Номер 236, страница 82 - гдз по алгебре 9 класс учебник Макарычев, Миндюк

Авторы: Макарычев Ю. Н., Миндюк Н. Г., Нешков К. И., Суворова С. Б.
Тип: Учебник
Издательство: Просвещение
Год издания: 2023 - 2025
Уровень обучения: базовый
Цвет обложки: белый, зелёный, фиолетовый
ISBN: 978-5-09-112135-3
Допущено Министерством просвещения Российской Федерации
Популярные ГДЗ в 9 классе
14. Дробные рациональные уравнения. Параграф 5. Уравнения с одной переменной. Глава 3. Уравнения и неравенства с одной переменной - номер 236, страница 82.
№236 (с. 82)
Условие. №236 (с. 82)
скриншот условия

236. Найдите корни уравнения:

Решение 1. №236 (с. 82)



Решение 2. №236 (с. 82)



Решение 3. №236 (с. 82)


Решение 4. №236 (с. 82)

Решение 5. №236 (с. 82)

Решение 7. №236 (с. 82)

Решение 8. №236 (с. 82)
а)
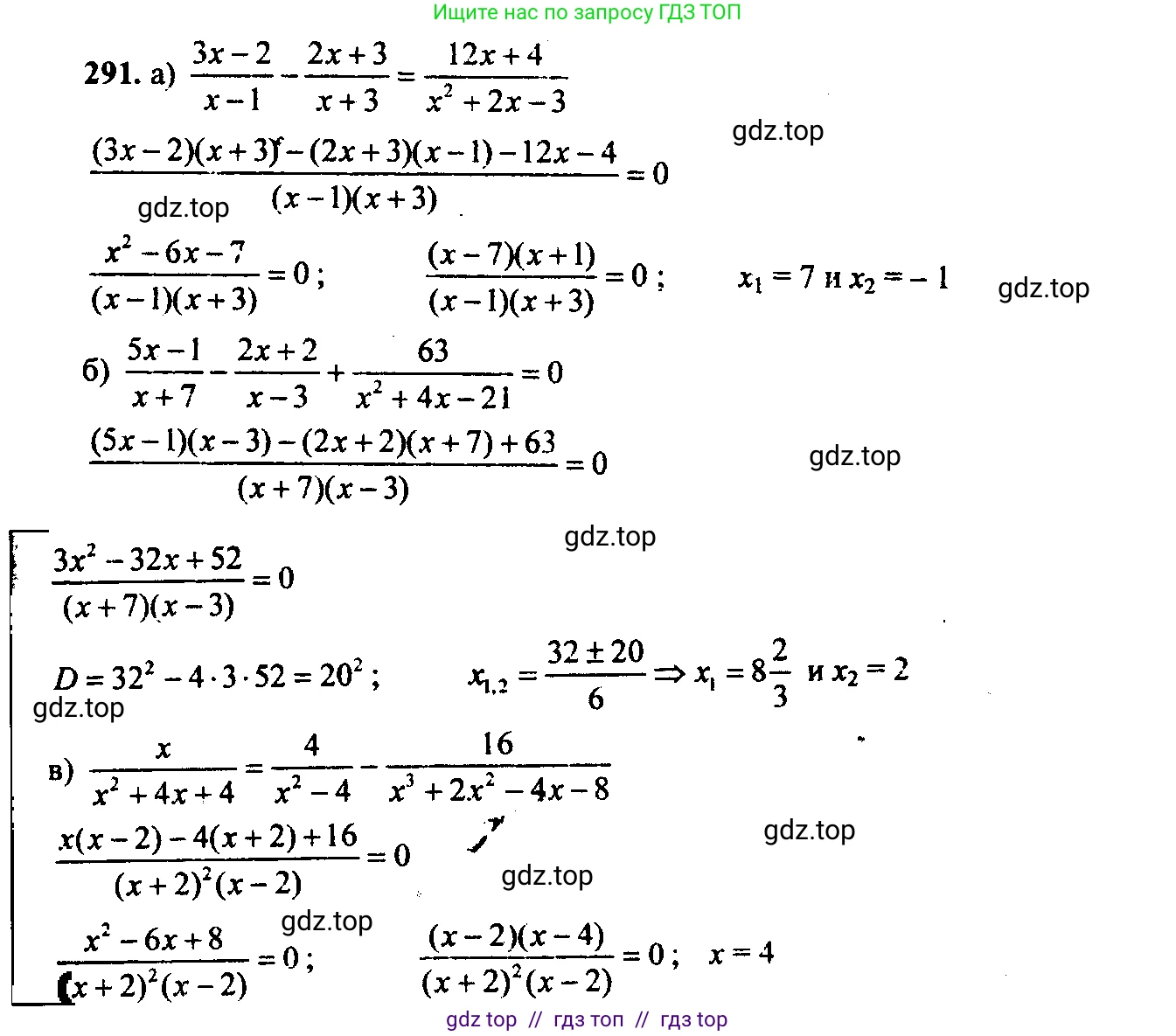
Решим уравнение $ \frac{3x - 2}{x - 1} - \frac{2x + 3}{x + 3} = \frac{12x + 4}{x^2 + 2x - 3} $.
Сначала найдем область допустимых значений (ОДЗ). Знаменатели дробей не могут быть равны нулю:
$x - 1 \neq 0 \implies x \neq 1$
$x + 3 \neq 0 \implies x \neq -3$
Разложим на множители знаменатель третьей дроби: $x^2 + 2x - 3$. Корни соответствующего квадратного уравнения $x^2 + 2x - 3 = 0$ по теореме Виета равны $1$ и $-3$. Значит, $x^2 + 2x - 3 = (x - 1)(x + 3)$.
Таким образом, ОДЗ: $x \neq 1$ и $x \neq -3$.
Общий знаменатель для всех дробей — это $(x - 1)(x + 3)$. Умножим обе части уравнения на общий знаменатель, чтобы избавиться от дробей:
$(3x - 2)(x + 3) - (2x + 3)(x - 1) = 12x + 4$
Раскроем скобки:
$(3x^2 + 9x - 2x - 6) - (2x^2 - 2x + 3x - 3) = 12x + 4$
$(3x^2 + 7x - 6) - (2x^2 + x - 3) = 12x + 4$
Приведем подобные слагаемые в левой части:
$3x^2 + 7x - 6 - 2x^2 - x + 3 = 12x + 4$
$x^2 + 6x - 3 = 12x + 4$
