Номер 390, страница 121 - гдз по алгебре 9 класс учебник Макарычев, Миндюк

Авторы: Макарычев Ю. Н., Миндюк Н. Г., Нешков К. И., Суворова С. Б.
Тип: Учебник
Издательство: Просвещение
Год издания: 2023 - 2025
Уровень обучения: базовый
Цвет обложки: белый, зелёный, фиолетовый
ISBN: 978-5-09-112135-3
Допущено Министерством просвещения Российской Федерации
Популярные ГДЗ в 9 классе
20. Решение систем уравнений с двумя переменными. Параграф 7. Уравнения с двумя переменными и их системы. Глава 4. Уравнения и неравенства с двумя переменными - номер 390, страница 121.
№390 (с. 121)
Условие. №390 (с. 121)
скриншот условия

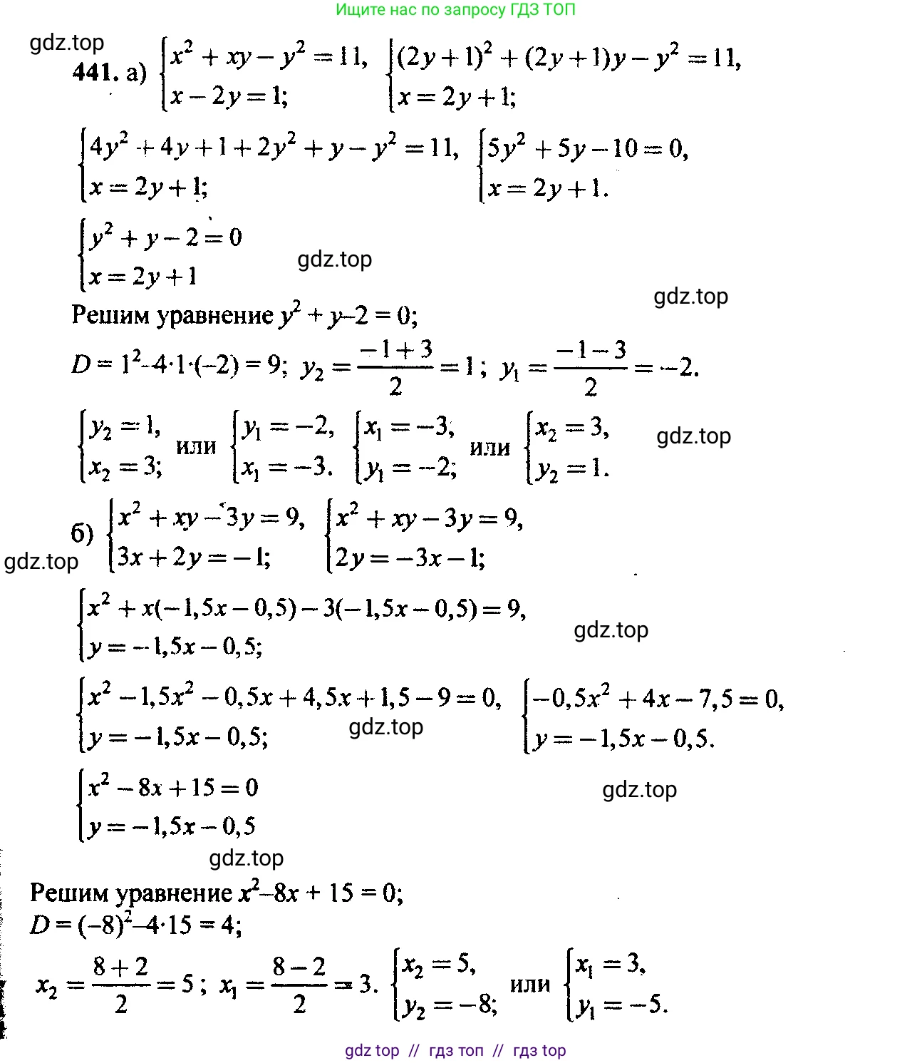
390. Решите систему уравнений:

Решение 1. №390 (с. 121)


Решение 2. №390 (с. 121)


Решение 3. №390 (с. 121)

Решение 4. №390 (с. 121)

Решение 5. №390 (с. 121)

Решение 7. №390 (с. 121)

