Номер 959, страница 256 - гдз по алгебре 9 класс учебник Солтан, Солтан

Авторы: Солтан Г. Н., Солтан А. Е., Жумадилова А. Ж.
Тип: Учебник
Издательство: Кокшетау
Год издания: 2019 - 2025
Цвет обложки:
ISBN: 978-601-317-424-2
Рекомендовано Министерством образования и науки Республики Казахстан
Популярные ГДЗ в 9 классе
Последовательности. Повторение курса алгебры 7-9 классов - номер 959, страница 256.
№959 (с. 256)
Условие. №959 (с. 256)
скриншот условия

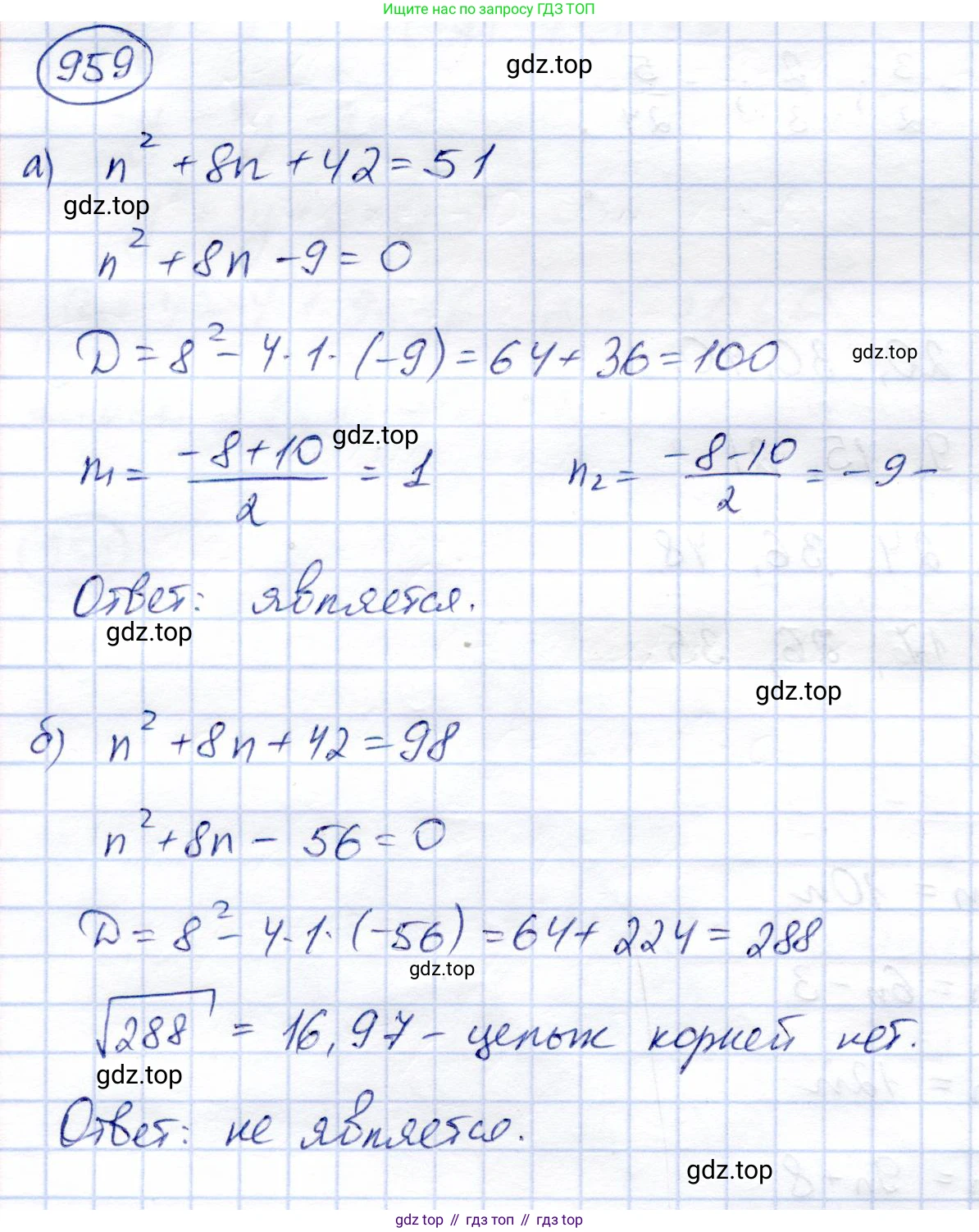
959. Последовательность ($y_n$) задана формулой $y_n = n^2 + 8n + 42.$
Является ли членом этой последовательности число:
а) 51;
б) 98?
Решение. №959 (с. 256)

