Номер 944, страница 255 - гдз по алгебре 9 класс учебник Солтан, Солтан

Авторы: Солтан Г. Н., Солтан А. Е., Жумадилова А. Ж.
Тип: Учебник
Издательство: Кокшетау
Год издания: 2019 - 2025
Цвет обложки:
ISBN: 978-601-317-424-2
Рекомендовано Министерством образования и науки Республики Казахстан
Популярные ГДЗ в 9 классе
Уравнения, неравенства и их системы. Повторение курса алгебры 7-9 классов - номер 944, страница 255.
№944 (с. 255)
Условие. №944 (с. 255)
скриншот условия

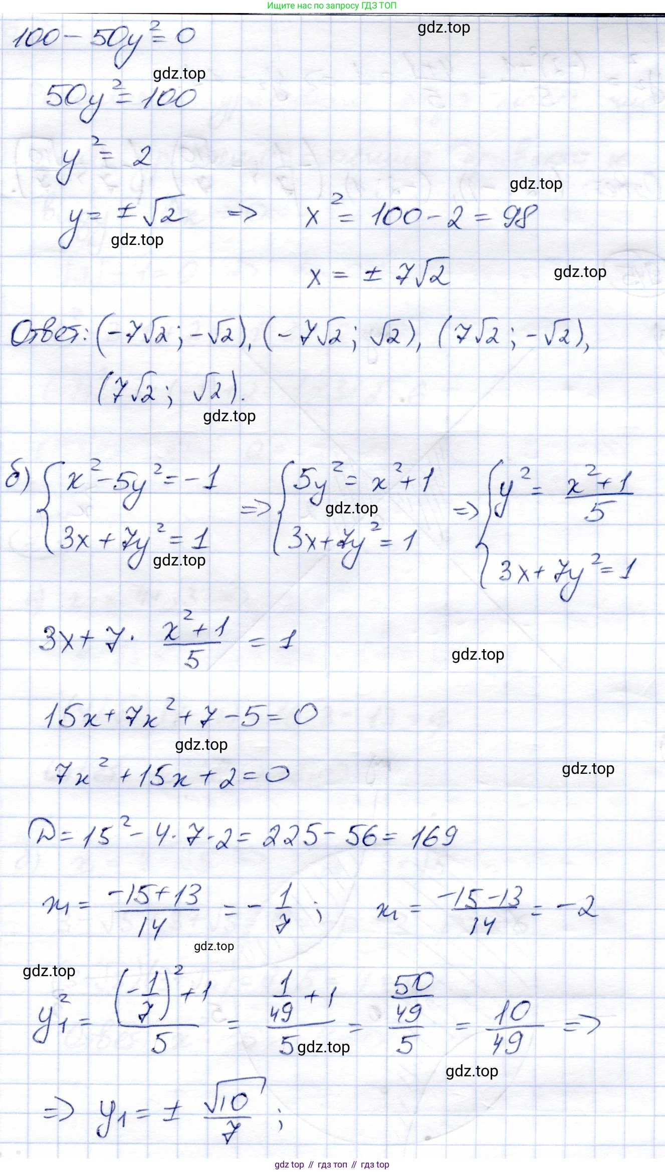
944. Решите систему уравнений:
а)
$\begin{cases} x^2 + y^2 = 100, \\ x^2 - 49y^2 = 0; \end{cases}$
б)
$\begin{cases} x^2 - 5y^2 = -1, \\ 3x + 7y^2 = 1. \end{cases}$
Решение. №944 (с. 255)



