Номер 970, страница 257 - гдз по алгебре 9 класс учебник Солтан, Солтан

Авторы: Солтан Г. Н., Солтан А. Е., Жумадилова А. Ж.
Тип: Учебник
Издательство: Кокшетау
Год издания: 2019 - 2025
Цвет обложки:
ISBN: 978-601-317-424-2
Рекомендовано Министерством образования и науки Республики Казахстан
Популярные ГДЗ в 9 классе
Последовательности. Повторение курса алгебры 7-9 классов - номер 970, страница 257.
№970 (с. 257)
Условие. №970 (с. 257)
скриншот условия

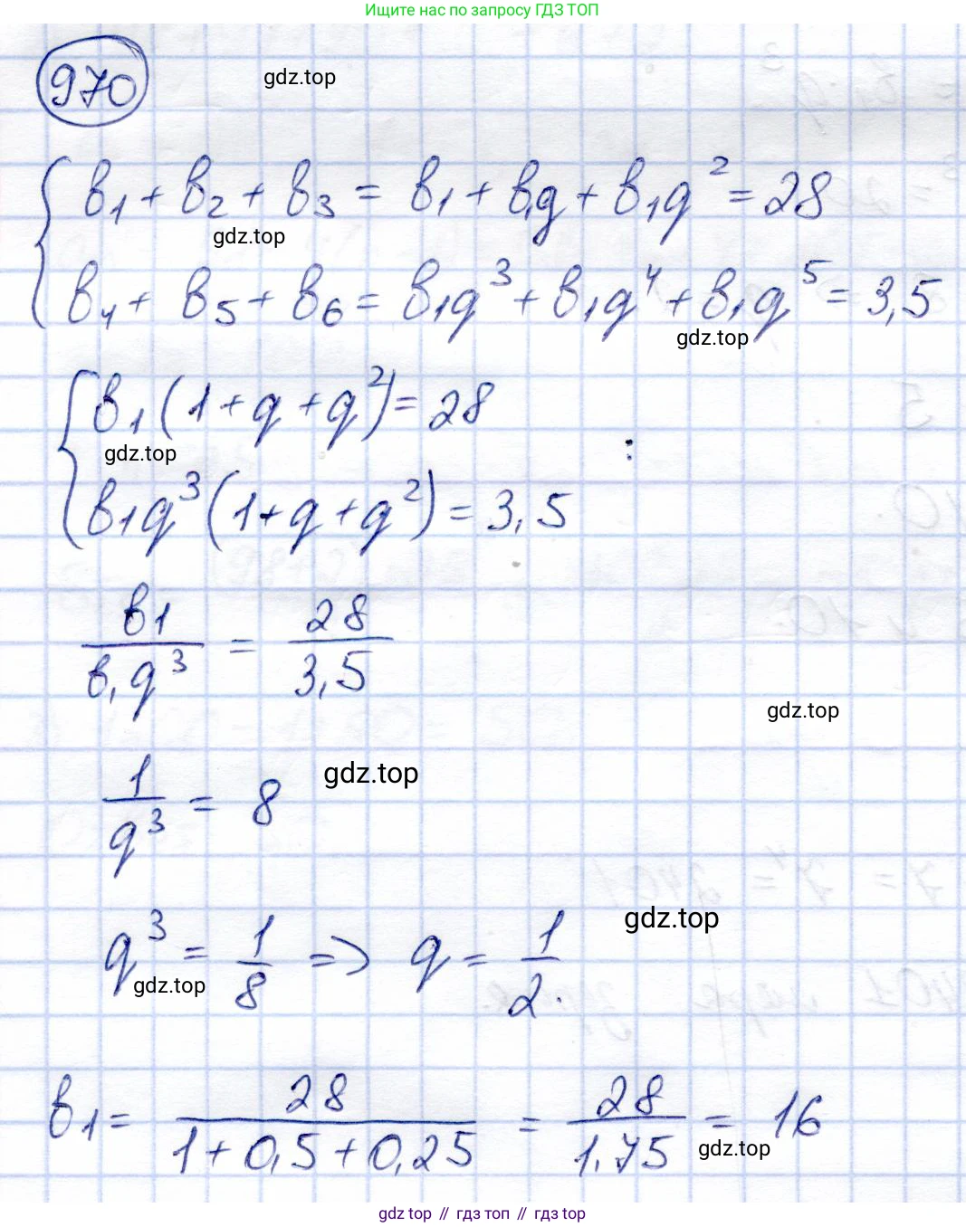
970. В геометрической прогрессии 6 членов. Найдите ее первый член, если сумма первых трех ее членов равна 28, а сумма трех последних равна 3,5.
Решение. №970 (с. 257)


