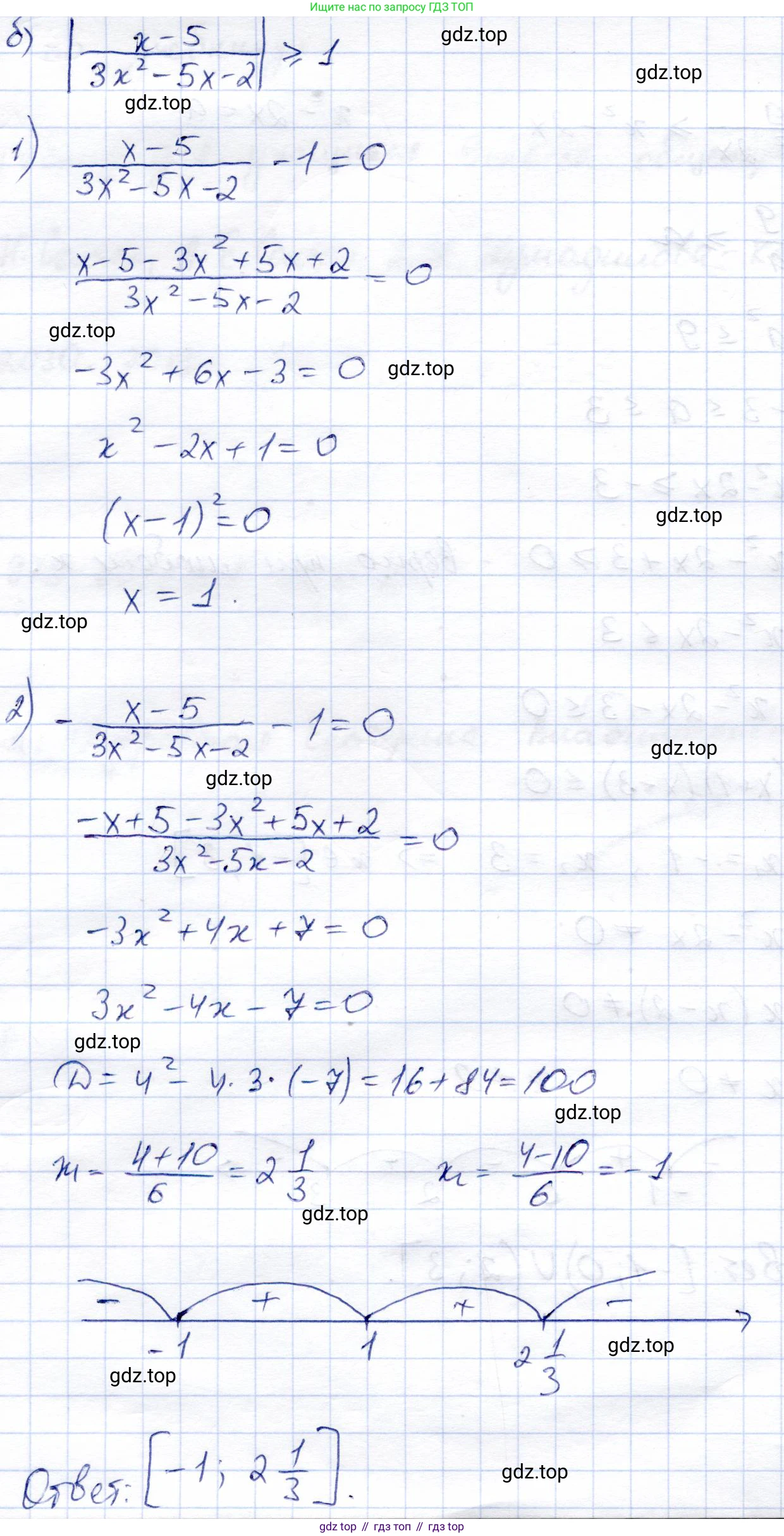
б) Исходное неравенство: $|\frac{x-5}{3x^2 - 5x - 2}| \ge 1$.
Неравенство вида $|A| \ge B$ (при $B>0$) равносильно совокупности двух неравенств: $A \ge B$ или $A \le -B$.
$\frac{x-5}{3x^2 - 5x - 2} \ge 1 \quad$ или $\quad \frac{x-5}{3x^2 - 5x - 2} \le -1$.
