Номер 565, страница 147 - гдз по алгебре 9 класс учебник Макарычев, Миндюк

Авторы: Макарычев Ю. Н., Миндюк Н. Г., Нешков К. И., Суворова С. Б.
Тип: Учебник
Издательство: Просвещение
Год издания: 2014 - 2024
Цвет обложки:
ISBN: 978-5-09-0779-15
Допущено Министерством просвещения Российской Федерации
Популярные ГДЗ в 9 классе
24. Последовательности. § 9. Арифметическая прогрессия. Глава 4. Арифметическая и геометрическая прогрессии - номер 565, страница 147.
№565 (с. 147)
Условие. №565 (с. 147)
скриншот условия

565. Найдите первые шесть членов последовательности, заданной формулой n-го члена:
а) $x_n = 2n - 1;$
б) $x_n = n^2 + 1;$
в) $x_n = \frac{n}{n+1};$
г) $x_n = (-1)^{n+1} \cdot 2;$
д) $x_n = 2^{n-3};$
е) $x_n = 0,5 \cdot 4^n.$
Решение 1. №565 (с. 147)






Решение 2. №565 (с. 147)


Решение 3. №565 (с. 147)

Решение 4. №565 (с. 147)

Решение 5. №565 (с. 147)

Решение 7. №565 (с. 147)

