Номер 73, страница 302 - гдз по алгебре 9 класс учебник Солтан, Солтан

Авторы: Солтан Г. Н., Солтан А. Е., Жумадилова А. Ж.
Тип: Учебник
Издательство: Кокшетау
Год издания: 2019 - 2025
Цвет обложки:
ISBN: 978-601-317-424-2
Рекомендовано Министерством образования и науки Республики Казахстан
Популярные ГДЗ в 9 классе
III. Последовательности. Тренировочные упражнения - номер 73, страница 302.
№73 (с. 302)
Условие. №73 (с. 302)
скриншот условия


Заполните пропуски в доказательстве утверждений методом математической индукции (№ 73–74).
73. Последовательность чисел ($a_n$) задана формулой $n$-го члена. Докажите, что сумму $n$ первых членов этой последовательности $S_n$ можно найти по формуле:
а) $a_n = 4n$ $S_n = 2n(n+1)$
б) $a_n = 2n - 1$ $S_n = n^2$
в) $a_n = 6n$ $S_n = 3n(n+1)$
Доказательство а)1) При $n = 2$ имеем: $a_1 + a_2 = \_\_\_\_\_\_\_\_\_\_\_\_\_\_\_$; $S_2 = 2 \cdot 2(2 + 1) = 12$. При $n = 2$ формула $S_n = 2n(n + 1)$ верна.
2) Допустим, что эта формула верна при $n = k$, то есть $S_k = \_\_\_\_\_\_\_\_\_\_\_\_\_\_.$
3) Докажем, что и при $n = k + 1$ верна формула суммы, то есть $S_{k+1} = 2(k + 1)(k + 2).$
Действительно, учитывая предположение, получим: $S_{k+1} = S_k + a_{k+1} = \_\_\_\_\_\_\_\_\_\_\_\_\_\_\_\_\_\_\_\_\_\_\_\_\_\_\_\_\_\_\_\_\_\_\_\_\_\_\_\_\_\_\_\_\_\_\_\_\_\_\_\_\_\_\_\_\_\_\_\_ = 2k(k + 1) + 4(k + 1) = \_\_\_\_\_\_\_\_\_\_\_\_\_\_\_\_\_\_\_\_\_\_\_\_\_.$
Следовательно, формула $S_n = 2n(n + 1)$ суммы $n$ первых членов последовательности $a_n = 4n$ верна при любом $n \in N$.
Доказательство б)1) При $n = 3$ имеем: $a_1 + a_2 + a_3 = \_\_\_\_\_\_\_\_\_\_\_\_\_\_\_\_$; $S_3 = \_\_\_\_\_\_\_\_\_\_\_\_\_\_.$ При $n = 3$ формула $S_n = n^2$ верна.
2) Допустим, что эта формула верна при $n = k$, то есть $S_k = \_\_\_\_\_\_\_\_\_\_\_\_\_\_.$
3) Докажем, что и при $n = k + 1$ верна формула суммы, то есть $S_{k+1} = (k + 1)^2.$
Действительно, учитывая предположение, получим: $S_{k+1} = S_k + a_{k+1} = \_\_\_\_\_\_\_\_\_\_\_\_\_\_\_\_\_\_\_\_\_\_\_\_\_\_\_\_\_\_\_\_\_\_\_\_\_\_\_\_\_\_\_\_\_\_\_\_\_\_\_\_\_\_\_\_\_\_\_\_\_\_\_\_\_\_\_\_\_\_\_\_\_\_\_\_\_\_.$
Следовательно, формула $S_n = n^2$ суммы $n$ первых членов последовательности $a_n = 2n - 1$ верна при любом $n \in N$.
Доказательство в)1) При $n = 2$ имеем: $a_1 + a_2 = \_\_\_\_\_\_\_\_\_\_\_\_\_\_\_$; $S_2 = \_\_\_\_\_\_\_\_\_\_\_\_\_\_.$ При $n = 2$ формула $S_n = 3n(n + 1)$ верна.
2) Допустим, что эта формула верна при $n = k$, то есть $S_k = \_\_\_\_\_\_\_\_\_\_\_\_\_\_.$
3) Докажем, что и при $n = k + 1$ верна формула суммы, то есть $S_{k+1} = 3(k + 1)(k + 2).$
Действительно, учитывая предположение, получим: $S_{k+1} = S_k + a_{k+1} = \_\_\_\_\_\_\_\_\_\_\_\_\_\_\_\_\_\_\_\_\_\_\_\_\_\_\_\_\_\_\_\_\_\_\_\_\_\_\_\_\_\_\_\_\_\_\_\_\_\_\_\_\_\_\_\_\_\_\_\_.$
Следовательно, формула $S_n = 3n(n + 1)$ суммы $n$ первых членов последовательности $a_n = 6n$ верна при любом $n \in N$.
Решение. №73 (с. 302)

