Номер 163, страница 315 - гдз по алгебре 9 класс учебник Солтан, Солтан

Авторы: Солтан Г. Н., Солтан А. Е., Жумадилова А. Ж.
Тип: Учебник
Издательство: Кокшетау
Год издания: 2019 - 2025
Цвет обложки:
ISBN: 978-601-317-424-2
Рекомендовано Министерством образования и науки Республики Казахстан
Популярные ГДЗ в 9 классе
IV. Тригонометрия. Тренировочные упражнения - номер 163, страница 315.
№163 (с. 315)
Условие. №163 (с. 315)
скриншот условия

163. Вычислите:
a) $\sin 75^\circ - \sin 15^\circ - \sin 45^\circ$;
б) $\cos 15^\circ - \cos 75^\circ - \cos 45^\circ$;
в) $\operatorname{tg} 75^\circ - \operatorname{tg} 15^\circ + \operatorname{tg} 135^\circ$.
Решение. №163 (с. 315)


Решение 2 (rus). №163 (с. 315)
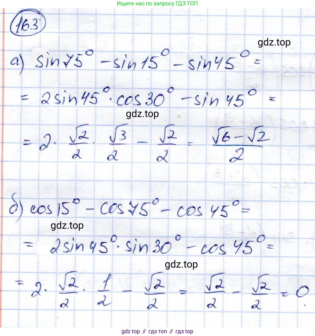
а) Для вычисления выражения $sin 75° - sin 15° - sin 45°$ воспользуемся формулой разности синусов: $sin \alpha - sin \beta = 2sin\frac{\alpha-\beta}{2}cos\frac{\alpha+\beta}{2}$. Применим ее к первым двум слагаемым: $sin 75° - sin 15° = 2sin\frac{75°-15°}{2}cos\frac{75°+15°}{2} = 2sin(30°)cos(45°)$. Зная, что $sin 30° = \frac{1}{2}$ и $cos 45° = \frac{\sqrt{2}}{2}$, получаем: $2 \cdot \frac{1}{2} \cdot \frac{\sqrt{2}}{2} = \frac{\sqrt{2}}{2}$. Теперь подставим полученный результат в исходное выражение: $(sin 75° - sin 15°) - sin 45° = \frac{\sqrt{2}}{2} - sin 45°$. Так как $sin 45° = \frac{\sqrt{2}}{2}$, итоговый результат равен: $\frac{\sqrt{2}}{2} - \frac{\sqrt{2}}{2} = 0$. Ответ: $0$.
б) Для вычисления выражения $cos 15° - cos 75° - cos 45°$ используем формулу разности косинусов: $cos \alpha - cos \beta = 2sin\frac{\alpha+\beta}{2}sin\frac{\beta-\alpha}{2}$. Применим ее к первым двум слагаемым: $cos 15° - cos 75° = 2sin\frac{15°+75°}{2}sin\frac{75°-15°}{2} = 2sin(45°)sin(30°)$. Подставим известные значения $sin 45° = \frac{\sqrt{2}}{2}$ и $sin 30° = \frac{1}{2}$: $2 \cdot \frac{\sqrt{2}}{2} \cdot \frac{1}{2} = \frac{\sqrt{2}}{2}$. Теперь подставим это в исходное выражение: $(cos 15° - cos 75°) - cos 45° = \frac{\sqrt{2}}{2} - cos 45°$. Так как $cos 45° = \frac{\sqrt{2}}{2}$, итоговый результат: $\frac{\sqrt{2}}{2} - \frac{\sqrt{2}}{2} = 0$. Ответ: $0$.
в) Рассмотрим выражение $tg 75° - tg 15° + tg 135°$. Сначала найдем значение $tg 135°$. Используя формулу приведения, $tg 135° = tg(180° - 45°) = -tg 45° = -1$. Теперь найдем значения $tg 75°$ и $tg 15°$ с помощью формул сложения и вычитания аргументов. $tg 75° = tg(45°+30°) = \frac{tg 45° + tg 30°}{1 - tg 45° tg 30°} = \frac{1 + \frac{\sqrt{3}}{3}}{1 - 1 \cdot \frac{\sqrt{3}}{3}} = \frac{\frac{3+\sqrt{3}}{3}}{\frac{3-\sqrt{3}}{3}} = \frac{3+\sqrt{3}}{3-\sqrt{3}} = \frac{(3+\sqrt{3})^2}{(3-\sqrt{3})(3+\sqrt{3})} = \frac{9+6\sqrt{3}+3}{9-3} = \frac{12+6\sqrt{3}}{6} = 2+\sqrt{3}$. Аналогично, $tg 15° = tg(45°-30°) = \frac{tg 45° - tg 30°}{1 + tg 45° tg 30°} = \frac{1 - \frac{\sqrt{3}}{3}}{1 + 1 \cdot \frac{\sqrt{3}}{3}} = \frac{\frac{3-\sqrt{3}}{3}}{\frac{3+\sqrt{3}}{3}} = \frac{3-\sqrt{3}}{3+\sqrt{3}} = \frac{(3-\sqrt{3})^2}{(3+\sqrt{3})(3-\sqrt{3})} = \frac{9-6\sqrt{3}+3}{9-3} = \frac{12-6\sqrt{3}}{6} = 2-\sqrt{3}$. Теперь подставим все значения в исходное выражение: $(2+\sqrt{3}) - (2-\sqrt{3}) + (-1) = 2+\sqrt{3}-2+\sqrt{3}-1 = 2\sqrt{3}-1$. Ответ: $2\sqrt{3}-1$.
Другие задания:
Помогло решение? Оставьте отзыв в комментариях ниже.
Присоединяйтесь к Телеграм-группе @top_gdz
ПрисоединитьсяМы подготовили для вас ответ c подробным объяснением домашего задания по алгебре за 9 класс, для упражнения номер 163 расположенного на странице 315 к учебнику 2019 года издания для учащихся школ и гимназий.
Теперь на нашем сайте ГДЗ.ТОП вы всегда легко и бесплатно найдёте условие с правильным ответом на вопрос «Как решить ДЗ» и «Как сделать» задание по алгебре к упражнению №163 (с. 315), авторов: Солтан (Генадий Николаевич), Солтан (Алла Евгеньевна), Жумадилова (Аманбала Жумадиловна), учебного пособия издательства Кокшетау.