Номер 148, страница 313 - гдз по алгебре 9 класс учебник Солтан, Солтан

Авторы: Солтан Г. Н., Солтан А. Е., Жумадилова А. Ж.
Тип: Учебник
Издательство: Кокшетау
Год издания: 2019 - 2025
Цвет обложки:
ISBN: 978-601-317-424-2
Рекомендовано Министерством образования и науки Республики Казахстан
Популярные ГДЗ в 9 классе
IV. Тригонометрия. Тренировочные упражнения - номер 148, страница 313.
№148 (с. 313)
Условие. №148 (с. 313)
скриншот условия

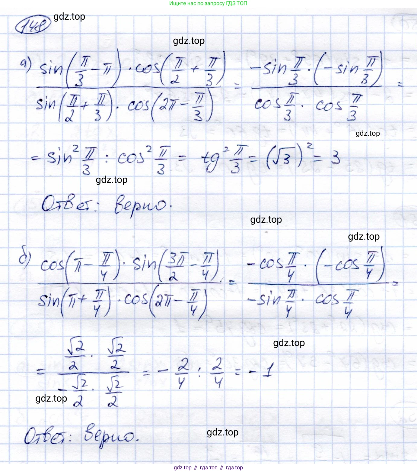
148. Верно ли равенство:
а) $\frac{\sin\left(\frac{\pi}{3} - \pi\right) \cdot \cos\left(\frac{\pi}{2} + \frac{\pi}{3}\right)}{\sin\left(\frac{\pi}{2} + \frac{\pi}{3}\right) \cdot \cos\left(2\pi - \frac{\pi}{3}\right)} = 3;$
б) $\frac{\cos\left(\pi - \frac{\pi}{4}\right) \cdot \sin\left(\frac{3\pi}{2} - \frac{\pi}{4}\right)}{\sin\left(\pi + \frac{\pi}{4}\right) \cdot \cos\left(2\pi - \frac{\pi}{4}\right)} = -1? $
Решение. №148 (с. 313)