Найдем ОДЗ: $3x^2 - 5x - 2 \neq 0$.
Дискриминант $D = (-5)^2 - 4 \cdot 3 \cdot (-2) = 25 + 24 = 49 = 7^2$.
Корни: $x_1 = \frac{5-7}{6} = -\frac{1}{3}$, $x_2 = \frac{5+7}{6} = 2$.
Таким образом, ОДЗ: $x \neq -\frac{1}{3}$ и $x \neq 2$. Знаменатель можно разложить на множители: $3x^2 - 5x - 2 = 3(x+\frac{1}{3})(x-2) = (3x+1)(x-2)$.
Решим первое неравенство:
$\frac{x-5}{3x^2 - 5x - 2} - 1 \ge 0 \implies \frac{x-5 - (3x^2 - 5x - 2)}{3x^2 - 5x - 2} \ge 0 \implies \frac{-3x^2 + 6x - 3}{(3x+1)(x-2)} \ge 0$
$\frac{-3(x^2 - 2x + 1)}{(3x+1)(x-2)} \ge 0 \implies \frac{-3(x-1)^2}{(3x+1)(x-2)} \ge 0$.
Разделим на -3 и сменим знак неравенства: $\frac{(x-1)^2}{(3x+1)(x-2)} \le 0$.
Числитель $(x-1)^2 \ge 0$ при всех $x$. Равенство нулю достигается при $x=1$. Неравенство будет выполняться, если знаменатель $(3x+1)(x-2) < 0$. Это выполняется на интервале $x \in (-\frac{1}{3}, 2)$.
Таким образом, решение первого неравенства — это объединение точки $x=1$ и интервала $(-\frac{1}{3}, 2)$, что дает $x \in (-\frac{1}{3}, 2)$.
Решим второе неравенство:
$\frac{x-5}{3x^2 - 5x - 2} + 1 \le 0 \implies \frac{x-5 + (3x^2 - 5x - 2)}{3x^2 - 5x - 2} \le 0 \implies \frac{3x^2 - 4x - 7}{(3x+1)(x-2)} \le 0$.
Найдем корни числителя $3x^2 - 4x - 7 = 0$. $D = (-4)^2 - 4 \cdot 3 \cdot (-7) = 16 + 84 = 100 = 10^2$.
Корни: $x_1 = \frac{4-10}{6} = -1$, $x_2 = \frac{4+10}{6} = \frac{7}{3}$.
Неравенство принимает вид: $\frac{3(x+1)(x-7/3)}{(3x+1)(x-2)} \le 0 \implies \frac{(x+1)(x-7/3)}{(x+1/3)(x-2)} \le 0$.
Методом интервалов, отметив на оси точки $-1, -\frac{1}{3}, 2, \frac{7}{3}$, получаем решение: $x \in [-1, -\frac{1}{3}) \cup (2, \frac{7}{3}]$.
Объединим решения обоих неравенств:
$(-\frac{1}{3}, 2) \cup \left( [-1, -\frac{1}{3}) \cup (2, \frac{7}{3}] \right)$.
Итоговое решение: $x \in [-1, -\frac{1}{3}) \cup (-\frac{1}{3}, 2) \cup (2, \frac{7}{3}]$.
Ответ: $x \in [-1, -\frac{1}{3}) \cup (-\frac{1}{3}, 2) \cup (2, \frac{7}{3}]$.
Другие задания:
Помогло решение? Оставьте отзыв в комментариях ниже.
Присоединяйтесь к Телеграм-группе @top_gdz
ПрисоединитьсяМы подготовили для вас ответ c подробным объяснением домашего задания по алгебре за 9 класс, для упражнения номер 950 расположенного на странице 255 к учебнику 2019 года издания для учащихся школ и гимназий.
Теперь на нашем сайте ГДЗ.ТОП вы всегда легко и бесплатно найдёте условие с правильным ответом на вопрос «Как решить ДЗ» и «Как сделать» задание по алгебре к упражнению №950 (с. 255), авторов: Солтан (Генадий Николаевич), Солтан (Алла Евгеньевна), Жумадилова (Аманбала Жумадиловна), учебного пособия издательства Кокшетау.