Номер 949, страница 255 - гдз по алгебре 9 класс учебник Солтан, Солтан

Авторы: Солтан Г. Н., Солтан А. Е., Жумадилова А. Ж.
Тип: Учебник
Издательство: Кокшетау
Год издания: 2019 - 2025
Цвет обложки:
ISBN: 978-601-317-424-2
Рекомендовано Министерством образования и науки Республики Казахстан
Популярные ГДЗ в 9 классе
Уравнения, неравенства и их системы. Повторение курса алгебры 7-9 классов - номер 949, страница 255.
№949 (с. 255)
Условие. №949 (с. 255)
скриншот условия

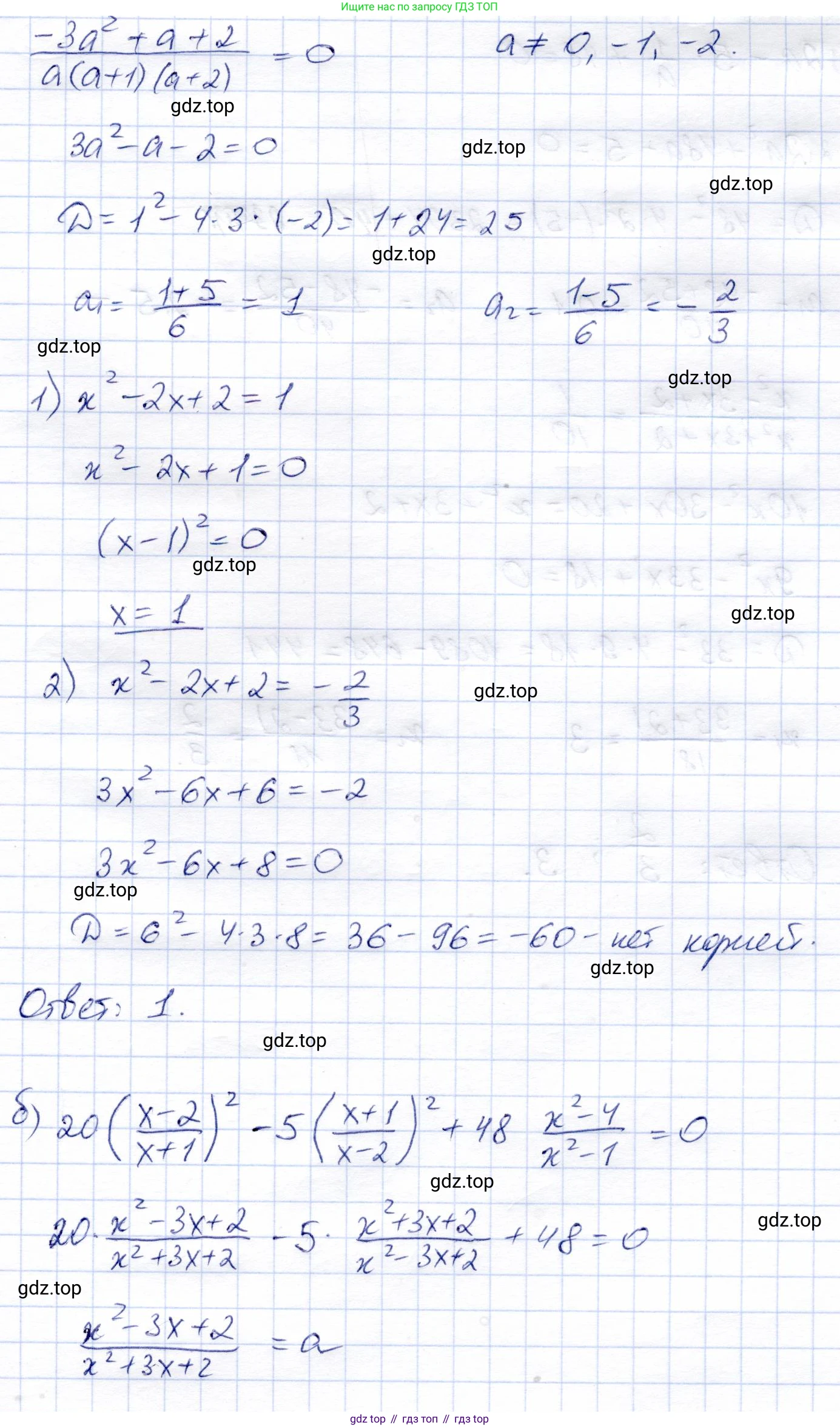
949. Решите уравнение:
a) $\frac{1}{x^2 - 2x + 2} + \frac{2}{x^2 - 2x + 3} = \frac{6}{x^2 - 2x + 4}$;
б) $20\left(\frac{x - 2}{x + 1}\right)^2 - 5\left(\frac{x + 2}{x - 1}\right)^2 + 48\frac{x^2 - 4}{x^2 - 1} = 0$.