Решение 8. №565 (с. 147)
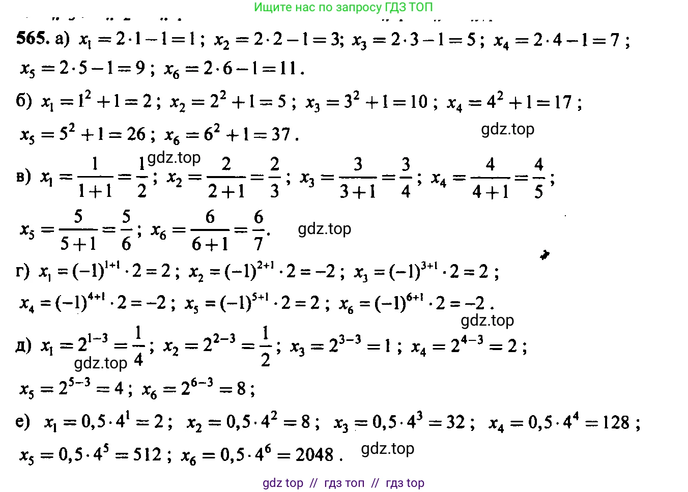
а) Для нахождения первых шести членов последовательности, заданной формулой $x_n = 2n - 1$, подставим в нее значения $n$ от 1 до 6:
$x_1 = 2 \cdot 1 - 1 = 1$
$x_2 = 2 \cdot 2 - 1 = 3$
$x_3 = 2 \cdot 3 - 1 = 5$
$x_4 = 2 \cdot 4 - 1 = 7$
$x_5 = 2 \cdot 5 - 1 = 9$
$x_6 = 2 \cdot 6 - 1 = 11$
Ответ: 1, 3, 5, 7, 9, 11.
б) Для нахождения первых шести членов последовательности, заданной формулой $x_n = n^2 + 1$, подставим в нее значения $n$ от 1 до 6:
$x_1 = 1^2 + 1 = 1 + 1 = 2$
$x_2 = 2^2 + 1 = 4 + 1 = 5$
$x_3 = 3^2 + 1 = 9 + 1 = 10$
$x_4 = 4^2 + 1 = 16 + 1 = 17$
$x_5 = 5^2 + 1 = 25 + 1 = 26$
$x_6 = 6^2 + 1 = 36 + 1 = 37$
Ответ: 2, 5, 10, 17, 26, 37.
в) Для нахождения первых шести членов последовательности, заданной формулой $x_n = \frac{n}{n+1}$, подставим в нее значения $n$ от 1 до 6:
$x_1 = \frac{1}{1+1} = \frac{1}{2}$
$x_2 = \frac{2}{2+1} = \frac{2}{3}$
$x_3 = \frac{3}{3+1} = \frac{3}{4}$
$x_4 = \frac{4}{4+1} = \frac{4}{5}$
$x_5 = \frac{5}{5+1} = \frac{5}{6}$
$x_6 = \frac{6}{6+1} = \frac{6}{7}$
Ответ: $\frac{1}{2}, \frac{2}{3}, \frac{3}{4}, \frac{4}{5}, \frac{5}{6}, \frac{6}{7}$.
г) Для нахождения первых шести членов последовательности, заданной формулой $x_n = (-1)^{n+1} \cdot 2$, подставим в нее значения $n$ от 1 до 6:
$x_1 = (-1)^{1+1} \cdot 2 = (-1)^2 \cdot 2 = 1 \cdot 2 = 2$
$x_2 = (-1)^{2+1} \cdot 2 = (-1)^3 \cdot 2 = -1 \cdot 2 = -2$
$x_3 = (-1)^{3+1} \cdot 2 = (-1)^4 \cdot 2 = 1 \cdot 2 = 2$
$x_4 = (-1)^{4+1} \cdot 2 = (-1)^5 \cdot 2 = -1 \cdot 2 = -2$
$x_5 = (-1)^{5+1} \cdot 2 = (-1)^6 \cdot 2 = 1 \cdot 2 = 2$
$x_6 = (-1)^{6+1} \cdot 2 = (-1)^7 \cdot 2 = -1 \cdot 2 = -2$
Ответ: 2, -2, 2, -2, 2, -2.
д) Для нахождения первых шести членов последовательности, заданной формулой $x_n = 2^{n-3}$, подставим в нее значения $n$ от 1 до 6:
$x_1 = 2^{1-3} = 2^{-2} = \frac{1}{4}$
$x_2 = 2^{2-3} = 2^{-1} = \frac{1}{2}$
$x_3 = 2^{3-3} = 2^0 = 1$
$x_4 = 2^{4-3} = 2^1 = 2$
$x_5 = 2^{5-3} = 2^2 = 4$
$x_6 = 2^{6-3} = 2^3 = 8$
Ответ: $\frac{1}{4}, \frac{1}{2}, 1, 2, 4, 8$.
е) Для нахождения первых шести членов последовательности, заданной формулой $x_n = 0,5 \cdot 4^n$, подставим в нее значения $n$ от 1 до 6:
$x_1 = 0,5 \cdot 4^1 = 0,5 \cdot 4 = 2$
$x_2 = 0,5 \cdot 4^2 = 0,5 \cdot 16 = 8$
$x_3 = 0,5 \cdot 4^3 = 0,5 \cdot 64 = 32$
$x_4 = 0,5 \cdot 4^4 = 0,5 \cdot 256 = 128$
$x_5 = 0,5 \cdot 4^5 = 0,5 \cdot 1024 = 512$
$x_6 = 0,5 \cdot 4^6 = 0,5 \cdot 4096 = 2048$
Ответ: 2, 8, 32, 128, 512, 2048.
Другие задания:
Помогло решение? Оставьте отзыв в комментариях ниже.
Мы подготовили для вас ответ c подробным объяснением домашего задания по алгебре за 9 класс, для упражнения номер 565 расположенного на странице 147 к учебнику 2014 - 2024 года издания для учащихся школ и гимназий.
Теперь на нашем сайте ГДЗ.ТОП вы всегда легко и бесплатно найдёте условие с правильным ответом на вопрос «Как решить ДЗ» и «Как сделать» задание по алгебре к упражнению №565 (с. 147), авторов: Макарычев (Юрий Николаевич), Миндюк (Нора Григорьевна), Нешков (Константин Иванович), Суворова (Светлана Борисовна), ФГОС (старый) учебного пособия издательства Просвещение.