Номер 983, страница 259 - гдз по алгебре 9 класс учебник Солтан, Солтан

Авторы: Солтан Г. Н., Солтан А. Е., Жумадилова А. Ж.
Тип: Учебник
Издательство: Кокшетау
Год издания: 2019 - 2025
Цвет обложки:
ISBN: 978-601-317-424-2
Рекомендовано Министерством образования и науки Республики Казахстан
Популярные ГДЗ в 9 классе
Последовательности. Повторение курса алгебры 7-9 классов - номер 983, страница 259.
№983 (с. 259)
Условие. №983 (с. 259)
скриншот условия

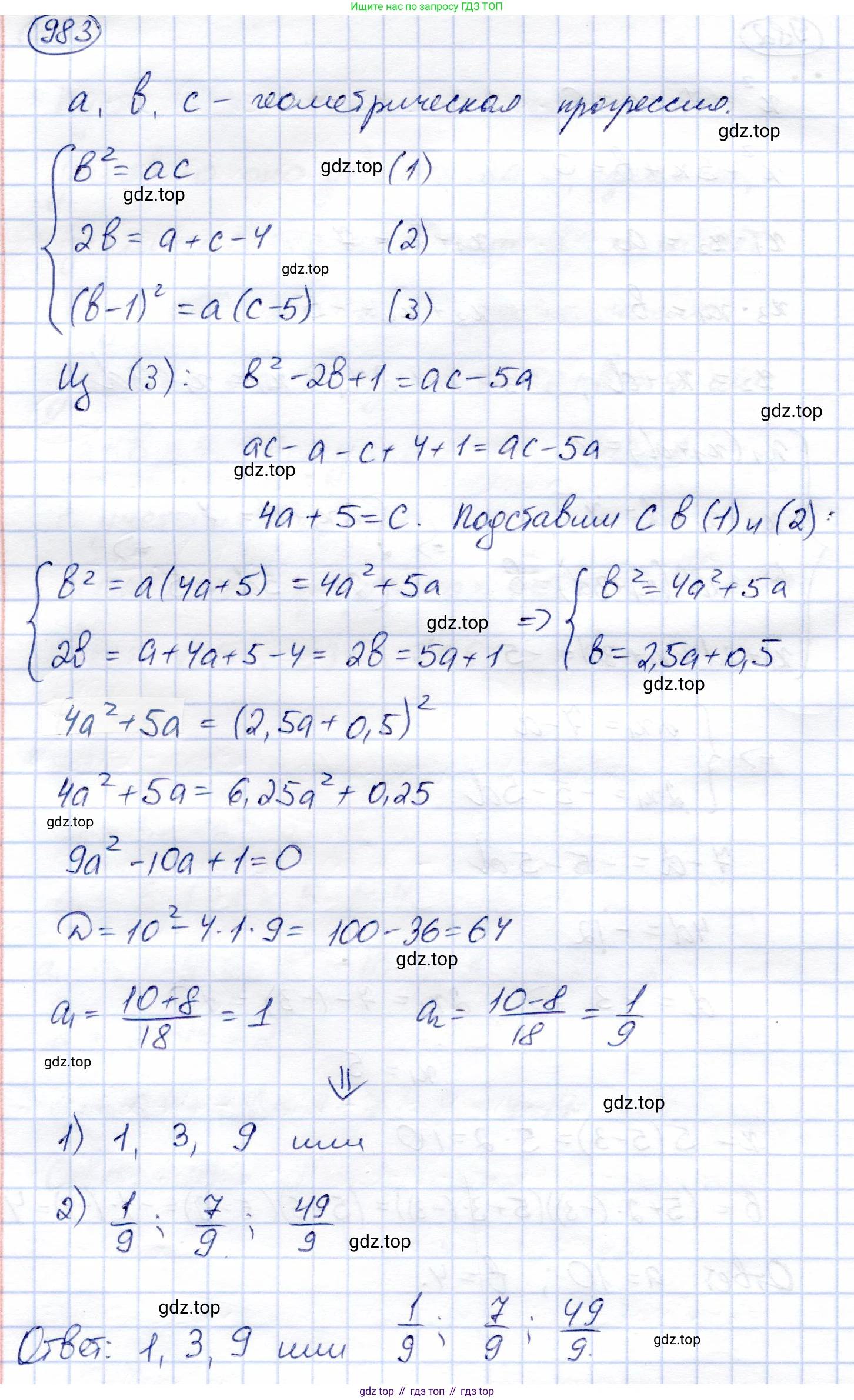
983. Три числа составляют геометрическую прогрессию. Если из третьего числа вычесть 4, то числа составят арифметическую прогрессию. Если же из второго и третьего членов полученной арифметической прогрессии вычесть по 1, то снова получится геометрическая прогрессия. Найдите исходные числа.
Решение. №983 (с. 259)