Решение. №949 (с. 255)



Решение 2 (rus). №949 (с. 255)
а) Исходное уравнение: $\frac{1}{x^2 - 2x + 2} + \frac{2}{x^2 - 2x + 3} = \frac{6}{x^2 - 2x + 4}$.
Заметим, что в знаменателях дробей присутствует одинаковое выражение $x^2 - 2x$. Чтобы упростить уравнение, введем замену переменной. Пусть $y = x^2 - 2x$.
Тогда уравнение принимает вид: $\frac{1}{y + 2} + \frac{2}{y + 3} = \frac{6}{y + 4}$.
Область допустимых значений для $y$: $y+2 \neq 0$, $y+3 \neq 0$, $y+4 \neq 0$. Следовательно, $y \neq -2$, $y \neq -3$, $y \neq -4$.
Приведем дроби в левой части к общему знаменателю $(y+2)(y+3)$:
$\frac{y+3 + 2(y+2)}{(y+2)(y+3)} = \frac{6}{y+4}$
$\frac{y+3 + 2y+4}{y^2+5y+6} = \frac{6}{y+4}$
$\frac{3y+7}{y^2+5y+6} = \frac{6}{y+4}$
Воспользуемся свойством пропорции (перекрестное умножение):
$(3y+7)(y+4) = 6(y^2+5y+6)$
$3y^2 + 12y + 7y + 28 = 6y^2 + 30y + 36$
$3y^2 + 19y + 28 = 6y^2 + 30y + 36$
Перенесем все члены в правую часть, чтобы получить квадратное уравнение:
$6y^2 - 3y^2 + 30y - 19y + 36 - 28 = 0$
$3y^2 + 11y + 8 = 0$
Решим это квадратное уравнение относительно $y$ с помощью дискриминанта:
$D = b^2 - 4ac = 11^2 - 4 \cdot 3 \cdot 8 = 121 - 96 = 25 = 5^2$
$y_1 = \frac{-11 - \sqrt{25}}{2 \cdot 3} = \frac{-11 - 5}{6} = \frac{-16}{6} = -\frac{8}{3}$
$y_2 = \frac{-11 + \sqrt{25}}{2 \cdot 3} = \frac{-11 + 5}{6} = \frac{-6}{6} = -1$
Оба найденных значения для $y$ удовлетворяют ограничениям ($y \neq -2, -3, -4$).
Выполним обратную замену $y = x^2 - 2x$.
Случай 1: $y_1 = -\frac{8}{3}$
$x^2 - 2x = -\frac{8}{3}$
$x^2 - 2x + \frac{8}{3} = 0$
Умножим на 3: $3x^2 - 6x + 8 = 0$
Найдем дискриминант этого уравнения: $D_x = (-6)^2 - 4 \cdot 3 \cdot 8 = 36 - 96 = -60$. Так как $D_x < 0$, в этом случае действительных корней нет.
Случай 2: $y_2 = -1$
$x^2 - 2x = -1$
$x^2 - 2x + 1 = 0$
Это формула квадрата разности: $(x-1)^2 = 0$
$x-1 = 0 \implies x = 1$
Данный корень является единственным решением уравнения.
Ответ: $1$.
