Номер 19, страница 297 - гдз по алгебре 9 класс учебник Солтан, Солтан

Авторы: Солтан Г. Н., Солтан А. Е., Жумадилова А. Ж.
Тип: Учебник
Издательство: Кокшетау
Год издания: 2019 - 2025
Цвет обложки:
ISBN: 978-601-317-424-2
Рекомендовано Министерством образования и науки Республики Казахстан
Популярные ГДЗ в 9 классе
I. Уравнения, неравенства с двумя переменными и их системы. Тренировочные упражнения - номер 19, страница 297.
№19 (с. 297)
Условие. №19 (с. 297)
скриншот условия

19. Решите систему уравнений:
a)
$\begin{cases} x + y = 9, \\ (x - 1)(y + 1) = 0; \end{cases}$
б)
$\begin{cases} x - y = 8, \\ (x + 2)(y - 4) = 0; \end{cases}$
в)
$\begin{cases} x = 10, \\ x - 5xy = 160; \end{cases}$
г)
$\begin{cases} y = 7, \\ xy + y = 42. \end{cases}$
Решение. №19 (с. 297)



Решение 2 (rus). №19 (с. 297)
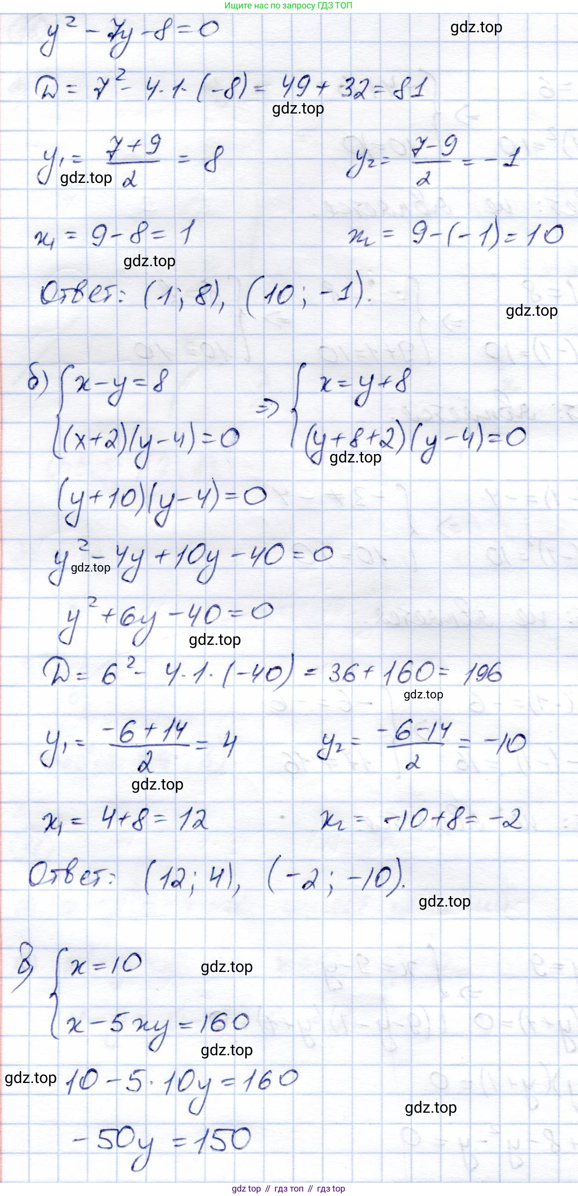
а) Дана система уравнений: $\begin{cases} x + y = 9 \\ (x-1)(y+1) = 0 \end{cases}$.
Из второго уравнения следует, что произведение равно нулю, если один из множителей равен нулю. Это означает, что либо $x-1=0$, либо $y+1=0$. Рассмотрим оба случая.
1. Если $x - 1 = 0$, то $x = 1$.
Подставим это значение в первое уравнение системы: $1 + y = 9$.
Отсюда находим $y$: $y = 9 - 1 = 8$.
Таким образом, первая пара решений — $(1; 8)$.
2. Если $y + 1 = 0$, то $y = -1$.
Подставим это значение в первое уравнение системы: $x + (-1) = 9$.
Отсюда находим $x$: $x = 9 + 1 = 10$.
Таким образом, вторая пара решений — $(10; -1)$.
Ответ: $(1; 8)$, $(10; -1)$.
б) Дана система уравнений: $\begin{cases} x - y = 8 \\ (x+2)(y-4) = 0 \end{cases}$.
Из второго уравнения следует, что либо $x+2=0$, либо $y-4=0$. Рассмотрим оба случая.
1. Если $x + 2 = 0$, то $x = -2$.
Подставим это значение в первое уравнение системы: $-2 - y = 8$.
Отсюда находим $y$: $-y = 8 + 2 \implies -y = 10 \implies y = -10$.
Таким образом, первая пара решений — $(-2; -10)$.
2. Если $y - 4 = 0$, то $y = 4$.
Подставим это значение в первое уравнение системы: $x - 4 = 8$.
Отсюда находим $x$: $x = 8 + 4 = 12$.
Таким образом, вторая пара решений — $(12; 4)$.
Ответ: $(-2; -10)$, $(12; 4)$.
в) Дана система уравнений: $\begin{cases} x = 10 \\ x - 5xy = 160 \end{cases}$.
Поскольку значение $x$ уже известно из первого уравнения, подставим $x=10$ во второе уравнение:
$10 - 5(10)y = 160$
$10 - 50y = 160$
Вычтем 10 из обеих частей уравнения:
$-50y = 160 - 10$
$-50y = 150$
Разделим обе части на -50:
$y = \frac{150}{-50} = -3$
Решение системы: $x=10, y=-3$.
Ответ: $(10; -3)$.
г) Дана система уравнений: $\begin{cases} y = 7 \\ xy + y = 42 \end{cases}$.
Поскольку значение $y$ уже известно из первого уравнения, подставим $y=7$ во второе уравнение:
$x(7) + 7 = 42$
$7x + 7 = 42$
Вычтем 7 из обеих частей уравнения:
$7x = 42 - 7$
$7x = 35$
Разделим обе части на 7:
$x = \frac{35}{7} = 5$
Решение системы: $x=5, y=7$.
Ответ: $(5; 7)$.
Другие задания:
Помогло решение? Оставьте отзыв в комментариях ниже.
Присоединяйтесь к Телеграм-группе @top_gdz
ПрисоединитьсяМы подготовили для вас ответ c подробным объяснением домашего задания по алгебре за 9 класс, для упражнения номер 19 расположенного на странице 297 к учебнику 2019 года издания для учащихся школ и гимназий.
Теперь на нашем сайте ГДЗ.ТОП вы всегда легко и бесплатно найдёте условие с правильным ответом на вопрос «Как решить ДЗ» и «Как сделать» задание по алгебре к упражнению №19 (с. 297), авторов: Солтан (Генадий Николаевич), Солтан (Алла Евгеньевна), Жумадилова (Аманбала Жумадиловна), учебного пособия издательства Кокшетау.