Решение 2 (rus). №970 (с. 257)
Пусть первый член геометрической прогрессии равен $b_1$, а знаменатель прогрессии равен $q$.
В прогрессии 6 членов: $b_1, b_2, b_3, b_4, b_5, b_6$.
По условию задачи, сумма первых трех членов равна 28. Запишем это в виде уравнения, используя формулу n-го члена геометрической прогрессии $b_n = b_1 \cdot q^{n-1}$:
$b_1 + b_2 + b_3 = 28$
$b_1 + b_1q + b_1q^2 = 28$
Вынесем $b_1$ за скобки:
$b_1(1 + q + q^2) = 28$
Также по условию, сумма трех последних членов ($b_4, b_5, b_6$) равна 3,5. Запишем второе уравнение:
$b_4 + b_5 + b_6 = 3.5$
$b_1q^3 + b_1q^4 + b_1q^5 = 3.5$
Вынесем общий множитель $b_1q^3$ за скобки:
$b_1q^3(1 + q + q^2) = 3.5$
Теперь у нас есть система из двух уравнений с двумя неизвестными $b_1$ и $q$:
$\begin{cases} b_1(1 + q + q^2) = 28 \\ b_1q^3(1 + q + q^2) = 3.5 \end{cases}$
Разделим второе уравнение на первое. Так как суммы не равны нулю, это допустимо.
$\frac{b_1q^3(1 + q + q^2)}{b_1(1 + q + q^2)} = \frac{3.5}{28}$
После сокращения одинаковых множителей в левой части, получаем:
$q^3 = \frac{3.5}{28}$
Упростим правую часть:
$q^3 = \frac{35}{280} = \frac{7}{56} = \frac{1}{8}$
Отсюда находим знаменатель прогрессии $q$:
$q = \sqrt[3]{\frac{1}{8}} = \frac{1}{2}$
Теперь, зная $q$, мы можем найти первый член $b_1$, подставив значение $q$ в первое уравнение $b_1(1 + q + q^2) = 28$:
$b_1\left(1 + \frac{1}{2} + \left(\frac{1}{2}\right)^2\right) = 28$
$b_1\left(1 + \frac{1}{2} + \frac{1}{4}\right) = 28$
Вычислим выражение в скобках:
$1 + \frac{1}{2} + \frac{1}{4} = \frac{4}{4} + \frac{2}{4} + \frac{1}{4} = \frac{7}{4}$
Подставим это значение обратно в уравнение:
$b_1 \cdot \frac{7}{4} = 28$
Находим $b_1$:
$b_1 = 28 \div \frac{7}{4} = 28 \cdot \frac{4}{7} = 4 \cdot 4 = 16$
Таким образом, первый член геометрической прогрессии равен 16.
Ответ: 16
Другие задания:
Помогло решение? Оставьте отзыв в комментариях ниже.
Присоединяйтесь к Телеграм-группе @top_gdz
ПрисоединитьсяМы подготовили для вас ответ c подробным объяснением домашего задания по алгебре за 9 класс, для упражнения номер 970 расположенного на странице 257 к учебнику 2019 года издания для учащихся школ и гимназий.
Теперь на нашем сайте ГДЗ.ТОП вы всегда легко и бесплатно найдёте условие с правильным ответом на вопрос «Как решить ДЗ» и «Как сделать» задание по алгебре к упражнению №970 (с. 257), авторов: Солтан (Генадий Николаевич), Солтан (Алла Евгеньевна), Жумадилова (Аманбала Жумадиловна), учебного пособия издательства Кокшетау.