Номер 242, страница 83 - гдз по алгебре 9 класс учебник Макарычев, Миндюк

Авторы: Макарычев Ю. Н., Миндюк Н. Г., Нешков К. И., Суворова С. Б.
Тип: Учебник
Издательство: Просвещение
Год издания: 2023 - 2025
Уровень обучения: базовый
Цвет обложки: белый, зелёный, фиолетовый
ISBN: 978-5-09-112135-3
Допущено Министерством просвещения Российской Федерации
Популярные ГДЗ в 9 классе
14. Дробные рациональные уравнения. Параграф 5. Уравнения с одной переменной. Глава 3. Уравнения и неравенства с одной переменной - номер 242, страница 83.
№242 (с. 83)
Условие. №242 (с. 83)
скриншот условия


242. (Для работы в парах.) Решите уравнение, используя введение новой переменной:

1) Выполните совместно задание а).
2) Распределите, кто выполняет задание б), а кто — задание в), и выполните их.
3) Проверьте друг у друга, правильно ли решены уравнения, и исправьте ошибки, если они допущены.
Решение 1. №242 (с. 83)



Решение 2. №242 (с. 83)



Решение 3. №242 (с. 83)



Решение 4. №242 (с. 83)

Решение 5. №242 (с. 83)

Решение 7. №242 (с. 83)


