Номер 392, страница 121 - гдз по алгебре 9 класс учебник Макарычев, Миндюк
 
                                                Авторы: Макарычев Ю. Н., Миндюк Н. Г., Нешков К. И., Суворова С. Б.
Тип: Учебник
Издательство: Просвещение
Год издания: 2023 - 2025
Уровень обучения: базовый
Цвет обложки: белый, зелёный, фиолетовый
ISBN: 978-5-09-112135-3
Допущено Министерством просвещения Российской Федерации
Популярные ГДЗ в 9 классе
Глава 4. Уравнения и неравенства с двумя переменными. Параграф 7. Уравнения с двумя переменными и их системы. 20. Решение систем уравнений с двумя переменными - номер 392, страница 121.
№392 (с. 121)
Условие. №392 (с. 121)
скриншот условия
 
                                                                                                                                        392. Решите систему уравнений, используя способ сложения:
 
 Решение 1. №392 (с. 121)
 
                                                                            
                                                                                                         
                                                                                                                        Решение 2. №392 (с. 121)
 
                                                                            
                                                                                                         
                                                                            
                                                                                                         
                                                                                                                        Решение 3. №392 (с. 121)
 
                                                                                                                        Решение 4. №392 (с. 121)
 
                                                                                                                        Решение 5. №392 (с. 121)
 
                                                                                                                        Решение 7. №392 (с. 121)
 
