Номер 982, страница 259 - гдз по алгебре 9 класс учебник Солтан, Солтан

Авторы: Солтан Г. Н., Солтан А. Е., Жумадилова А. Ж.
Тип: Учебник
Издательство: Кокшетау
Год издания: 2019 - 2025
Цвет обложки:
ISBN: 978-601-317-424-2
Рекомендовано Министерством образования и науки Республики Казахстан
Популярные ГДЗ в 9 классе
Последовательности. Повторение курса алгебры 7-9 классов - номер 982, страница 259.
№982 (с. 259)
Условие. №982 (с. 259)
скриншот условия

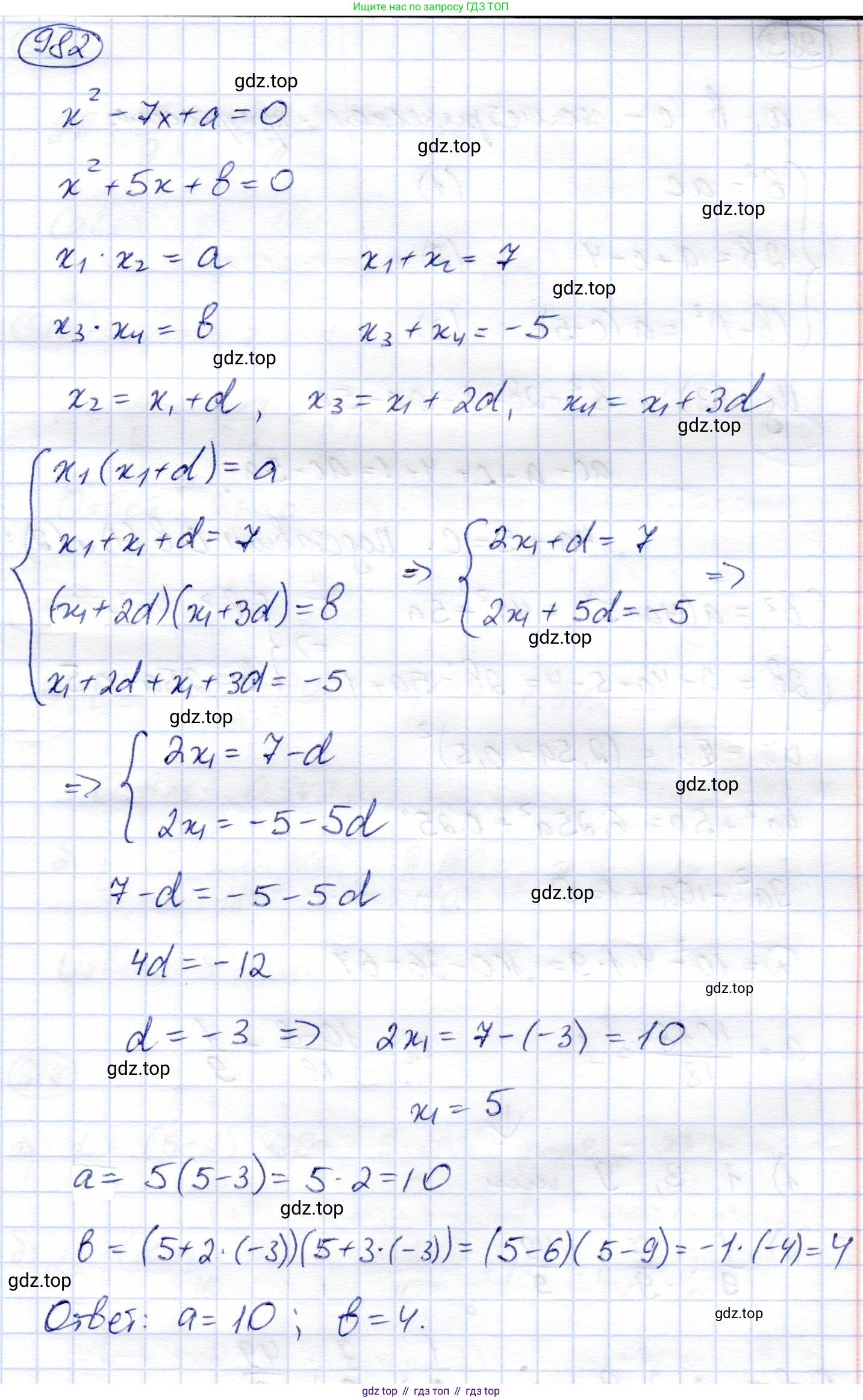
982. Известно, что $x_1$ и $x_2$ – корни уравнения $x^2 - 7x + a = 0$,
$x_3$ и $x_4$ – корни уравнения $x^2 + 5x + b = 0$, причем числа $x_1, x_2, x_3, x_4$ составляют в указанной последовательности арифметическую прогрессию. Найдите $a$ и $b$.
Решение. №982 (с. 259)