б) Исходное уравнение: $20\left(\frac{x-2}{x+1}\right)^2 - 5\left(\frac{x+2}{x-1}\right)^2 + 48\frac{x^2-4}{x^2-1} = 0$.
Определим область допустимых значений (ОДЗ): знаменатели не должны быть равны нулю, поэтому $x+1 \neq 0$ и $x-1 \neq 0$. Отсюда $x \neq 1$ и $x \neq -1$.
Преобразуем третий член уравнения, разложив числитель и знаменатель на множители:
$\frac{x^2-4}{x^2-1} = \frac{(x-2)(x+2)}{(x-1)(x+1)} = \left(\frac{x-2}{x+1}\right)\left(\frac{x+2}{x-1}\right)$
Введем новые переменные для упрощения. Пусть $u = \frac{x-2}{x+1}$ и $v = \frac{x+2}{x-1}$.
Тогда уравнение примет вид:
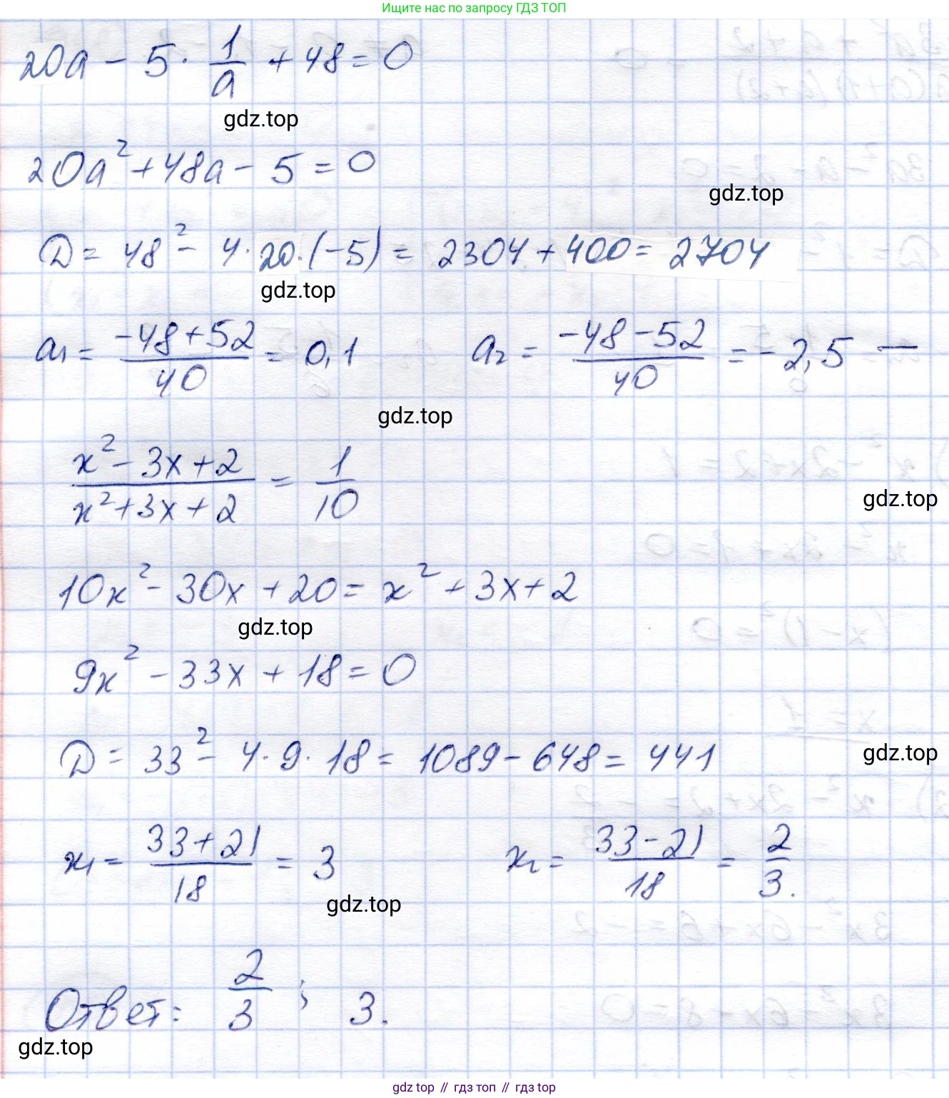
$20u^2 - 5v^2 + 48uv = 0$
Перепишем его в стандартном виде:
$20u^2 + 48uv - 5v^2 = 0$
Это однородное уравнение второй степени. Разделим обе части уравнения на $v^2$ (можно проверить, что $v \neq 0$, иначе $x=-2$, что не является решением):
$20\left(\frac{u}{v}\right)^2 + 48\left(\frac{u}{v}\right) - 5 = 0$
Сделаем еще одну замену: $t = \frac{u}{v}$. Получаем квадратное уравнение относительно $t$:
$20t^2 + 48t - 5 = 0$
Решим это уравнение с помощью дискриминанта:
$D = 48^2 - 4 \cdot 20 \cdot (-5) = 2304 + 400 = 2704 = 52^2$
$t_1 = \frac{-48 - 52}{2 \cdot 20} = \frac{-100}{40} = -\frac{5}{2}$
$t_2 = \frac{-48 + 52}{2 \cdot 20} = \frac{4}{40} = \frac{1}{10}$
Теперь вернемся к переменной $x$. Вспомним, что $t = \frac{u}{v} = \frac{\frac{x-2}{x+1}}{\frac{x+2}{x-1}} = \frac{(x-2)(x-1)}{(x+1)(x+2)} = \frac{x^2-3x+2}{x^2+3x+2}$.
Рассмотрим два случая.
