Номер 196, страница 67 - гдз по алгебре 9 класс учебник Макарычев, Миндюк

Авторы: Макарычев Ю. Н., Миндюк Н. Г., Нешков К. И., Суворова С. Б.
Тип: Учебник
Издательство: Просвещение
Год издания: 2014 - 2024
Цвет обложки:
ISBN: 978-5-09-0779-15
Допущено Министерством просвещения Российской Федерации
Популярные ГДЗ в 9 классе
11. Степень с рациональным показателем. § 4. Степенная функция. Корень n-й степени. Глава 1. Квадратичная функция - номер 196, страница 67.
№196 (с. 67)
Условие. №196 (с. 67)
скриншот условия

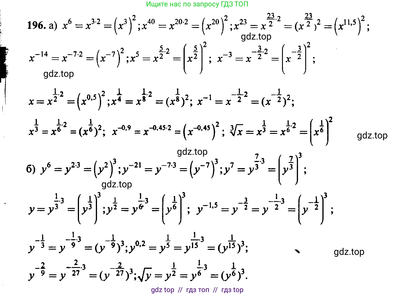
196. Представьте:
a) в виде квадрата $(x > 0)$: $x^6$, $x^5$, $x^{-8}$, $x^{-1}$, $x$, $x^{\frac{1}{3}};
б) в виде куба $(y > 0)$: $y^6$, $y^7$, $y$, $y^{\frac{1}{2}}$, $y^{-1.5}$, $y^{0.2}$, $y^{-\frac{2}{9}}.
Решение 1. №196 (с. 67)


Решение 2. №196 (с. 67)

Решение 3. №196 (с. 67)

Решение 4. №196 (с. 67)

Решение 5. №196 (с. 67)

Решение 7. №196 (с. 67)

Решение 8. №196 (с. 67)
а) Чтобы представить выражение в виде квадрата, необходимо найти такое основание, которое при возведении в квадрат даст исходное выражение. Для степенного выражения $x^k$ (где $x > 0$) это будет $(x^{\frac{k}{2}})^2$, так как по свойству степеней $(a^m)^n = a^{m \cdot n}$. Применим это правило для каждого выражения.
$x^6 = (x^{\frac{6}{2}})^2 = (x^3)^2$
$x^5 = (x^{\frac{5}{2}})^2$
$x^{-8} = (x^{\frac{-8}{2}})^2 = (x^{-4})^2$
$x^{-1} = (x^{\frac{-1}{2}})^2$
$x = x^1 = (x^{\frac{1}{2}})^2$
$x^{\frac{1}{3}} = (x^{\frac{1}{3} \cdot \frac{1}{2}})^2 = (x^{\frac{1}{6}})^2$
Ответ: $(x^3)^2$; $(x^{\frac{5}{2}})^2$; $(x^{-4})^2$; $(x^{-\frac{1}{2}})^2$; $(x^{\frac{1}{2}})^2$; $(x^{\frac{1}{6}})^2$.
б) Аналогично, чтобы представить выражение в виде куба, необходимо найти такое основание, которое при возведении в куб даст исходное выражение. Для степенного выражения $y^k$ (где $y > 0$) это будет $(y^{\frac{k}{3}})^3$. Применим это правило для каждого выражения.
$y^6 = (y^{\frac{6}{3}})^3 = (y^2)^3$
$y^7 = (y^{\frac{7}{3}})^3$
$y = y^1 = (y^{\frac{1}{3}})^3$
$y^{\frac{1}{2}} = (y^{\frac{1}{2} \cdot \frac{1}{3}})^3 = (y^{\frac{1}{6}})^3$
$y^{-1,5} = (y^{\frac{-1,5}{3}})^3 = (y^{-0,5})^3 = (y^{-\frac{1}{2}})^3$
$y^{0,2} = y^{\frac{1}{5}} = (y^{\frac{1}{5} \cdot \frac{1}{3}})^3 = (y^{\frac{1}{15}})^3$
$y^{-\frac{2}{9}} = (y^{-\frac{2}{9} \cdot \frac{1}{3}})^3 = (y^{-\frac{2}{27}})^3$
Ответ: $(y^2)^3$; $(y^{\frac{7}{3}})^3$; $(y^{\frac{1}{3}})^3$; $(y^{\frac{1}{6}})^3$; $(y^{-\frac{1}{2}})^3$; $(y^{\frac{1}{15}})^3$; $(y^{-\frac{2}{27}})^3$.
Другие задания:
Помогло решение? Оставьте отзыв в комментариях ниже.
Мы подготовили для вас ответ c подробным объяснением домашего задания по алгебре за 9 класс, для упражнения номер 196 расположенного на странице 67 к учебнику 2014 - 2024 года издания для учащихся школ и гимназий.
Теперь на нашем сайте ГДЗ.ТОП вы всегда легко и бесплатно найдёте условие с правильным ответом на вопрос «Как решить ДЗ» и «Как сделать» задание по алгебре к упражнению №196 (с. 67), авторов: Макарычев (Юрий Николаевич), Миндюк (Нора Григорьевна), Нешков (Константин Иванович), Суворова (Светлана Борисовна), ФГОС (старый) учебного пособия издательства Просвещение.