Номер 10, страница 295 - гдз по алгебре 9 класс учебник Солтан, Солтан

Авторы: Солтан Г. Н., Солтан А. Е., Жумадилова А. Ж.
Тип: Учебник
Издательство: Кокшетау
Год издания: 2019 - 2025
Цвет обложки:
ISBN: 978-601-317-424-2
Рекомендовано Министерством образования и науки Республики Казахстан
Популярные ГДЗ в 9 классе
I. Уравнения, неравенства с двумя переменными и их системы. Тренировочные упражнения - номер 10, страница 295.
№10 (с. 295)
Условие. №10 (с. 295)
скриншот условия

10. Решите уравнение:
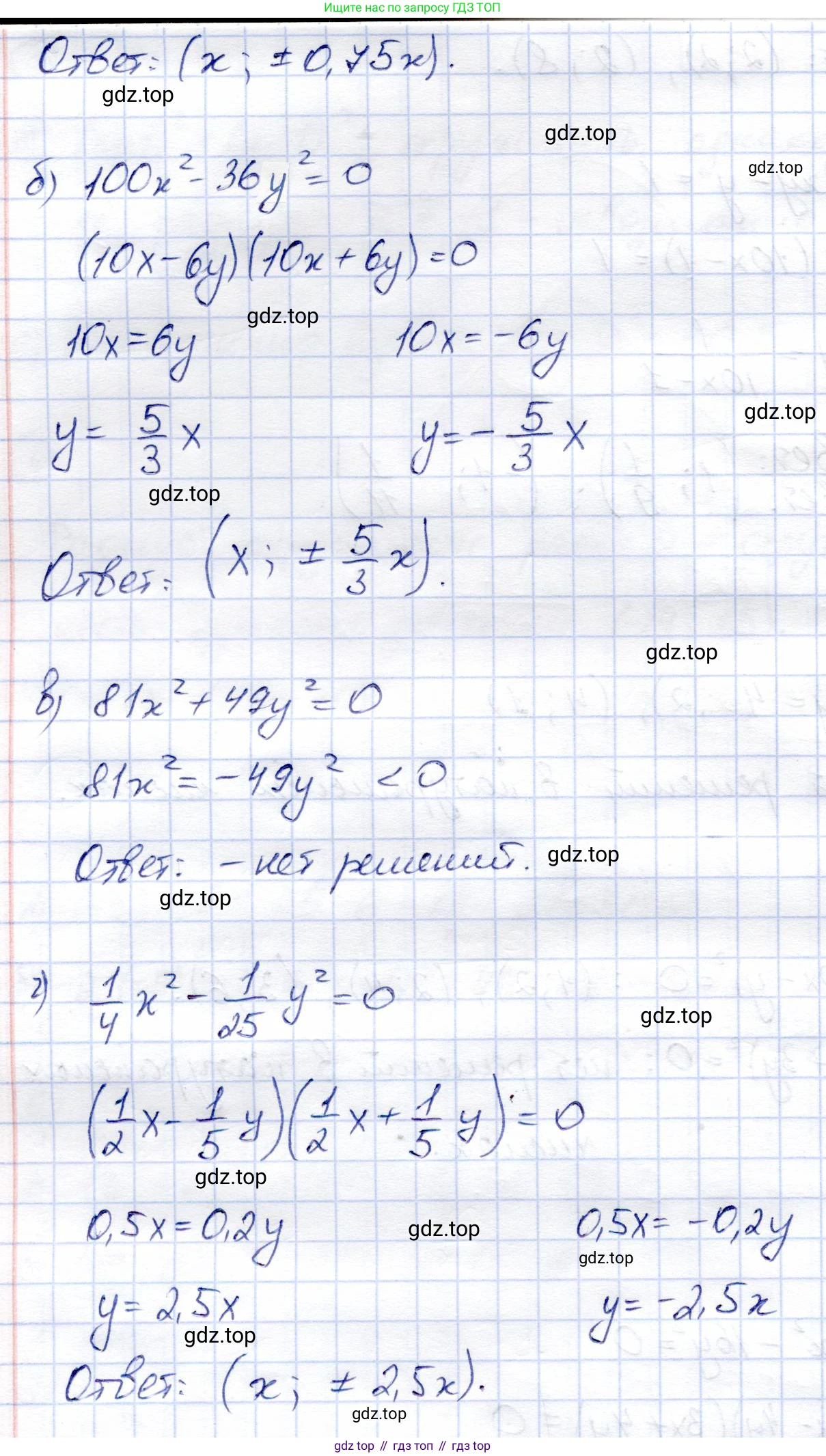
a) $9x^2 - 16y^2 = 0;$
б) $100x^2 - 36y^2 = 0;$
в) $81x^2 + 49y^2 = 0;$
г) $\frac{1}{4}x^2 - \frac{1}{25}y^2 = 0.$
Решение. №10 (с. 295)