                                                                                                         
                                                                                                                        Решение 8. №392 (с. 121)
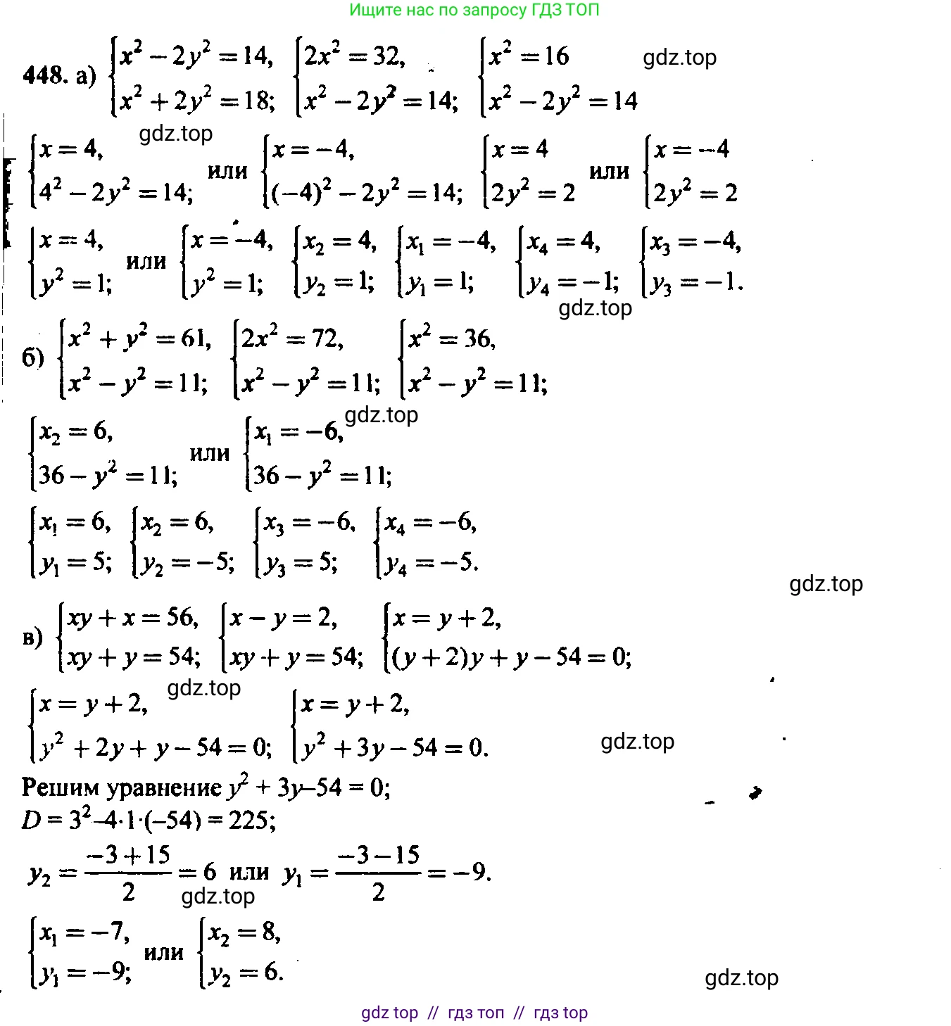
а) Дана система уравнений: $ \begin{cases} x^2 - 2y^2 = 14, \\ x^2 + 2y^2 = 18. \end{cases} $
Сложим первое и второе уравнения системы. Это позволит исключить переменную $y$, так как коэффициенты при $y^2$ являются противоположными числами ($-2$ и $2$).
$(x^2 - 2y^2) + (x^2 + 2y^2) = 14 + 18$
$2x^2 = 32$
$x^2 = 16$
Отсюда получаем два возможных значения для $x$: $x_1 = 4$ и $x_2 = -4$.
Теперь подставим найденное значение $x^2 = 16$ в любое из исходных уравнений, чтобы найти $y$. Возьмем второе уравнение:
$16 + 2y^2 = 18$
$2y^2 = 18 - 16$
$2y^2 = 2$
$y^2 = 1$
Отсюда получаем два возможных значения для $y$: $y_1 = 1$ и $y_2 = -1$.
Каждое значение $x$ может сочетаться с каждым значением $y$. Таким образом, получаем четыре пары решений.
Ответ: $(4; 1)$, $(4; -1)$, $(-4; 1)$, $(-4; -1)$.
б) Дана система уравнений: $ \begin{cases} x^2 + y^2 = 61, \\ x^2 - y^2 = 11. \end{cases} $
Сложим два уравнения системы, чтобы исключить переменную $y$:
$(x^2 + y^2) + (x^2 - y^2) = 61 + 11$
$2x^2 = 72$
$x^2 = 36$
Следовательно, $x_1 = 6$ и $x_2 = -6$.
Теперь вычтем второе уравнение из первого, чтобы исключить переменную $x$:
$(x^2 + y^2) - (x^2 - y^2) = 61 - 11$
$2y^2 = 50$
$y^2 = 25$
Следовательно, $y_1 = 5$ и $y_2 = -5$.
Комбинируя возможные значения $x$ и $y$, получаем четыре пары решений.
Ответ: $(6; 5)$, $(6; -5)$, $(-6; 5)$, $(-6; -5)$.
в) Дана система уравнений: $ \begin{cases} xy + x = 56, \\ xy + y = 54. \end{cases} $
Вычтем второе уравнение из первого. Это позволит исключить член $xy$:
$(xy + x) - (xy + y) = 56 - 54$
$x - y = 2$
Из этого уравнения выразим $x$ через $y$:
$x = y + 2$
Теперь подставим это выражение для $x$ в первое уравнение исходной системы:
$(y + 2)y + (y + 2) = 56$
$y^2 + 2y + y + 2 = 56$
$y^2 + 3y - 54 = 0$
Мы получили квадратное уравнение. Решим его по теореме Виета. Ищем два числа, произведение которых равно $-54$, а сумма равна $-3$. Эти числа $6$ и $-9$.
Таким образом, $y_1 = 6$, $y_2 = -9$.
Теперь найдем соответствующие значения $x$, используя формулу $x = y + 2$:
Если $y_1 = 6$, то $x_1 = 6 + 2 = 8$.
Если $y_2 = -9$, то $x_2 = -9 + 2 = -7$.
В результате получаем две пары решений.
Ответ: $(8; 6)$, $(-7; -9)$.
Другие задания:
Помогло решение? Оставьте отзыв в комментариях ниже.
Присоединяйтесь к Телеграм-группе @top_gdz
ПрисоединитьсяМы подготовили для вас ответ c подробным объяснением домашего задания по алгебре за 9 класс, для упражнения номер 392 расположенного на странице 121 к учебнику 2023 года издания для учащихся школ и гимназий.
Теперь на нашем сайте ГДЗ.ТОП вы всегда легко и бесплатно найдёте условие с правильным ответом на вопрос «Как решить ДЗ» и «Как сделать» задание по алгебре к упражнению №392 (с. 121), авторов: Макарычев (Юрий Николаевич), Миндюк (Нора Григорьевна), Нешков (Константин Иванович), Суворова (Светлана Борисовна), ФГОС (новый, красный) базовый уровень обучения учебного пособия издательства Просвещение.
 
                     
                     
                     
                     
                     
                     
                     
                     
                     
                     
                     
                     
                     
                     
                    