Решение 8. №390 (с. 121)
а) Дана система уравнений:
$\begin{cases} x^2 + xy - y^2 = 11, \\ x - 2y = 1; \end{cases}$
Для решения этой системы используем метод подстановки. Выразим переменную x из второго, более простого, уравнения:
$x = 1 + 2y$
Теперь подставим это выражение для x в первое уравнение системы:
$(1 + 2y)^2 + (1 + 2y)y - y^2 = 11$
Раскроем скобки и упростим полученное уравнение:
$(1 + 4y + 4y^2) + (y + 2y^2) - y^2 = 11$
Приведем подобные слагаемые:
$1 + 4y + 4y^2 + y + 2y^2 - y^2 = 11$
$5y^2 + 5y + 1 = 11$
Перенесем все члены в левую часть, чтобы получить стандартное квадратное уравнение:
$5y^2 + 5y - 10 = 0$
Разделим обе части уравнения на 5 для упрощения:
$y^2 + y - 2 = 0$
Решим это квадратное уравнение. Его можно разложить на множители. Найдем два числа, произведение которых равно -2, а сумма равна 1. Это числа 2 и -1. Таким образом, уравнение можно записать в виде:
$(y + 2)(y - 1) = 0$
Отсюда находим два возможных значения для y:
$y_1 = 1$ или $y_2 = -2$
Теперь найдем соответствующие значения x для каждого найденного y, используя выражение $x = 1 + 2y$.
1. Если $y_1 = 1$, то:
$x_1 = 1 + 2(1) = 1 + 2 = 3$
Получаем первую пару решений $(3, 1)$.
2. Если $y_2 = -2$, то:
$x_2 = 1 + 2(-2) = 1 - 4 = -3$
Получаем вторую пару решений $(-3, -2)$.
Проверим найденные решения. Для $(3, 1)$:
$3^2 + 3 \cdot 1 - 1^2 = 9 + 3 - 1 = 11$ (верно)
$3 - 2 \cdot 1 = 1$ (верно)
Для $(-3, -2)$:
$(-3)^2 + (-3)(-2) - (-2)^2 = 9 + 6 - 4 = 11$ (верно)
$(-3) - 2(-2) = -3 + 4 = 1$ (верно)
Ответ: $(3, 1), (-3, -2)$.
б) Дана система уравнений:
$\begin{cases} x^2 + xy - 3y = 9, \\ 3x + 2y = -1; \end{cases}$
Для решения этой системы также используем метод подстановки. Выразим y из второго уравнения:
$2y = -1 - 3x$
$y = \frac{-1 - 3x}{2}$
Подставим это выражение для y в первое уравнение системы:
$x^2 + x\left(\frac{-1 - 3x}{2}\right) - 3\left(\frac{-1 - 3x}{2}\right) = 9$
Чтобы избавиться от дробей, умножим обе части уравнения на 2:
$2x^2 + x(-1 - 3x) - 3(-1 - 3x) = 18$
Раскроем скобки и приведем подобные слагаемые:
$2x^2 - x - 3x^2 + 3 + 9x = 18$
$-x^2 + 8x + 3 = 18$
Перенесем все члены в левую часть и приведем уравнение к стандартному виду:
$-x^2 + 8x - 15 = 0$
Умножим обе части уравнения на -1, чтобы коэффициент при $x^2$ стал положительным:
$x^2 - 8x + 15 = 0$
Решим полученное квадратное уравнение. По теореме Виета, сумма корней равна 8, а их произведение равно 15. Корнями являются числа 3 и 5.
$(x - 3)(x - 5) = 0$
Отсюда находим два возможных значения для x:
$x_1 = 3$ или $x_2 = 5$
Теперь найдем соответствующие значения y для каждого x, используя выражение $y = \frac{-1 - 3x}{2}$.
1. Если $x_1 = 3$, то:
$y_1 = \frac{-1 - 3(3)}{2} = \frac{-1 - 9}{2} = \frac{-10}{2} = -5$
Получаем первую пару решений $(3, -5)$.
2. Если $x_2 = 5$, то:
$y_2 = \frac{-1 - 3(5)}{2} = \frac{-1 - 15}{2} = \frac{-16}{2} = -8$
Получаем вторую пару решений $(5, -8)$.
Проверим найденные решения. Для $(3, -5)$:
$3^2 + 3(-5) - 3(-5) = 9 - 15 + 15 = 9$ (верно)
$3(3) + 2(-5) = 9 - 10 = -1$ (верно)
Для $(5, -8)$:
$5^2 + 5(-8) - 3(-8) = 25 - 40 + 24 = 9$ (верно)
$3(5) + 2(-8) = 15 - 16 = -1$ (верно)
Ответ: $(3, -5), (5, -8)$.
Другие задания:
Помогло решение? Оставьте отзыв в комментариях ниже.
Присоединяйтесь к Телеграм-группе @top_gdz
ПрисоединитьсяМы подготовили для вас ответ c подробным объяснением домашего задания по алгебре за 9 класс, для упражнения номер 390 расположенного на странице 121 к учебнику 2023 года издания для учащихся школ и гимназий.
Теперь на нашем сайте ГДЗ.ТОП вы всегда легко и бесплатно найдёте условие с правильным ответом на вопрос «Как решить ДЗ» и «Как сделать» задание по алгебре к упражнению №390 (с. 121), авторов: Макарычев (Юрий Николаевич), Миндюк (Нора Григорьевна), Нешков (Константин Иванович), Суворова (Светлана Борисовна), ФГОС (новый, красный) базовый уровень обучения учебного пособия издательства Просвещение.