Занимательные задачи 2, страница 69 - гдз по алгебре 9 класс учебник Солтан, Солтан

Авторы: Солтан Г. Н., Солтан А. Е., Жумадилова А. Ж.
Тип: Учебник
Издательство: Кокшетау
Год издания: 2019 - 2025
Цвет обложки:
ISBN: 978-601-317-424-2
Рекомендовано Министерством образования и науки Республики Казахстан
Популярные ГДЗ в 9 классе
7. Основные понятия и правила комбинаторики. II. Элементы комбинаторики - страница 69.
Занимательные задачи 2 (с. 69)
Условие. Занимательные задачи 2 (с. 69)
скриншот условия

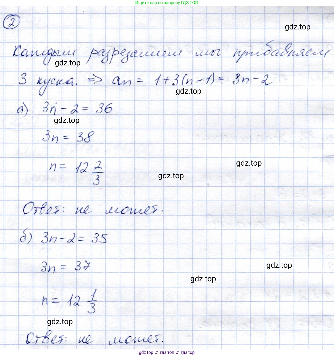
2) Кусок ткани разрезали на 4 части, затем одну из них – еще на 4 части. Одну из вновь полученных частей снова разрезали на 4 части и так далее. Могло ли получиться всех кусков: а) 36; б) 35?
Решение. Занимательные задачи 2 (с. 69)

Решение 2 (rus). Занимательные задачи 2 (с. 69)
2) Для того чтобы определить, существует ли такое значение $x$, при котором верно данное равенство, необходимо упростить обе его части и проверить, может ли оно выполняться.
Сначала преобразуем левую часть равенства: $(1 + \text{tg}^2x)^{-1}$. Используя основное тригонометрическое тождество $1 + \text{tg}^2x = \frac{1}{\cos^2x}$, которое справедливо для всех $x$, при которых $\text{tg}x$ определен ($x \neq \frac{\pi}{2} + \pi k$, где $k \in \mathbb{Z}$), получаем:
$(1 + \text{tg}^2x)^{-1} = \left(\frac{1}{\cos^2x}\right)^{-1} = \cos^2x$.
Далее преобразуем правую часть равенства: $\sqrt{2^{-4} + 2^{-3} + 2^{-2} + 2^{-1} + 2^0}$. Вычислим значение выражения под корнем, представив степени с отрицательными показателями в виде дробей:
$2^{-4} + 2^{-3} + 2^{-2} + 2^{-1} + 2^0 = \frac{1}{2^4} + \frac{1}{2^3} + \frac{1}{2^2} + \frac{1}{2} + 1 = \frac{1}{16} + \frac{1}{8} + \frac{1}{4} + \frac{1}{2} + 1$.
Приведем все слагаемые к общему знаменателю 16:
$\frac{1}{16} + \frac{2}{16} + \frac{4}{16} + \frac{8}{16} + \frac{16}{16} = \frac{1 + 2 + 4 + 8 + 16}{16} = \frac{31}{16}$.
Теперь извлечем квадратный корень:
$\sqrt{\frac{31}{16}} = \frac{\sqrt{31}}{\sqrt{16}} = \frac{\sqrt{31}}{4}$.
После упрощения обеих частей исходное равенство принимает вид:
$\cos^2x = \frac{\sqrt{31}}{4}$.
Область значений функции $y = \cos^2x$ есть отрезок $[0, 1]$, так как для любого действительного $x$ выполняется неравенство $-1 \le \cos x \le 1$, и, следовательно, $0 \le \cos^2x \le 1$.
Для того чтобы равенство имело решение, значение в правой части должно принадлежать этой области значений. Оценим значение выражения $\frac{\sqrt{31}}{4}$. Поскольку $5^2 = 25$ и $6^2 = 36$, то справедливо неравенство $5 < \sqrt{31} < 6$.
Разделим все части этого двойного неравенства на 4:
$\frac{5}{4} < \frac{\sqrt{31}}{4} < \frac{6}{4}$
$1.25 < \frac{\sqrt{31}}{4} < 1.5$
Таким образом, значение $\frac{\sqrt{31}}{4}$ больше 1. Поскольку $\cos^2x$ не может принимать значения, большие 1, уравнение $\cos^2x = \frac{\sqrt{31}}{4}$ не имеет действительных решений.
Ответ: нет, такого значения $x$ не существует.
Другие задания:
212
стр. 68213
стр. 68214
стр. 68215
стр. 68216
стр. 68217
стр. 69Занимательные задачи 1
стр. 69Занимательные задачи 2
стр. 69Занимательные задачи 3
стр. 69Занимательные задачи 4
стр. 69Занимательные задачи 5
стр. 69Вопросы
стр. 72218
стр. 72219
стр. 72220
стр. 72к содержанию
список заданийПомогло решение? Оставьте отзыв в комментариях ниже.
Присоединяйтесь к Телеграм-группе @top_gdz
ПрисоединитьсяМы подготовили для вас ответ c подробным объяснением домашего задания по алгебре за 9 класс, для упражнения Занимательные задачи 2 расположенного на странице 69 к учебнику 2019 года издания для учащихся школ и гимназий.
Теперь на нашем сайте ГДЗ.ТОП вы всегда легко и бесплатно найдёте условие с правильным ответом на вопрос «Как решить ДЗ» и «Как сделать» задание по алгебре к упражнению Занимательные задачи 2 (с. 69), авторов: Солтан (Генадий Николаевич), Солтан (Алла Евгеньевна), Жумадилова (Аманбала Жумадиловна), учебного пособия издательства Кокшетау.