Перенесем все члены в левую часть и получим квадратное уравнение:
$x^2 + 6x - 12x - 3 - 4 = 0$
$x^2 - 6x - 7 = 0$
Решим это уравнение. По теореме Виета, сумма корней равна $6$, а их произведение равно $-7$. Корни:
$x_1 = 7$
$x_2 = -1$
Оба корня удовлетворяют ОДЗ ($7 \neq 1, 7 \neq -3$ и $-1 \neq 1, -1 \neq -3$).
Ответ: $-1; 7$.
б)
Решим уравнение $ \frac{5x - 1}{x + 7} - \frac{2x + 2}{x - 3} + \frac{63}{x^2 + 4x - 21} = 0 $.
Найдем ОДЗ:
$x + 7 \neq 0 \implies x \neq -7$
$x - 3 \neq 0 \implies x \neq 3$
Разложим на множители знаменатель $x^2 + 4x - 21$. Корни уравнения $x^2 + 4x - 21 = 0$ по теореме Виета равны $3$ и $-7$. Значит, $x^2 + 4x - 21 = (x - 3)(x + 7)$.
ОДЗ: $x \neq 3$ и $x \neq -7$.
Приведем все дроби к общему знаменателю $(x + 7)(x - 3)$:
$\frac{(5x - 1)(x - 3) - (2x + 2)(x + 7) + 63}{(x + 7)(x - 3)} = 0$
Уравнение равно нулю, когда числитель равен нулю, а знаменатель не равен нулю (что учтено в ОДЗ). Приравняем числитель к нулю:
$(5x - 1)(x - 3) - (2x + 2)(x + 7) + 63 = 0$
Раскроем скобки:
$(5x^2 - 15x - x + 3) - (2x^2 + 14x + 2x + 14) + 63 = 0$
$(5x^2 - 16x + 3) - (2x^2 + 16x + 14) + 63 = 0$
Приведем подобные слагаемые:
$5x^2 - 16x + 3 - 2x^2 - 16x - 14 + 63 = 0$
$3x^2 - 32x + 52 = 0$
Решим полученное квадратное уравнение через дискриминант:
$D = b^2 - 4ac = (-32)^2 - 4 \cdot 3 \cdot 52 = 1024 - 624 = 400 = 20^2$
$x_{1,2} = \frac{-b \pm \sqrt{D}}{2a} = \frac{32 \pm 20}{2 \cdot 3} = \frac{32 \pm 20}{6}$
$x_1 = \frac{32 + 20}{6} = \frac{52}{6} = \frac{26}{3} = 8\frac{2}{3}$
$x_2 = \frac{32 - 20}{6} = \frac{12}{6} = 2$
Оба корня удовлетворяют ОДЗ ($8\frac{2}{3} \neq 3, 8\frac{2}{3} \neq -7$ и $2 \neq 3, 2 \neq -7$).
Ответ: $2; 8\frac{2}{3}$.
в)
Решим уравнение $ \frac{x}{x^2 + 4x + 4} = \frac{4}{x^2 - 4} - \frac{16}{x^3 + 2x^2 - 4x - 8} $.
Разложим знаменатели на множители, чтобы найти ОДЗ и общий знаменатель:
$x^2 + 4x + 4 = (x + 2)^2$
$x^2 - 4 = (x - 2)(x + 2)$
$x^3 + 2x^2 - 4x - 8 = x^2(x + 2) - 4(x + 2) = (x^2 - 4)(x + 2) = (x - 2)(x + 2)(x + 2) = (x - 2)(x + 2)^2$
Из разложения знаменателей следует, что $x \neq -2$ и $x \neq 2$. Это и есть ОДЗ.
Перепишем уравнение с разложенными знаменателями:
$\frac{x}{(x + 2)^2} = \frac{4}{(x - 2)(x + 2)} - \frac{16}{(x - 2)(x + 2)^2}$
Общий знаменатель — $(x - 2)(x + 2)^2$. Умножим обе части уравнения на него:
$x(x - 2) = 4(x + 2) - 16$
Раскроем скобки и упростим:
$x^2 - 2x = 4x + 8 - 16$
$x^2 - 2x = 4x - 8$
Перенесем все члены в левую часть:
$x^2 - 2x - 4x + 8 = 0$
$x^2 - 6x + 8 = 0$
Решим квадратное уравнение. По теореме Виета, сумма корней равна $6$, а произведение равно $8$. Корни:
$x_1 = 4$
$x_2 = 2$
Проверим корни по ОДЗ ($x \neq -2, x \neq 2$):
$x_1 = 4$ — удовлетворяет ОДЗ.
$x_2 = 2$ — не удовлетворяет ОДЗ, так как при $x=2$ знаменатели $x^2-4$ и $x^3+2x^2-4x-8$ обращаются в ноль. Этот корень является посторонним.
Таким образом, уравнение имеет только один корень.
Ответ: $4$.
Другие задания:
Помогло решение? Оставьте отзыв в комментариях ниже.
Присоединяйтесь к Телеграм-группе @top_gdz
ПрисоединитьсяМы подготовили для вас ответ c подробным объяснением домашего задания по алгебре за 9 класс, для упражнения номер 236 расположенного на странице 82 к учебнику 2023 года издания для учащихся школ и гимназий.
Теперь на нашем сайте ГДЗ.ТОП вы всегда легко и бесплатно найдёте условие с правильным ответом на вопрос «Как решить ДЗ» и «Как сделать» задание по алгебре к упражнению №236 (с. 82), авторов: Макарычев (Юрий Николаевич), Миндюк (Нора Григорьевна), Нешков (Константин Иванович), Суворова (Светлана Борисовна), ФГОС (новый, красный) базовый уровень обучения учебного пособия издательства Просвещение.