Решение 2 (rus). №73 (с. 302)
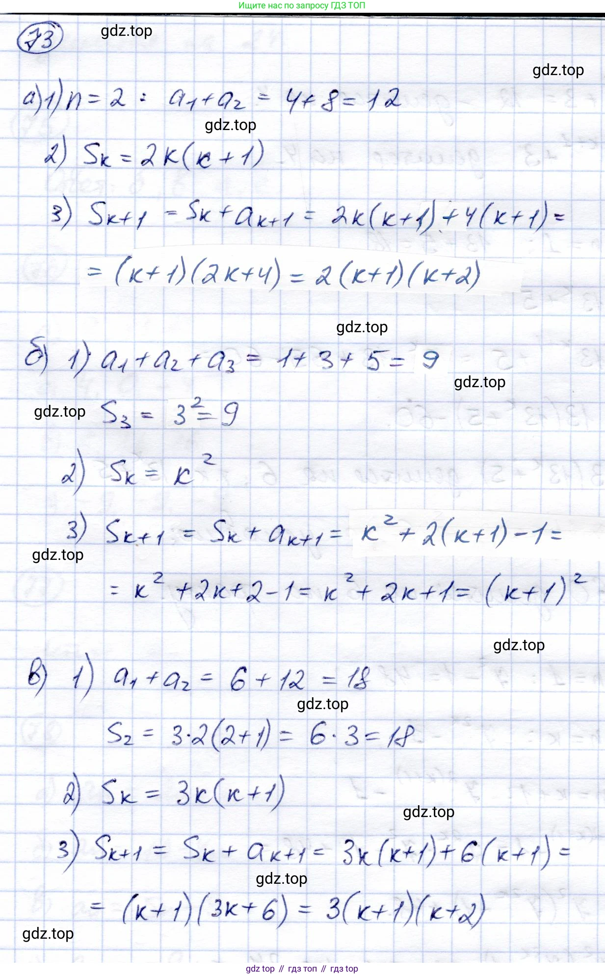
Доказательство а)
1) При $n=2$ имеем: $a_1 + a_2 = 4 \cdot 1 + 4 \cdot 2 = 12$; $S_2=2 \cdot 2(2+1)=12$. При $n=2$ формула $S_n=2n(n+1)$ верна.
2) Допустим, что эта формула верна при $n=k$, то есть $S_k=2k(k+1)$.
3) Докажем, что и при $n=k+1$ верна формула суммы, то есть $S_{k+1}=2(k+1)(k+2)$.
Действительно, учитывая предположение, получим: $S_{k+1}=S_k+a_{k+1}=2k(k+1)+4(k+1)=(k+1)(2k+4)=2(k+1)(k+2)$.
Следовательно, формула $S_n=2n(n+1)$ суммы $n$ первых членов последовательности $a_n=4n$ верна при любом $n \in N$.
Ответ: Первый пропуск: $12$. Второй пропуск: $2k(k+1)$. Третий пропуск: $2(k+1)(k+2)$.
Доказательство б)
1) При $n=3$ имеем: $a_1 + a_2 + a_3 = (2 \cdot 1 - 1) + (2 \cdot 2 - 1) + (2 \cdot 3 - 1) = 1+3+5=9$; $S_3=3^2=9$. При $n=3$ формула $S_n=n^2$ верна.
2) Допустим, что эта формула верна при $n=k$, то есть $S_k=k^2$.
3) Докажем, что и при $n=k+1$ верна формула суммы, то есть $S_{k+1}=(k+1)^2$.
Действительно, учитывая предположение, получим: $S_{k+1}=S_k+a_{k+1}=k^2+(2(k+1)-1)=k^2+2k+1=(k+1)^2$.
Следовательно, формула $S_n=n^2$ суммы $n$ первых членов последовательности $a_n=2n-1$ верна при любом $n \in N$.
Ответ: Первый пропуск: $9$. Второй пропуск: $9$. Третий пропуск: $k^2$. Четвертый пропуск: $k^2+(2(k+1)-1)=(k+1)^2$.
Доказательство в)
1) При $n=2$ имеем: $a_1 + a_2 = 6 \cdot 1 + 6 \cdot 2 = 18$; $S_2=3 \cdot 2(2+1)=18$. При $n=2$ формула $S_n=3n(n+1)$ верна.
2) Допустим, что эта формула верна при $n=k$, то есть $S_k=3k(k+1)$.
3) Докажем, что и при $n=k+1$ верна формула суммы, то есть $S_{k+1}=3(k+1)(k+2)$.
Действительно, учитывая предположение, получим: $S_{k+1}=S_k+a_{k+1}=3k(k+1)+6(k+1)=(k+1)(3k+6)=3(k+1)(k+2)$.
Следовательно, формула $S_n=3n(n+1)$ суммы $n$ первых членов последовательности $a_n=6n$ верна при любом $n \in N$.
Ответ: Первый пропуск: $18$. Второй пропуск: $18$. Третий пропуск: $3k(k+1)$. Четвертый пропуск: $3k(k+1)+6(k+1)=3(k+1)(k+2)$.
Другие задания:
Помогло решение? Оставьте отзыв в комментариях ниже.
Присоединяйтесь к Телеграм-группе @top_gdz
ПрисоединитьсяМы подготовили для вас ответ c подробным объяснением домашего задания по алгебре за 9 класс, для упражнения номер 73 расположенного на странице 302 к учебнику 2019 года издания для учащихся школ и гимназий.
Теперь на нашем сайте ГДЗ.ТОП вы всегда легко и бесплатно найдёте условие с правильным ответом на вопрос «Как решить ДЗ» и «Как сделать» задание по алгебре к упражнению №73 (с. 302), авторов: Солтан (Генадий Николаевич), Солтан (Алла Евгеньевна), Жумадилова (Аманбала Жумадиловна), учебного пособия издательства Кокшетау.