Номер 965, страница 257 - гдз по алгебре 9 класс учебник Солтан, Солтан

Авторы: Солтан Г. Н., Солтан А. Е., Жумадилова А. Ж.
Тип: Учебник
Издательство: Кокшетау
Год издания: 2019 - 2025
Цвет обложки:
ISBN: 978-601-317-424-2
Рекомендовано Министерством образования и науки Республики Казахстан
Популярные ГДЗ в 9 классе
Последовательности. Повторение курса алгебры 7-9 классов - номер 965, страница 257.
№965 (с. 257)
Условие. №965 (с. 257)
скриншот условия

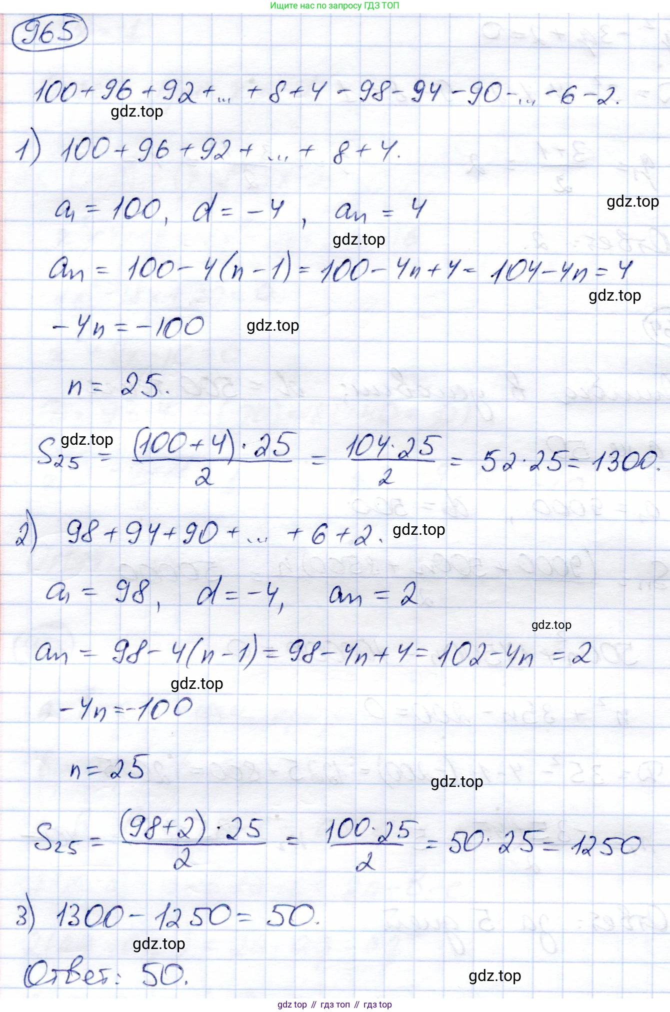
965. Вычислите $100 + 96 + 92 + \dots + 8 + 4 - 98 - 94 - 90 - \dots - 6 - 2.$
Решение. №965 (с. 257)

Решение 2 (rus). №965 (с. 257)
Для вычисления значения данного выражения сгруппируем слагаемые. Исходное выражение можно представить в следующем виде:
$100 + 96 + 92 + \ldots + 8 + 4 - 98 - 94 - 90 - \ldots - 6 - 2$
Переставим члены выражения, чтобы объединить их в пары:
$(100 - 98) + (96 - 94) + (92 - 90) + \ldots + (8 - 6) + (4 - 2)$
Вычислим разность в каждой паре:
$100 - 98 = 2$
$96 - 94 = 2$
$92 - 90 = 2$
...
$4 - 2 = 2$
Как видим, каждая пара дает в результате 2. Теперь задача сводится к тому, чтобы найти количество таких пар и умножить его на 2.
Количество пар равно количеству членов в последовательности положительных чисел: $100, 96, 92, \ldots, 4$. Эта последовательность является убывающей арифметической прогрессией.
Первый член прогрессии $a_1 = 100$.
Последний член $a_n = 4$.
Разность прогрессии $d = 96 - 100 = -4$.
Найдем количество членов $n$ по формуле $n$-го члена арифметической прогрессии $a_n = a_1 + (n-1)d$:
$4 = 100 + (n-1) \cdot (-4)$
$4 - 100 = -4(n-1)$
$-96 = -4(n-1)$
$n-1 = \frac{-96}{-4}$
$n-1 = 24$
$n = 25$
Таким образом, у нас есть 25 пар, сумма каждой из которых равна 2.
Итоговый результат равен:
$25 \cdot 2 = 50$
Ответ: 50
Другие задания:
Помогло решение? Оставьте отзыв в комментариях ниже.
Присоединяйтесь к Телеграм-группе @top_gdz
ПрисоединитьсяМы подготовили для вас ответ c подробным объяснением домашего задания по алгебре за 9 класс, для упражнения номер 965 расположенного на странице 257 к учебнику 2019 года издания для учащихся школ и гимназий.
Теперь на нашем сайте ГДЗ.ТОП вы всегда легко и бесплатно найдёте условие с правильным ответом на вопрос «Как решить ДЗ» и «Как сделать» задание по алгебре к упражнению №965 (с. 257), авторов: Солтан (Генадий Николаевич), Солтан (Алла Евгеньевна), Жумадилова (Аманбала Жумадиловна), учебного пособия издательства Кокшетау.