Решение 2 (rus). №983 (с. 259)
Пусть искомые три числа, составляющие геометрическую прогрессию, это $b_1$, $b_2$, $b_3$. Обозначим первый член прогрессии как $b$, а знаменатель как $q$. Тогда эти числа можно записать в виде: $b$, $bq$, $bq^2$.
Согласно первому условию, если из третьего числа вычесть 4, то полученные числа $b$, $bq$, $bq^2 - 4$ составят арифметическую прогрессию. По свойству арифметической прогрессии, каждый ее член (кроме первого) является средним арифметическим соседних с ним членов. Для второго члена это означает:
$bq = \frac{b + (bq^2 - 4)}{2}$
Умножим обе части на 2 и преобразуем уравнение:
$2bq = b + bq^2 - 4$
$bq^2 - 2bq + b = 4$
Вынесем $b$ за скобки и свернем выражение по формуле квадрата разности:
$b(q^2 - 2q + 1) = 4$
$b(q-1)^2 = 4$ (1)
Согласно второму условию, если из второго и третьего членов полученной арифметической прогрессии ($b$, $bq$, $bq^2 - 4$) вычесть по 1, то получится новая геометрическая прогрессия. Ее членами будут числа: $b$, $bq - 1$, $(bq^2 - 4) - 1$, то есть $b$, $bq - 1$, $bq^2 - 5$.
По свойству геометрической прогрессии, квадрат среднего члена равен произведению его соседей:
$(bq - 1)^2 = b(bq^2 - 5)$
Раскроем скобки и упростим:
$b^2q^2 - 2bq + 1 = b^2q^2 - 5b$
$-2bq + 1 = -5b$
$5b - 2bq = -1$
$b(5 - 2q) = -1$ (2)
Мы получили систему из двух уравнений с двумя неизвестными $b$ и $q$:
$ \begin{cases} b(q-1)^2 = 4 \\ b(5 - 2q) = -1 \end{cases} $
Из второго уравнения выразим $b$ (при $q \neq 2.5$): $b = \frac{-1}{5 - 2q} = \frac{1}{2q - 5}$.
Подставим это выражение для $b$ в первое уравнение (при $q \neq 1$):
$\frac{1}{2q - 5}(q-1)^2 = 4$
$(q-1)^2 = 4(2q - 5)$
$q^2 - 2q + 1 = 8q - 20$
Приведем уравнение к стандартному квадратному виду:
$q^2 - 10q + 21 = 0$
Решим это квадратное уравнение. По теореме Виета, сумма корней равна 10, а их произведение равно 21. Следовательно, корни уравнения: $q_1 = 3$ и $q_2 = 7$.
Теперь найдем соответствующие значения $b$ и искомые числа для каждого из найденных корней $q$.
Случай 1: $q = 3$.
Подставим это значение в выражение для $b$: $b = \frac{1}{2(3) - 5} = \frac{1}{1} = 1$.
Тогда исходные числа:
$b_1 = b = 1$
$b_2 = bq = 1 \cdot 3 = 3$
$b_3 = bq^2 = 1 \cdot 3^2 = 9$
Получаем первую тройку чисел: 1, 3, 9.
Случай 2: $q = 7$.
Подставим это значение в выражение для $b$: $b = \frac{1}{2(7) - 5} = \frac{1}{14 - 5} = \frac{1}{9}$.
Тогда исходные числа:
$b_1 = b = \frac{1}{9}$
$b_2 = bq = \frac{1}{9} \cdot 7 = \frac{7}{9}$
$b_3 = bq^2 = \frac{1}{9} \cdot 7^2 = \frac{49}{9}$
Получаем вторую тройку чисел: $\frac{1}{9}, \frac{7}{9}, \frac{49}{9}$.
Таким образом, задача имеет два решения.
Ответ: 1, 3, 9 или $\frac{1}{9}, \frac{7}{9}, \frac{49}{9}$.
Другие задания:
Помогло решение? Оставьте отзыв в комментариях ниже.
Присоединяйтесь к Телеграм-группе @top_gdz
ПрисоединитьсяМы подготовили для вас ответ c подробным объяснением домашего задания по алгебре за 9 класс, для упражнения номер 983 расположенного на странице 259 к учебнику 2019 года издания для учащихся школ и гимназий.
Теперь на нашем сайте ГДЗ.ТОП вы всегда легко и бесплатно найдёте условие с правильным ответом на вопрос «Как решить ДЗ» и «Как сделать» задание по алгебре к упражнению №983 (с. 259), авторов: Солтан (Генадий Николаевич), Солтан (Алла Евгеньевна), Жумадилова (Аманбала Жумадиловна), учебного пособия издательства Кокшетау.