Номер 140, страница 312 - гдз по алгебре 9 класс учебник Солтан, Солтан

Авторы: Солтан Г. Н., Солтан А. Е., Жумадилова А. Ж.
Тип: Учебник
Издательство: Кокшетау
Год издания: 2019 - 2025
Цвет обложки:
ISBN: 978-601-317-424-2
Рекомендовано Министерством образования и науки Республики Казахстан
Популярные ГДЗ в 9 классе
IV. Тригонометрия. Тренировочные упражнения - номер 140, страница 312.
№140 (с. 312)
Условие. №140 (с. 312)
скриншот условия

140. Найдите значения остальных тригонометрических функций, если известно, что:
a) $ \cos x = \frac{3}{5} $ и $ \frac{3\pi}{2} < x < 2\pi; $
б) $ \operatorname{tg} x = 2 $ и $ \pi < x < \frac{3\pi}{2}; $
в) $ \sin x = -\frac{2\sqrt{2}}{3} $ и $ \frac{3\pi}{2} < x < 2\pi; $
г) $ \operatorname{ctg} x = -\frac{3}{4} $ и $ \frac{\pi}{2} < x < \pi. $
Решение. №140 (с. 312)


Решение 2 (rus). №140 (с. 312)
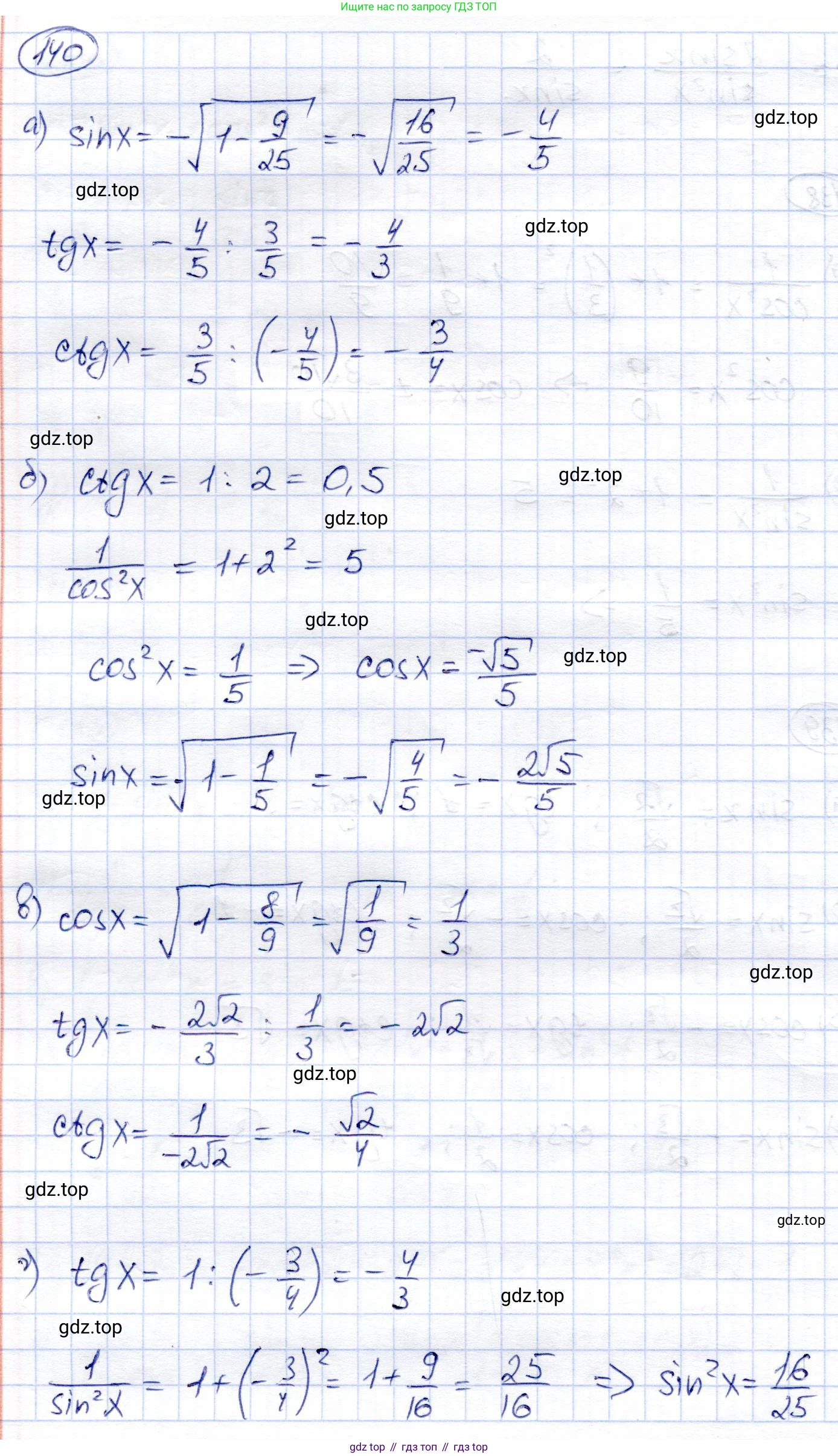
а) Дано: $ \cos x = \frac{3}{5} $ и $ \frac{3\pi}{2} < x < 2\pi $.
Угол $x$ находится в IV четверти, где синус, тангенс и котангенс отрицательны, а косинус положителен.
1. Найдем $ \sin x $ из основного тригонометрического тождества $ \sin^2 x + \cos^2 x = 1 $.
$ \sin^2 x = 1 - \cos^2 x = 1 - (\frac{3}{5})^2 = 1 - \frac{9}{25} = \frac{16}{25} $.
Так как $x$ в IV четверти, $ \sin x < 0 $, поэтому $ \sin x = -\sqrt{\frac{16}{25}} = -\frac{4}{5} $.
2. Найдем $ \tan x $ по формуле $ \tan x = \frac{\sin x}{\cos x} $.
$ \tan x = \frac{-4/5}{3/5} = -\frac{4}{3} $.
3. Найдем $ \cot x $ по формуле $ \cot x = \frac{1}{\tan x} $.
$ \cot x = \frac{1}{-4/3} = -\frac{3}{4} $.
Ответ: $ \sin x = -\frac{4}{5} $, $ \tan x = -\frac{4}{3} $, $ \cot x = -\frac{3}{4} $.
б) Дано: $ \tan x = 2 $ и $ \pi < x < \frac{3\pi}{2} $.
Угол $x$ находится в III четверти, где синус и косинус отрицательны, а тангенс и котангенс положительны.
1. Найдем $ \cot x $ по формуле $ \cot x = \frac{1}{\tan x} $.
$ \cot x = \frac{1}{2} $.
2. Найдем $ \cos x $ из тождества $ 1 + \tan^2 x = \frac{1}{\cos^2 x} $.
$ \cos^2 x = \frac{1}{1 + \tan^2 x} = \frac{1}{1 + 2^2} = \frac{1}{5} $.
Так как $x$ в III четверти, $ \cos x < 0 $, поэтому $ \cos x = -\sqrt{\frac{1}{5}} = -\frac{1}{\sqrt{5}} = -\frac{\sqrt{5}}{5} $.
3. Найдем $ \sin x $ из формулы $ \sin x = \tan x \cdot \cos x $.
$ \sin x = 2 \cdot (-\frac{\sqrt{5}}{5}) = -\frac{2\sqrt{5}}{5} $.
