Номер 15, страница 296 - гдз по алгебре 9 класс учебник Солтан, Солтан

Авторы: Солтан Г. Н., Солтан А. Е., Жумадилова А. Ж.
Тип: Учебник
Издательство: Кокшетау
Год издания: 2019 - 2025
Цвет обложки:
ISBN: 978-601-317-424-2
Рекомендовано Министерством образования и науки Республики Казахстан
Популярные ГДЗ в 9 классе
I. Уравнения, неравенства с двумя переменными и их системы. Тренировочные упражнения - номер 15, страница 296.
№15 (с. 296)
Условие. №15 (с. 296)
скриншот условия

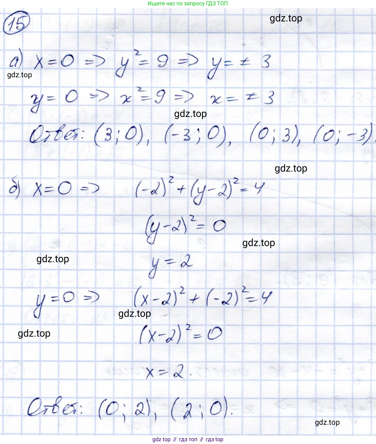
15. Не выполняя построения графика уравнения, найдите координаты точек его пересечения с осями координат:
а) $x^2 + y^2 = 9$;
б) $(x - 2)^2 + (y - 2)^2 = 4.$
Решение. №15 (с. 296)

Решение 2 (rus). №15 (с. 296)
а) Для нахождения точек пересечения графика уравнения $x^2 + y^2 = 9$ с осями координат, мы поочередно приравниваем каждую координату к нулю.
1. Пересечение с осью абсцисс (осью Ox). В любой точке на этой оси координата $y$ равна нулю. Подставим $y = 0$ в уравнение:
$x^2 + 0^2 = 9$
$x^2 = 9$
Из этого уравнения находим два значения для $x$: $x_1 = 3$ и $x_2 = -3$. Таким образом, мы получаем две точки пересечения с осью Ox: $(3; 0)$ и $(-3; 0)$.
2. Пересечение с осью ординат (осью Oy). В любой точке на этой оси координата $x$ равна нулю. Подставим $x = 0$ в уравнение:
$0^2 + y^2 = 9$
$y^2 = 9$
Из этого уравнения находим два значения для $y$: $y_1 = 3$ и $y_2 = -3$. Таким образом, мы получаем две точки пересечения с осью Oy: $(0; 3)$ и $(0; -3)$.
Ответ: точки пересечения с осью Ox: $(-3; 0)$ и $(3; 0)$; точки пересечения с осью Oy: $(0; -3)$ и $(0; 3)$.
б) Для нахождения точек пересечения графика уравнения $(x - 2)^2 + (y - 2)^2 = 4$ с осями координат, действуем аналогично.
1. Пересечение с осью абсцисс (осью Ox). Подставим $y = 0$ в уравнение:
$(x - 2)^2 + (0 - 2)^2 = 4$
$(x - 2)^2 + (-2)^2 = 4$
$(x - 2)^2 + 4 = 4$
$(x - 2)^2 = 0$
Отсюда следует, что $x - 2 = 0$, то есть $x = 2$. Мы получаем одну точку пересечения с осью Ox: $(2; 0)$.
2. Пересечение с осью ординат (осью Oy). Подставим $x = 0$ в уравнение:
$(0 - 2)^2 + (y - 2)^2 = 4$
$(-2)^2 + (y - 2)^2 = 4$
$4 + (y - 2)^2 = 4$
$(y - 2)^2 = 0$
Отсюда следует, что $y - 2 = 0$, то есть $y = 2$. Мы получаем одну точку пересечения с осью Oy: $(0; 2)$.
Ответ: точка пересечения с осью Ox: $(2; 0)$; точка пересечения с осью Oy: $(0; 2)$.
Другие задания:
Помогло решение? Оставьте отзыв в комментариях ниже.
Присоединяйтесь к Телеграм-группе @top_gdz
ПрисоединитьсяМы подготовили для вас ответ c подробным объяснением домашего задания по алгебре за 9 класс, для упражнения номер 15 расположенного на странице 296 к учебнику 2019 года издания для учащихся школ и гимназий.
Теперь на нашем сайте ГДЗ.ТОП вы всегда легко и бесплатно найдёте условие с правильным ответом на вопрос «Как решить ДЗ» и «Как сделать» задание по алгебре к упражнению №15 (с. 296), авторов: Солтан (Генадий Николаевич), Солтан (Алла Евгеньевна), Жумадилова (Аманбала Жумадиловна), учебного пособия издательства Кокшетау.