Решение 8. №242 (с. 83)
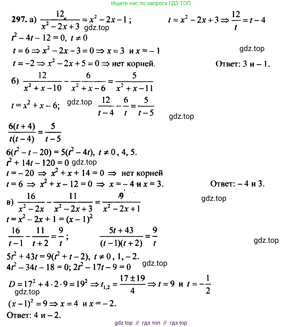
a) $\frac{12}{x^2 - 2x + 3} = x^2 - 2x - 1$
Заметим, что в уравнении повторяется выражение $x^2 - 2x$. Введем новую переменную: пусть $t = x^2 - 2x$.
Тогда исходное уравнение можно переписать в виде:
$\frac{12}{t + 3} = t - 1$
Область допустимых значений для $t$ определяется условием $t + 3 \neq 0$, то есть $t \neq -3$.
Решим полученное уравнение относительно $t$, умножив обе части на $(t+3)$:
$12 = (t - 1)(t + 3)$
$12 = t^2 + 3t - t - 3$
$t^2 + 2t - 15 = 0$
Это квадратное уравнение. Найдем его корни по теореме Виета:
$t_1 + t_2 = -2$
$t_1 \cdot t_2 = -15$
Отсюда $t_1 = -5$ и $t_2 = 3$. Оба корня удовлетворяют условию $t \neq -3$.
Теперь выполним обратную замену.
1) Если $t = -5$, то $x^2 - 2x = -5$.
$x^2 - 2x + 5 = 0$
Дискриминант этого уравнения $D = (-2)^2 - 4 \cdot 1 \cdot 5 = 4 - 20 = -16$. Так как $D < 0$, действительных корней нет.
2) Если $t = 3$, то $x^2 - 2x = 3$.
$x^2 - 2x - 3 = 0$
Найдем корни по теореме Виета: $x_1 + x_2 = 2$, $x_1 \cdot x_2 = -3$. Корнями являются $x_1 = -1$ и $x_2 = 3$.
Проверим область определения исходного уравнения. Знаменатель $x^2 - 2x + 3$ не должен быть равен нулю. Дискриминант этого трехчлена $D = (-2)^2 - 4 \cdot 1 \cdot 3 = -8 < 0$, поэтому $x^2 - 2x + 3 > 0$ при любых $x$. Ограничений на $x$ нет.
Ответ: $-1; 3$.
б) $\frac{12}{x^2 + x - 10} - \frac{6}{x^2 + x - 6} = \frac{5}{x^2 + x - 11}$
Введем новую переменную для повторяющегося выражения $x^2 + x$. Пусть $t = x^2 + x$.
Уравнение примет вид:
$\frac{12}{t - 10} - \frac{6}{t - 6} = \frac{5}{t - 11}$
ОДЗ для $t$: $t \neq 10$, $t \neq 6$, $t \neq 11$.
Приведем левую часть к общему знаменателю:
$\frac{12(t - 6) - 6(t - 10)}{(t - 10)(t - 6)} = \frac{5}{t - 11}$
$\frac{12t - 72 - 6t + 60}{t^2 - 16t + 60} = \frac{5}{t - 11}$
$\frac{6t - 12}{t^2 - 16t + 60} = \frac{5}{t - 11}$
Используем свойство пропорции (перекрестное умножение):
$(6t - 12)(t - 11) = 5(t^2 - 16t + 60)$
$6t^2 - 66t - 12t + 132 = 5t^2 - 80t + 300$
$6t^2 - 78t + 132 = 5t^2 - 80t + 300$
$t^2 + 2t - 168 = 0$
Решим это квадратное уравнение. Дискриминант $D = 2^2 - 4 \cdot 1 \cdot (-168) = 4 + 672 = 676 = 26^2$.
Корни уравнения: $t_1 = \frac{-2 - 26}{2} = -14$ и $t_2 = \frac{-2 + 26}{2} = 12$.
Оба корня удовлетворяют ОДЗ для $t$.
Выполним обратную замену.
1) Если $t = -14$, то $x^2 + x = -14$.
$x^2 + x + 14 = 0$
Дискриминант $D = 1^2 - 4 \cdot 1 \cdot 14 = 1 - 56 = -55 < 0$. Действительных корней нет.
2) Если $t = 12$, то $x^2 + x = 12$.
$x^2 + x - 12 = 0$
По теореме Виета: $x_1 + x_2 = -1$, $x_1 \cdot x_2 = -12$. Корнями являются $x_1 = -4$ и $x_2 = 3$.
Проверка ОДЗ исходного уравнения показывает, что при $x=-4$ и $x=3$ значение $x^2+x$ равно 12, а значит ни один из знаменателей не обращается в ноль ($12-10 \neq 0$, $12-6 \neq 0$, $12-11 \neq 0$).
Ответ: $-4; 3$.
в) $\frac{16}{x^2 - 2x} - \frac{11}{x^2 - 2x + 3} = \frac{9}{x^2 - 2x + 1}$
Пусть $t = x^2 - 2x$. Тогда уравнение можно переписать в виде:
$\frac{16}{t} - \frac{11}{t + 3} = \frac{9}{t + 1}$
ОДЗ для $t$: $t \neq 0$, $t \neq -3$, $t \neq -1$.
Приведем дроби в левой части к общему знаменателю:
$\frac{16(t + 3) - 11t}{t(t + 3)} = \frac{9}{t + 1}$
$\frac{16t + 48 - 11t}{t^2 + 3t} = \frac{9}{t + 1}$
$\frac{5t + 48}{t^2 + 3t} = \frac{9}{t + 1}$
По свойству пропорции:
$(5t + 48)(t + 1) = 9(t^2 + 3t)$
$5t^2 + 5t + 48t + 48 = 9t^2 + 27t$
$5t^2 + 53t + 48 = 9t^2 + 27t$
$4t^2 - 26t - 48 = 0$
Разделим уравнение на 2: $2t^2 - 13t - 24 = 0$.
Решим это квадратное уравнение. Дискриминант $D = (-13)^2 - 4 \cdot 2 \cdot (-24) = 169 + 192 = 361 = 19^2$.
Корни уравнения: $t_1 = \frac{13 - 19}{4} = -\frac{6}{4} = -1.5$ и $t_2 = \frac{13 + 19}{4} = \frac{32}{4} = 8$.
Оба корня удовлетворяют ОДЗ для $t$.
Выполним обратную замену.
1) Если $t = -1.5$, то $x^2 - 2x = -1.5$.
$x^2 - 2x + 1.5 = 0$
$2x^2 - 4x + 3 = 0$
Дискриминант $D = (-4)^2 - 4 \cdot 2 \cdot 3 = 16 - 24 = -8 < 0$. Действительных корней нет.
2) Если $t = 8$, то $x^2 - 2x = 8$.
$x^2 - 2x - 8 = 0$
По теореме Виета: $x_1 + x_2 = 2$, $x_1 \cdot x_2 = -8$. Корнями являются $x_1 = -2$ и $x_2 = 4$.
Проверка ОДЗ исходного уравнения показывает, что при $x=-2$ и $x=4$ значение $x^2-2x$ равно 8, а значит ни один из знаменателей не обращается в ноль ($8 \neq 0$, $8+3 \neq 0$, $8+1 \neq 0$).
Ответ: $-2; 4$.
Другие задания:
Помогло решение? Оставьте отзыв в комментариях ниже.
Присоединяйтесь к Телеграм-группе @top_gdz
ПрисоединитьсяМы подготовили для вас ответ c подробным объяснением домашего задания по алгебре за 9 класс, для упражнения номер 242 расположенного на странице 83 к учебнику 2023 года издания для учащихся школ и гимназий.
Теперь на нашем сайте ГДЗ.ТОП вы всегда легко и бесплатно найдёте условие с правильным ответом на вопрос «Как решить ДЗ» и «Как сделать» задание по алгебре к упражнению №242 (с. 83), авторов: Макарычев (Юрий Николаевич), Миндюк (Нора Григорьевна), Нешков (Константин Иванович), Суворова (Светлана Борисовна), ФГОС (новый, красный) базовый уровень обучения учебного пособия издательства Просвещение.