Решение 2 (rus). №959 (с. 256)
а) Чтобы определить, является ли число 51 членом последовательности $(y_n)$, заданной формулой $y_n = n^2 + 8n + 42$, необходимо проверить, существует ли такое натуральное число $n$ (номер члена последовательности), для которого $y_n = 51$. Для этого решим уравнение: $n^2 + 8n + 42 = 51$ Перенесем 51 в левую часть уравнения: $n^2 + 8n + 42 - 51 = 0$ $n^2 + 8n - 9 = 0$ Это квадратное уравнение. Найдем его корни с помощью дискриминанта. Формула дискриминанта: $D = b^2 - 4ac$. $D = 8^2 - 4 \cdot 1 \cdot (-9) = 64 + 36 = 100$. Так как $D > 0$, уравнение имеет два действительных корня. $n_1 = \frac{-b + \sqrt{D}}{2a} = \frac{-8 + \sqrt{100}}{2 \cdot 1} = \frac{-8 + 10}{2} = \frac{2}{2} = 1$. $n_2 = \frac{-b - \sqrt{D}}{2a} = \frac{-8 - \sqrt{100}}{2 \cdot 1} = \frac{-8 - 10}{2} = \frac{-18}{2} = -9$. Номер члена последовательности $n$ должен быть натуральным числом ($n \in \mathbb{N}$). Корень $n_2 = -9$ не является натуральным числом. Корень $n_1 = 1$ является натуральным числом. Следовательно, число 51 является первым членом данной последовательности. Ответ: да, является.
б) Аналогично проверим, является ли число 98 членом этой последовательности. Для этого решим уравнение $y_n = 98$: $n^2 + 8n + 42 = 98$ Перенесем 98 в левую часть уравнения: $n^2 + 8n + 42 - 98 = 0$ $n^2 + 8n - 56 = 0$ Это квадратное уравнение. Найдем его дискриминант: $D = b^2 - 4ac = 8^2 - 4 \cdot 1 \cdot (-56) = 64 + 224 = 288$. Поскольку дискриминант $D = 288$ не является полным квадратом, корни этого уравнения будут иррациональными: $\sqrt{D} = \sqrt{288} = \sqrt{144 \cdot 2} = 12\sqrt{2}$. $n_{1,2} = \frac{-8 \pm 12\sqrt{2}}{2} = -4 \pm 6\sqrt{2}$. Так как корни $n_1 = -4 + 6\sqrt{2}$ и $n_2 = -4 - 6\sqrt{2}$ не являются натуральными числами, то не существует такого натурального номера $n$, при котором член последовательности был бы равен 98. Ответ: нет, не является.
Другие задания:
Помогло решение? Оставьте отзыв в комментариях ниже.
Присоединяйтесь к Телеграм-группе @top_gdz
ПрисоединитьсяМы подготовили для вас ответ c подробным объяснением домашего задания по алгебре за 9 класс, для упражнения номер 959 расположенного на странице 256 к учебнику 2019 года издания для учащихся школ и гимназий.
Теперь на нашем сайте ГДЗ.ТОП вы всегда легко и бесплатно найдёте условие с правильным ответом на вопрос «Как решить ДЗ» и «Как сделать» задание по алгебре к упражнению №959 (с. 256), авторов: Солтан (Генадий Николаевич), Солтан (Алла Евгеньевна), Жумадилова (Аманбала Жумадиловна), учебного пособия издательства Кокшетау.