Решение 2 (rus). №148 (с. 313)
а) Проверим верность равенства $ \frac{\sin(\frac{\pi}{3} - \pi) \cdot \cos(\frac{\pi}{2} + \frac{\pi}{3})}{\sin(\frac{\pi}{2} + \frac{\pi}{3}) \cdot \cos(2\pi - \frac{\pi}{3})} = 3 $.
Для этого упростим левую часть выражения, используя формулы приведения. Формулы приведения позволяют выразить тригонометрические функции произвольного угла через функции острого угла.
1. Преобразуем выражения в числителе дроби:
$ \sin(\frac{\pi}{3} - \pi) = \sin(-(\pi - \frac{\pi}{3})) $. Так как синус является нечетной функцией ($ \sin(-x) = -\sin(x) $), то $ \sin(-(\pi - \frac{\pi}{3})) = -\sin(\pi - \frac{\pi}{3}) $. Далее, по формуле приведения $ \sin(\pi - \alpha) = \sin(\alpha) $, получаем $ -\sin(\frac{\pi}{3}) = -\frac{\sqrt{3}}{2} $.
$ \cos(\frac{\pi}{2} + \frac{\pi}{3}) $. По формуле приведения $ \cos(\frac{\pi}{2} + \alpha) = -\sin(\alpha) $, получаем $ \cos(\frac{\pi}{2} + \frac{\pi}{3}) = -\sin(\frac{\pi}{3}) = -\frac{\sqrt{3}}{2} $.
Результат в числителе: $ (-\frac{\sqrt{3}}{2}) \cdot (-\frac{\sqrt{3}}{2}) = \frac{3}{4} $.
2. Преобразуем выражения в знаменателе дроби:
$ \sin(\frac{\pi}{2} + \frac{\pi}{3}) $. По формуле приведения $ \sin(\frac{\pi}{2} + \alpha) = \cos(\alpha) $, получаем $ \sin(\frac{\pi}{2} + \frac{\pi}{3}) = \cos(\frac{\pi}{3}) = \frac{1}{2} $.
$ \cos(2\pi - \frac{\pi}{3}) $. По формуле приведения $ \cos(2\pi - \alpha) = \cos(\alpha) $, получаем $ \cos(2\pi - \frac{\pi}{3}) = \cos(\frac{\pi}{3}) = \frac{1}{2} $.
Результат в знаменателе: $ \frac{1}{2} \cdot \frac{1}{2} = \frac{1}{4} $.
3. Вычислим значение всего выражения, разделив числитель на знаменатель:
$ \frac{3/4}{1/4} = \frac{3}{4} \cdot \frac{4}{1} = 3 $.
Левая часть равенства равна 3, что совпадает с правой частью. Таким образом, исходное равенство верно.
Ответ: да, равенство верно.
б) Проверим верность равенства $ \frac{\cos(\pi - \frac{\pi}{4}) \cdot \sin(\frac{3\pi}{2} - \frac{\pi}{4})}{\sin(\pi + \frac{\pi}{4}) \cdot \cos(2\pi - \frac{\pi}{4})} = -1 $.
Для этого также упростим левую часть выражения с помощью формул приведения.
1. Преобразуем выражения в числителе дроби:
$ \cos(\pi - \frac{\pi}{4}) $. Согласно формуле приведения $ \cos(\pi - \alpha) = -\cos(\alpha) $, получаем $ -\cos(\frac{\pi}{4}) = -\frac{\sqrt{2}}{2} $.
$ \sin(\frac{3\pi}{2} - \frac{\pi}{4}) $. Согласно формуле приведения $ \sin(\frac{3\pi}{2} - \alpha) = -\cos(\alpha) $, получаем $ -\cos(\frac{\pi}{4}) = -\frac{\sqrt{2}}{2} $.
Результат в числителе: $ (-\frac{\sqrt{2}}{2}) \cdot (-\frac{\sqrt{2}}{2}) = \frac{2}{4} = \frac{1}{2} $.
2. Преобразуем выражения в знаменателе дроби:
$ \sin(\pi + \frac{\pi}{4}) $. Согласно формуле приведения $ \sin(\pi + \alpha) = -\sin(\alpha) $, получаем $ -\sin(\frac{\pi}{4}) = -\frac{\sqrt{2}}{2} $.
$ \cos(2\pi - \frac{\pi}{4}) $. Согласно формуле приведения $ \cos(2\pi - \alpha) = \cos(\alpha) $, получаем $ \cos(\frac{\pi}{4}) = \frac{\sqrt{2}}{2} $.
Результат в знаменателе: $ (-\frac{\sqrt{2}}{2}) \cdot (\frac{\sqrt{2}}{2}) = -\frac{2}{4} = -\frac{1}{2} $.
3. Вычислим значение всего выражения, разделив числитель на знаменатель:
$ \frac{1/2}{-1/2} = -1 $.
Левая часть равенства равна -1, что совпадает с правой частью. Таким образом, исходное равенство верно.
Ответ: да, равенство верно.
Другие задания:
Помогло решение? Оставьте отзыв в комментариях ниже.
Присоединяйтесь к Телеграм-группе @top_gdz
ПрисоединитьсяМы подготовили для вас ответ c подробным объяснением домашего задания по алгебре за 9 класс, для упражнения номер 148 расположенного на странице 313 к учебнику 2019 года издания для учащихся школ и гимназий.
Теперь на нашем сайте ГДЗ.ТОП вы всегда легко и бесплатно найдёте условие с правильным ответом на вопрос «Как решить ДЗ» и «Как сделать» задание по алгебре к упражнению №148 (с. 313), авторов: Солтан (Генадий Николаевич), Солтан (Алла Евгеньевна), Жумадилова (Аманбала Жумадиловна), учебного пособия издательства Кокшетау.