Случай 1: $t_1 = -\frac{5}{2}$
$\frac{x^2-3x+2}{x^2+3x+2} = -\frac{5}{2}$
$2(x^2-3x+2) = -5(x^2+3x+2)$
$2x^2-6x+4 = -5x^2-15x-10$
$7x^2+9x+14=0$
Найдем дискриминант: $D_x = 9^2 - 4 \cdot 7 \cdot 14 = 81 - 392 = -311$. Так как $D_x < 0$, в этом случае действительных корней нет.
Случай 2: $t_2 = \frac{1}{10}$
$\frac{x^2-3x+2}{x^2+3x+2} = \frac{1}{10}$
$10(x^2-3x+2) = 1(x^2+3x+2)$
$10x^2-30x+20 = x^2+3x+2$
$9x^2-33x+18=0$
Разделим уравнение на 3, чтобы упростить коэффициенты:
$3x^2 - 11x + 6 = 0$
Найдем дискриминант: $D_x = (-11)^2 - 4 \cdot 3 \cdot 6 = 121 - 72 = 49 = 7^2$.
$x_1 = \frac{11 - \sqrt{49}}{2 \cdot 3} = \frac{11 - 7}{6} = \frac{4}{6} = \frac{2}{3}$
$x_2 = \frac{11 + \sqrt{49}}{2 \cdot 3} = \frac{11 + 7}{6} = \frac{18}{6} = 3$
Оба корня $x_1 = \frac{2}{3}$ и $x_2 = 3$ удовлетворяют ОДЗ ($x \neq \pm 1$).
Ответ: $\frac{2}{3}; 3$.
Другие задания:
Помогло решение? Оставьте отзыв в комментариях ниже.
Присоединяйтесь к Телеграм-группе @top_gdz
ПрисоединитьсяМы подготовили для вас ответ c подробным объяснением домашего задания по алгебре за 9 класс, для упражнения номер 949 расположенного на странице 255 к учебнику 2019 года издания для учащихся школ и гимназий.
Теперь на нашем сайте ГДЗ.ТОП вы всегда легко и бесплатно найдёте условие с правильным ответом на вопрос «Как решить ДЗ» и «Как сделать» задание по алгебре к упражнению №949 (с. 255), авторов: Солтан (Генадий Николаевич), Солтан (Алла Евгеньевна), Жумадилова (Аманбала Жумадиловна), учебного пособия издательства Кокшетау.