Решение 2 (rus). №944 (с. 255)
а)
Дана система уравнений:
$\begin{cases} x^2 + y^2 = 100 \\ x^2 - 49y^2 = 0 \end{cases}$
Из второго уравнения выразим $x^2$:
$x^2 = 49y^2$
Подставим это выражение в первое уравнение системы:
$49y^2 + y^2 = 100$
$50y^2 = 100$
$y^2 = \frac{100}{50}$
$y^2 = 2$
Отсюда находим возможные значения для $y$:
$y_1 = \sqrt{2}$, $y_2 = -\sqrt{2}$
Теперь найдем соответствующие значения $x$. Подставим $y^2 = 2$ в выражение $x^2 = 49y^2$:
$x^2 = 49 \cdot 2$
$x^2 = 98$
Отсюда находим возможные значения для $x$:
$x_1 = \sqrt{98} = \sqrt{49 \cdot 2} = 7\sqrt{2}$
$x_2 = -\sqrt{98} = -\sqrt{49 \cdot 2} = -7\sqrt{2}$
Таким образом, система имеет четыре решения, которые являются комбинациями найденных значений $x$ и $y$:
$(7\sqrt{2}, \sqrt{2})$, $(-7\sqrt{2}, \sqrt{2})$, $(7\sqrt{2}, -\sqrt{2})$, $(-7\sqrt{2}, -\sqrt{2})$
Ответ: $(7\sqrt{2}, \sqrt{2}); (-7\sqrt{2}, \sqrt{2}); (7\sqrt{2}, -\sqrt{2}); (-7\sqrt{2}, -\sqrt{2})$.
б)
Дана система уравнений:
$\begin{cases} x^2 - 5y^2 = -1 \\ 3x + 7y^2 = 1 \end{cases}$
Из второго уравнения выразим $7y^2$, а затем $y^2$:
$7y^2 = 1 - 3x$
$y^2 = \frac{1 - 3x}{7}$
Подставим полученное выражение для $y^2$ в первое уравнение системы:
$x^2 - 5\left(\frac{1 - 3x}{7}\right) = -1$
Умножим обе части уравнения на 7, чтобы избавиться от знаменателя:
$7x^2 - 5(1 - 3x) = -7$
$7x^2 - 5 + 15x = -7$
Перенесем все члены в левую часть, чтобы получить стандартное квадратное уравнение:
$7x^2 + 15x + 2 = 0$
Решим это квадратное уравнение относительно $x$ с помощью дискриминанта.
Дискриминант $D = b^2 - 4ac$:
$D = 15^2 - 4 \cdot 7 \cdot 2 = 225 - 56 = 169 = 13^2$
Найдем корни уравнения:
$x_{1} = \frac{-b + \sqrt{D}}{2a} = \frac{-15 + 13}{2 \cdot 7} = \frac{-2}{14} = -\frac{1}{7}$
$x_{2} = \frac{-b - \sqrt{D}}{2a} = \frac{-15 - 13}{2 \cdot 7} = \frac{-28}{14} = -2$
Теперь для каждого найденного значения $x$ найдем соответствующие значения $y$, используя выражение $y^2 = \frac{1 - 3x}{7}$. Важно помнить, что $y^2$ не может быть отрицательным.
Случай 1: $x = -2$
$y^2 = \frac{1 - 3(-2)}{7} = \frac{1 + 6}{7} = \frac{7}{7} = 1$
Отсюда $y = \pm\sqrt{1}$, то есть $y_1 = 1$ и $y_2 = -1$.
Получаем две пары решений: $(-2, 1)$ и $(-2, -1)$.
Случай 2: $x = -\frac{1}{7}$
$y^2 = \frac{1 - 3(-\frac{1}{7})}{7} = \frac{1 + \frac{3}{7}}{7} = \frac{\frac{10}{7}}{7} = \frac{10}{49}$
Отсюда $y = \pm\sqrt{\frac{10}{49}}$, то есть $y_3 = \frac{\sqrt{10}}{7}$ и $y_4 = -\frac{\sqrt{10}}{7}$.
Получаем еще две пары решений: $(-\frac{1}{7}, \frac{\sqrt{10}}{7})$ и $(-\frac{1}{7}, -\frac{\sqrt{10}}{7})$.
Ответ: $(-2, 1); (-2, -1); (-\frac{1}{7}, \frac{\sqrt{10}}{7}); (-\frac{1}{7}, -\frac{\sqrt{10}}{7})$.
Другие задания:
Помогло решение? Оставьте отзыв в комментариях ниже.
Присоединяйтесь к Телеграм-группе @top_gdz
ПрисоединитьсяМы подготовили для вас ответ c подробным объяснением домашего задания по алгебре за 9 класс, для упражнения номер 944 расположенного на странице 255 к учебнику 2019 года издания для учащихся школ и гимназий.
Теперь на нашем сайте ГДЗ.ТОП вы всегда легко и бесплатно найдёте условие с правильным ответом на вопрос «Как решить ДЗ» и «Как сделать» задание по алгебре к упражнению №944 (с. 255), авторов: Солтан (Генадий Николаевич), Солтан (Алла Евгеньевна), Жумадилова (Аманбала Жумадиловна), учебного пособия издательства Кокшетау.