Решение 2 (rus). №982 (с. 259)
По условию, $x_1$ и $x_2$ являются корнями уравнения $x^2 - 7x + a = 0$. Согласно теореме Виета, для этого уравнения справедливы следующие соотношения:
$x_1 + x_2 = -(-7) = 7$
$x_1 \cdot x_2 = a$
Также по условию, $x_3$ и $x_4$ являются корнями уравнения $x^2 + 5x + b = 0$. Для этого уравнения по теореме Виета имеем:
$x_3 + x_4 = -5$
$x_3 \cdot x_4 = b$
Числа $x_1, x_2, x_3, x_4$ в указанной последовательности составляют арифметическую прогрессию. Обозначим первый член этой прогрессии как $c$, а её разность как $d$. Тогда члены прогрессии можно записать в виде:
$x_1 = c$
$x_2 = c + d$
$x_3 = c + 2d$
$x_4 = c + 3d$
Теперь воспользуемся соотношениями для сумм корней, подставив в них выражения для членов прогрессии:
$x_1 + x_2 = c + (c + d) = 2c + d = 7$
$x_3 + x_4 = (c + 2d) + (c + 3d) = 2c + 5d = -5$
Мы получили систему из двух линейных уравнений с двумя неизвестными $c$ и $d$:
$\begin{cases} 2c + d = 7 \\ 2c + 5d = -5 \end{cases}$
Для решения системы вычтем первое уравнение из второго:
$(2c + 5d) - (2c + d) = -5 - 7$
$4d = -12$
$d = -3$
Теперь подставим найденное значение $d$ в первое уравнение системы, чтобы найти $c$:
$2c + (-3) = 7$
$2c = 10$
$c = 5$
Зная первый член $c=5$ и разность $d=-3$, мы можем найти все корни:
$x_1 = c = 5$
$x_2 = c + d = 5 - 3 = 2$
$x_3 = c + 2d = 5 + 2(-3) = 5 - 6 = -1$
$x_4 = c + 3d = 5 + 3(-3) = 5 - 9 = -4$
Наконец, найдем искомые значения $a$ и $b$, используя соотношения для произведений корней:
$a = x_1 \cdot x_2 = 5 \cdot 2 = 10$
$b = x_3 \cdot x_4 = (-1) \cdot (-4) = 4$
Ответ: $a=10, b=4$.
Другие задания:
Помогло решение? Оставьте отзыв в комментариях ниже.
Присоединяйтесь к Телеграм-группе @top_gdz
ПрисоединитьсяМы подготовили для вас ответ c подробным объяснением домашего задания по алгебре за 9 класс, для упражнения номер 982 расположенного на странице 259 к учебнику 2019 года издания для учащихся школ и гимназий.
Теперь на нашем сайте ГДЗ.ТОП вы всегда легко и бесплатно найдёте условие с правильным ответом на вопрос «Как решить ДЗ» и «Как сделать» задание по алгебре к упражнению №982 (с. 259), авторов: Солтан (Генадий Николаевич), Солтан (Алла Евгеньевна), Жумадилова (Аманбала Жумадиловна), учебного пособия издательства Кокшетау.