Номер 387, страница 121 - гдз по алгебре 9 класс учебник Макарычев, Миндюк
 
                                                Авторы: Макарычев Ю. Н., Миндюк Н. Г., Нешков К. И., Суворова С. Б.
Тип: Учебник
Издательство: Просвещение
Год издания: 2023 - 2025
Уровень обучения: базовый
Цвет обложки: белый, зелёный, фиолетовый
ISBN: 978-5-09-112135-3
Допущено Министерством просвещения Российской Федерации
Популярные ГДЗ в 9 классе
Глава 4. Уравнения и неравенства с двумя переменными. Параграф 7. Уравнения с двумя переменными и их системы. 20. Решение систем уравнений с двумя переменными - номер 387, страница 121.
№387 (с. 121)
Условие. №387 (с. 121)
скриншот условия
 
                                                                                                                                        387. Решите систему уравнений:
 
 Решение 1. №387 (с. 121)
 
                                                                            
                                                                                                         
                                                                            
                                                                                                         
                                                                                                                        Решение 2. №387 (с. 121)
 
                                                                            
                                                                                                         
                                                                                                                        Решение 3. №387 (с. 121)
 
                                                                                                                        Решение 4. №387 (с. 121)
 
                                                                                                                        Решение 5. №387 (с. 121)
 
                                                                                                                        Решение 7. №387 (с. 121)
 
                                                                                                         
                                                                                                                        Решение 8. №387 (с. 121)
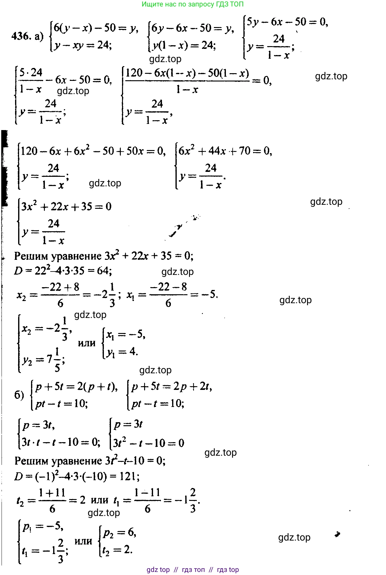
а)
Исходная система уравнений: $$ \begin{cases} 6(y - x) - 50 = y, \\ y - xy = 24; \end{cases} $$ Упростим первое уравнение:
$6y - 6x - 50 = y$
$5y - 6x = 50$
Из второго уравнения выразим $y$ через $x$:
$y(1 - x) = 24$
$y = \frac{24}{1 - x}$, при условии, что $x \neq 1$.
Подставим выражение для $y$ в упрощенное первое уравнение:
$5\left(\frac{24}{1 - x}\right) - 6x = 50$
$\frac{120}{1 - x} - 6x = 50$
Умножим обе части уравнения на $(1 - x)$, чтобы избавиться от знаменателя:
$120 - 6x(1 - x) = 50(1 - x)$
$120 - 6x + 6x^2 = 50 - 50x$
$6x^2 - 6x + 50x + 120 - 50 = 0$
$6x^2 + 44x + 70 = 0$
Разделим уравнение на 2 для упрощения:
$3x^2 + 22x + 35 = 0$
Решим полученное квадратное уравнение с помощью дискриминанта $D = b^2 - 4ac$:
$D = 22^2 - 4 \cdot 3 \cdot 35 = 484 - 420 = 64$
$\sqrt{D} = 8$
Найдем корни уравнения для $x$:
$x_1 = \frac{-22 - 8}{2 \cdot 3} = \frac{-30}{6} = -5$
$x_2 = \frac{-22 + 8}{2 \cdot 3} = \frac{-14}{6} = -\frac{7}{3}$
Теперь найдем соответствующие значения $y$ для каждого корня $x$.
1. Если $x_1 = -5$, то:
$y_1 = \frac{24}{1 - (-5)} = \frac{24}{6} = 4$
Первая пара решений: $(-5, 4)$.
2. Если $x_2 = -\frac{7}{3}$, то:
$y_2 = \frac{24}{1 - (-\frac{7}{3})} = \frac{24}{1 + \frac{7}{3}} = \frac{24}{\frac{10}{3}} = \frac{24 \cdot 3}{10} = \frac{72}{10} = \frac{36}{5}$
Вторая пара решений: $(-\frac{7}{3}, \frac{36}{5})$.
Ответ: $(-5, 4)$, $(-\frac{7}{3}, \frac{36}{5})$.
б)
Исходная система уравнений: $$ \begin{cases} p + 5t = 2(p + t), \\ pt - t = 10. \end{cases} $$ Упростим первое уравнение:
$p + 5t = 2p + 2t$
$5t - 2t = 2p - p$
$3t = p$
Подставим выражение $p = 3t$ во второе уравнение системы:
$(3t)t - t = 10$
$3t^2 - t = 10$
$3t^2 - t - 10 = 0$
Решим полученное квадратное уравнение относительно $t$ с помощью дискриминанта $D = b^2 - 4ac$:
$D = (-1)^2 - 4 \cdot 3 \cdot (-10) = 1 + 120 = 121$
$\sqrt{D} = 11$
Найдем корни уравнения для $t$:
$t_1 = \frac{1 + 11}{2 \cdot 3} = \frac{12}{6} = 2$
$t_2 = \frac{1 - 11}{2 \cdot 3} = \frac{-10}{6} = -\frac{5}{3}$
Теперь найдем соответствующие значения $p$ для каждого корня $t$, используя соотношение $p = 3t$.
1. Если $t_1 = 2$, то:
$p_1 = 3 \cdot 2 = 6$
Первая пара решений: $(6, 2)$.
2. Если $t_2 = -\frac{5}{3}$, то:
$p_2 = 3 \cdot (-\frac{5}{3}) = -5$
Вторая пара решений: $(-5, -\frac{5}{3})$.
Ответ: $(6, 2)$, $(-5, -\frac{5}{3})$.
Другие задания:
Помогло решение? Оставьте отзыв в комментариях ниже.
Присоединяйтесь к Телеграм-группе @top_gdz
ПрисоединитьсяМы подготовили для вас ответ c подробным объяснением домашего задания по алгебре за 9 класс, для упражнения номер 387 расположенного на странице 121 к учебнику 2023 года издания для учащихся школ и гимназий.
Теперь на нашем сайте ГДЗ.ТОП вы всегда легко и бесплатно найдёте условие с правильным ответом на вопрос «Как решить ДЗ» и «Как сделать» задание по алгебре к упражнению №387 (с. 121), авторов: Макарычев (Юрий Николаевич), Миндюк (Нора Григорьевна), Нешков (Константин Иванович), Суворова (Светлана Борисовна), ФГОС (новый, красный) базовый уровень обучения учебного пособия издательства Просвещение.
 
                     
                     
                     
                     
                     
                     
                     
                     
                     
                     
                     
                     
                     
                     
                    