Решение 2 (rus). №10 (с. 295)
а) Уравнение $9x^2 - 16y^2 = 0$ представляет собой разность квадратов. Его можно переписать в виде $(3x)^2 - (4y)^2 = 0$. Применив формулу разности квадратов $a^2 - b^2 = (a-b)(a+b)$, получим $(3x - 4y)(3x + 4y) = 0$. Произведение двух множителей равно нулю тогда и только тогда, когда хотя бы один из них равен нулю. Это приводит к двум возможным случаям:
1) $3x - 4y = 0 \implies 3x = 4y \implies y = \frac{3}{4}x$.
2) $3x + 4y = 0 \implies 3x = -4y \implies y = -\frac{3}{4}x$.
Объединяя эти два решения, получаем ответ.
Ответ: $y = \pm\frac{3}{4}x$.
б) Уравнение $100x^2 - 36y^2 = 0$. Для упрощения разделим обе части уравнения на общий делитель 4: $25x^2 - 9y^2 = 0$. Это также разность квадратов: $(5x)^2 - (3y)^2 = 0$. Разложим на множители: $(5x - 3y)(5x + 3y) = 0$. Отсюда следует, что либо $5x - 3y = 0$, либо $5x + 3y = 0$. Решая эти уравнения относительно $y$, находим:
1) $5x = 3y \implies y = \frac{5}{3}x$.
2) $5x = -3y \implies y = -\frac{5}{3}x$.
Ответ: $y = \pm\frac{5}{3}x$.
в) Уравнение $81x^2 + 49y^2 = 0$. В области действительных чисел квадрат любого числа является неотрицательной величиной, то есть $x^2 \ge 0$ и $y^2 \ge 0$. Следовательно, выражения $81x^2$ и $49y^2$ также неотрицательны. Сумма двух неотрицательных слагаемых равна нулю только в том случае, если каждое из них равно нулю. Таким образом, система уравнений должна выполняться одновременно:
$81x^2 = 0 \implies x^2 = 0 \implies x = 0$.
$49y^2 = 0 \implies y^2 = 0 \implies y = 0$.
Следовательно, уравнение имеет единственное решение.
Ответ: $x=0, y=0$.
г) Уравнение $\frac{1}{4}x^2 - \frac{1}{25}y^2 = 0$. Это уравнение является разностью квадратов: $(\frac{1}{2}x)^2 - (\frac{1}{5}y)^2 = 0$. Разложим на множители: $(\frac{1}{2}x - \frac{1}{5}y)(\frac{1}{2}x + \frac{1}{5}y) = 0$. Приравнивая каждый множитель к нулю, получаем два случая:
1) $\frac{1}{2}x - \frac{1}{5}y = 0 \implies \frac{1}{2}x = \frac{1}{5}y \implies y = \frac{5}{2}x$.
2) $\frac{1}{2}x + \frac{1}{5}y = 0 \implies \frac{1}{2}x = -\frac{1}{5}y \implies y = -\frac{5}{2}x$.
Ответ: $y = \pm\frac{5}{2}x$.
Другие задания:
Помогло решение? Оставьте отзыв в комментариях ниже.
Присоединяйтесь к Телеграм-группе @top_gdz
ПрисоединитьсяМы подготовили для вас ответ c подробным объяснением домашего задания по алгебре за 9 класс, для упражнения номер 10 расположенного на странице 295 к учебнику 2019 года издания для учащихся школ и гимназий.
Теперь на нашем сайте ГДЗ.ТОП вы всегда легко и бесплатно найдёте условие с правильным ответом на вопрос «Как решить ДЗ» и «Как сделать» задание по алгебре к упражнению №10 (с. 295), авторов: Солтан (Генадий Николаевич), Солтан (Алла Евгеньевна), Жумадилова (Аманбала Жумадиловна), учебного пособия издательства Кокшетау.