Номер 977, страница 258 - гдз по алгебре 9 класс учебник Солтан, Солтан

Авторы: Солтан Г. Н., Солтан А. Е., Жумадилова А. Ж.
Тип: Учебник
Издательство: Кокшетау
Год издания: 2019 - 2025
Цвет обложки:
ISBN: 978-601-317-424-2
Рекомендовано Министерством образования и науки Республики Казахстан
Популярные ГДЗ в 9 классе
Последовательности. Повторение курса алгебры 7-9 классов - номер 977, страница 258.
№977 (с. 258)
Условие. №977 (с. 258)
скриншот условия

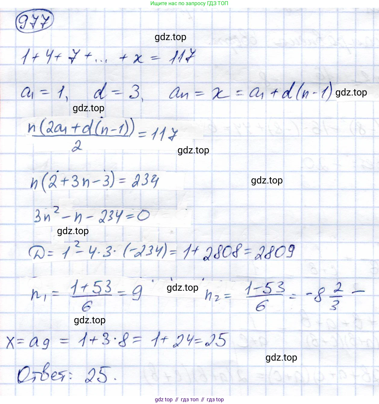
977. Решите уравнение $1 + 4 + 7 + \dots + x = 117$, если в его левой части записана сумма членов арифметической прогрессии.
Решение. №977 (с. 258)

Решение 2 (rus). №977 (с. 258)
В левой части уравнения дана сумма членов арифметической прогрессии. Для решения уравнения необходимо определить параметры этой прогрессии.
Первый член прогрессии $a_1 = 1$.
Второй член прогрессии $a_2 = 4$.
Найдем разность арифметической прогрессии $d$ как разность между последующим и предыдущим членами:
$d = a_2 - a_1 = 4 - 1 = 3$.
Неизвестное $x$ является последним, $n$-м членом прогрессии, то есть $a_n = x$. Сумма $n$ членов прогрессии $S_n = 117$.
Для нахождения $x$ воспользуемся формулами для $n$-го члена и суммы $n$ членов арифметической прогрессии:
1. Формула $n$-го члена: $a_n = a_1 + (n-1)d$.
Подставив известные значения, выразим $x$ через количество членов $n$:
$x = 1 + (n-1) \cdot 3 = 1 + 3n - 3 = 3n - 2$.
2. Формула суммы первых $n$ членов: $S_n = \frac{a_1 + a_n}{2} \cdot n$.
Подставим известные значения $S_n = 117$, $a_1 = 1$ и $a_n = x$:
$117 = \frac{1 + x}{2} \cdot n$.
Теперь подставим выражение для $x$ из первого шага в формулу суммы:
$117 = \frac{1 + (3n - 2)}{2} \cdot n$
$117 = \frac{3n - 1}{2} \cdot n$
Решим полученное уравнение относительно $n$. Умножим обе части на 2:
$234 = (3n - 1)n$
$234 = 3n^2 - n$
Приведем уравнение к стандартному квадратному виду:
$3n^2 - n - 234 = 0$.
Найдем корни этого квадратного уравнения с помощью дискриминанта $D = b^2 - 4ac$:
$D = (-1)^2 - 4 \cdot 3 \cdot (-234) = 1 + 12 \cdot 234 = 1 + 2808 = 2809$.
Корень из дискриминанта: $\sqrt{D} = \sqrt{2809} = 53$.
Теперь найдем значения $n$:
$n = \frac{-b \pm \sqrt{D}}{2a} = \frac{1 \pm 53}{2 \cdot 3} = \frac{1 \pm 53}{6}$.
Получаем два возможных корня:
$n_1 = \frac{1 + 53}{6} = \frac{54}{6} = 9$.
$n_2 = \frac{1 - 53}{6} = \frac{-52}{6} = -\frac{26}{3}$.
Поскольку $n$ обозначает количество членов в прогрессии, оно должно быть натуральным числом. Следовательно, подходит только $n = 9$.
Зная, что в сумме 9 членов, мы можем найти $x$, который является девятым членом прогрессии ($a_9$):
$x = 3n - 2 = 3 \cdot 9 - 2 = 27 - 2 = 25$.
Ответ: 25.
Другие задания:
Помогло решение? Оставьте отзыв в комментариях ниже.
Присоединяйтесь к Телеграм-группе @top_gdz
ПрисоединитьсяМы подготовили для вас ответ c подробным объяснением домашего задания по алгебре за 9 класс, для упражнения номер 977 расположенного на странице 258 к учебнику 2019 года издания для учащихся школ и гимназий.
Теперь на нашем сайте ГДЗ.ТОП вы всегда легко и бесплатно найдёте условие с правильным ответом на вопрос «Как решить ДЗ» и «Как сделать» задание по алгебре к упражнению №977 (с. 258), авторов: Солтан (Генадий Николаевич), Солтан (Алла Евгеньевна), Жумадилова (Аманбала Жумадиловна), учебного пособия издательства Кокшетау.