Ответ: $ \sin x = -\frac{2\sqrt{5}}{5} $, $ \cos x = -\frac{\sqrt{5}}{5} $, $ \cot x = \frac{1}{2} $.
в) Дано: $ \sin x = -\frac{2\sqrt{2}}{3} $ и $ \frac{3\pi}{2} < x < 2\pi $.
Угол $x$ находится в IV четверти, где косинус положителен, а синус, тангенс и котангенс отрицательны.
1. Найдем $ \cos x $ из основного тригонометрического тождества $ \sin^2 x + \cos^2 x = 1 $.
$ \cos^2 x = 1 - \sin^2 x = 1 - (-\frac{2\sqrt{2}}{3})^2 = 1 - \frac{8}{9} = \frac{1}{9} $.
Так как $x$ в IV четверти, $ \cos x > 0 $, поэтому $ \cos x = \sqrt{\frac{1}{9}} = \frac{1}{3} $.
2. Найдем $ \tan x $ по формуле $ \tan x = \frac{\sin x}{\cos x} $.
$ \tan x = \frac{-2\sqrt{2}/3}{1/3} = -2\sqrt{2} $.
3. Найдем $ \cot x $ по формуле $ \cot x = \frac{1}{\tan x} $.
$ \cot x = \frac{1}{-2\sqrt{2}} = -\frac{\sqrt{2}}{4} $.
Ответ: $ \cos x = \frac{1}{3} $, $ \tan x = -2\sqrt{2} $, $ \cot x = -\frac{\sqrt{2}}{4} $.
г) Дано: $ \cot x = -\frac{3}{4} $ и $ \frac{\pi}{2} < x < \pi $.
Угол $x$ находится во II четверти, где синус положителен, а косинус, тангенс и котангенс отрицательны.
1. Найдем $ \tan x $ по формуле $ \tan x = \frac{1}{\cot x} $.
$ \tan x = \frac{1}{-3/4} = -\frac{4}{3} $.
2. Найдем $ \sin x $ из тождества $ 1 + \cot^2 x = \frac{1}{\sin^2 x} $.
$ \sin^2 x = \frac{1}{1 + \cot^2 x} = \frac{1}{1 + (-\frac{3}{4})^2} = \frac{1}{1 + \frac{9}{16}} = \frac{1}{\frac{25}{16}} = \frac{16}{25} $.
Так как $x$ во II четверти, $ \sin x > 0 $, поэтому $ \sin x = \sqrt{\frac{16}{25}} = \frac{4}{5} $.
3. Найдем $ \cos x $ из формулы $ \cos x = \cot x \cdot \sin x $.
$ \cos x = (-\frac{3}{4}) \cdot \frac{4}{5} = -\frac{3}{5} $.
Ответ: $ \sin x = \frac{4}{5} $, $ \cos x = -\frac{3}{5} $, $ \tan x = -\frac{4}{3} $.
Другие задания:
Помогло решение? Оставьте отзыв в комментариях ниже.
Присоединяйтесь к Телеграм-группе @top_gdz
ПрисоединитьсяМы подготовили для вас ответ c подробным объяснением домашего задания по алгебре за 9 класс, для упражнения номер 140 расположенного на странице 312 к учебнику 2019 года издания для учащихся школ и гимназий.
Теперь на нашем сайте ГДЗ.ТОП вы всегда легко и бесплатно найдёте условие с правильным ответом на вопрос «Как решить ДЗ» и «Как сделать» задание по алгебре к упражнению №140 (с. 312), авторов: Солтан (Генадий Николаевич), Солтан (Алла Евгеньевна), Жумадилова (Аманбала Жумадиловна), учебного пособия издательства Кокшетау.