Номер 540, страница 157 - гдз по алгебре 9 класс учебник Макарычев, Миндюк
 
                                                Авторы: Макарычев Ю. Н., Миндюк Н. Г., Нешков К. И., Суворова С. Б.
Тип: Учебник
Издательство: Просвещение
Год издания: 2023 - 2025
Уровень обучения: базовый
Цвет обложки: белый, зелёный, фиолетовый
ISBN: 978-5-09-112135-3
Допущено Министерством просвещения Российской Федерации
Популярные ГДЗ в 9 классе
Глава 5. Арифметическая и геометрическая прогрессии. Параграф 9. Арифметическая прогрессия. 27. Определение арифметической прогрессии. Формула п-го члена арифметической прогрессии - номер 540, страница 157.
№540 (с. 157)
Условие. №540 (с. 157)
скриншот условия
 
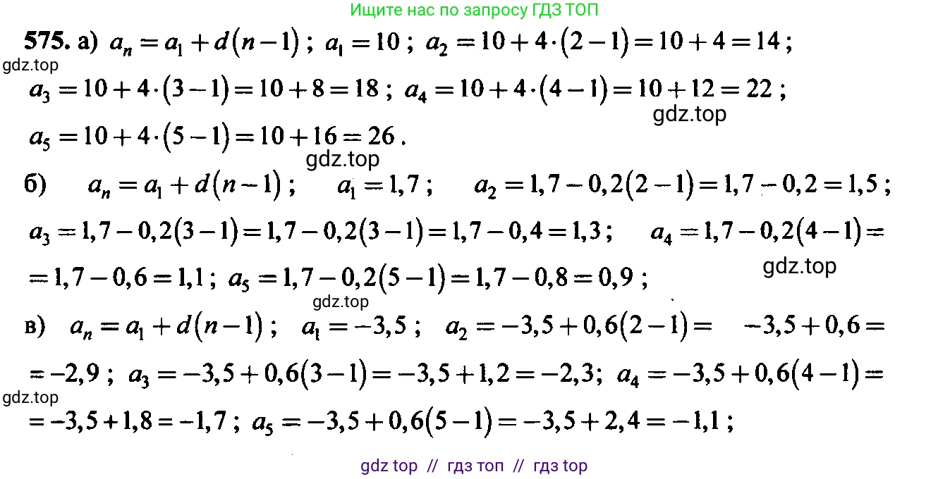
                                                                                                                                        540. Выпишите первые пять членов арифметической прогрессии (aₙ), если:
 
 Решение 1. №540 (с. 157)
 
                                                                            
                                                                                                         
                                                                                                                        Решение 2. №540 (с. 157)
 
                                                                            
                                                                                                         
                                                                            
                                                                                                         
                                                                            
                                                                                                         
                                                                                                                        Решение 3. №540 (с. 157)
 
                                                                                                                        Решение 4. №540 (с. 157)
 
                                                                                                                        Решение 5. №540 (с. 157)
 
                                                                                                                        Решение 7. №540 (с. 157)
 
                                                                                                                        Решение 8. №540 (с. 157)
а) По определению арифметической прогрессии, каждый следующий член получается прибавлением разности $d$ к предыдущему члену по формуле $a_{n+1} = a_n + d$.
При заданных $a_1 = 10$ и $d = 4$ найдем первые пять членов:
$a_1 = 10$
$a_2 = a_1 + d = 10 + 4 = 14$
$a_3 = a_2 + d = 14 + 4 = 18$
$a_4 = a_3 + d = 18 + 4 = 22$
$a_5 = a_4 + d = 22 + 4 = 26$
Ответ: 10; 14; 18; 22; 26.
б) При заданных $a_1 = 30$ и $d = -10$ найдем первые пять членов:
$a_1 = 30$
$a_2 = a_1 + d = 30 + (-10) = 20$
$a_3 = a_2 + d = 20 + (-10) = 10$
$a_4 = a_3 + d = 10 + (-10) = 0$
$a_5 = a_4 + d = 0 + (-10) = -10$
Ответ: 30; 20; 10; 0; -10.
в) При заданных $a_1 = 1,7$ и $d = -0,2$ найдем первые пять членов:
$a_1 = 1,7$
$a_2 = a_1 + d = 1,7 + (-0,2) = 1,5$
$a_3 = a_2 + d = 1,5 + (-0,2) = 1,3$
$a_4 = a_3 + d = 1,3 + (-0,2) = 1,1$
$a_5 = a_4 + d = 1,1 + (-0,2) = 0,9$
Ответ: 1,7; 1,5; 1,3; 1,1; 0,9.
г) При заданных $a_1 = -3,5$ и $d = 0,6$ найдем первые пять членов:
$a_1 = -3,5$
$a_2 = a_1 + d = -3,5 + 0,6 = -2,9$
$a_3 = a_2 + d = -2,9 + 0,6 = -2,3$
$a_4 = a_3 + d = -2,3 + 0,6 = -1,7$
$a_5 = a_4 + d = -1,7 + 0,6 = -1,1$
Ответ: -3,5; -2,9; -2,3; -1,7; -1,1.
Другие задания:
Помогло решение? Оставьте отзыв в комментариях ниже.
Присоединяйтесь к Телеграм-группе @top_gdz
ПрисоединитьсяМы подготовили для вас ответ c подробным объяснением домашего задания по алгебре за 9 класс, для упражнения номер 540 расположенного на странице 157 к учебнику 2023 года издания для учащихся школ и гимназий.
Теперь на нашем сайте ГДЗ.ТОП вы всегда легко и бесплатно найдёте условие с правильным ответом на вопрос «Как решить ДЗ» и «Как сделать» задание по алгебре к упражнению №540 (с. 157), авторов: Макарычев (Юрий Николаевич), Миндюк (Нора Григорьевна), Нешков (Константин Иванович), Суворова (Светлана Борисовна), ФГОС (новый, красный) базовый уровень обучения учебного пособия издательства Просвещение.
 
                     
                     
                     
                     
                     
                     
                     
                     
                     
                     
                     
                     
                     
                     
                    