Номер 18.25, страница 125, часть 2 - гдз по алгебре 9 класс учебник Мордкович, Семенов


Авторы: Мордкович А. Г., Семенов П. В.
Тип: Учебник
Издательство: Мнемозина
Год издания: 2019 - 2025
Часть: 2
Цвет обложки:
ISBN: 978-5-04642-4
Допущено Министерством просвещения Российской Федерации
Популярные ГДЗ в 9 классе
§ 18. Комбинаторные задачи. Глава 5. Элементы комбинаторики, статистики и теории вероятностей. ч. 2 - номер 18.25, страница 125.
№18.25 (с. 125)
Условие. №18.25 (с. 125)
скриншот условия

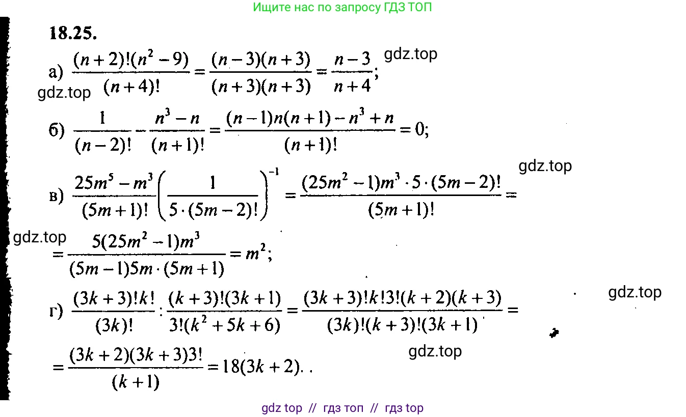
18.25 Упростите выражение:
a) $(n + 2)!(n^2 - 9) / (n + 4)!$;
б) $1 / (n - 2)! - (n^3 - n) / (n + 1)!$;
в) $(25m^5 - m^3) / (5m + 1)! \cdot (1 / (5 \cdot (5m - 2)!))^{-1}$;
г) $((3k + 3)! \cdot k!) / (3k)! : ((k + 3)!(3k + 1)) / (k^2 + 5k + 6)$.
Решение 1. №18.25 (с. 125)




Решение 3. №18.25 (с. 125)

Решение 4. №18.25 (с. 125)
а)
Дано выражение: $ \frac{(n + 2)!(n^2 - 9)}{(n + 4)!} $
Для упрощения воспользуемся определением факториала $k! = k \cdot (k-1) \cdot ... \cdot 1$ и формулой разности квадратов $a^2 - b^2 = (a-b)(a+b)$.
1. Представим факториал в знаменателе через факториал в числителе:
$ (n + 4)! = (n + 4)(n + 3)(n + 2)! $
2. Разложим на множители выражение $n^2 - 9$:
$ n^2 - 9 = n^2 - 3^2 = (n - 3)(n + 3) $
3. Теперь подставим полученные выражения в исходную дробь:
$ \frac{(n + 2)!(n - 3)(n + 3)}{(n + 4)(n + 3)(n + 2)!} $
4. Сократим общие множители $(n + 2)!$ и $(n + 3)$ в числителе и знаменателе (при условии, что $n+3 \ne 0$ и $n+2 \ge 0$):
$ \frac{n - 3}{n + 4} $
Ответ: $ \frac{n - 3}{n + 4} $
б)
Дано выражение: $ \frac{1}{(n - 2)!} - \frac{n^3 - n}{(n + 1)!} $
Чтобы выполнить вычитание, приведем дроби к общему знаменателю.
1. Общим знаменателем является $(n + 1)!$. Представим его через $(n-2)!$:
$ (n + 1)! = (n + 1)n(n - 1)(n - 2)! $
2. Приведем первую дробь к общему знаменателю, домножив числитель и знаменатель на $(n + 1)n(n - 1)$:
$ \frac{1}{(n - 2)!} = \frac{(n + 1)n(n - 1)}{(n + 1)n(n - 1)(n - 2)!} = \frac{(n + 1)n(n - 1)}{(n + 1)!} $
3. Разложим на множители числитель второй дроби:
$ n^3 - n = n(n^2 - 1) = n(n - 1)(n + 1) $
4. Теперь выполним вычитание дробей с одинаковыми знаменателями:
$ \frac{(n + 1)n(n - 1)}{(n + 1)!} - \frac{n(n - 1)(n + 1)}{(n + 1)!} = \frac{n(n-1)(n+1) - n(n-1)(n+1)}{(n+1)!} = \frac{0}{(n+1)!} = 0 $
Ответ: $ 0 $
в)
Дано выражение: $ \frac{25m^5 - m^3}{(5m + 1)!} \cdot \left( \frac{1}{5 \cdot (5m - 2)!} \right)^{-1} $
1. Упростим второй множитель, используя свойство отрицательной степени $ (a/b)^{-1} = b/a $:
$ \left( \frac{1}{5 \cdot (5m - 2)!} \right)^{-1} = 5 \cdot (5m - 2)! $
2. Теперь исходное выражение имеет вид:
$ \frac{25m^5 - m^3}{(5m + 1)!} \cdot 5(5m - 2)! $
3. Разложим на множители числитель первой дроби:
$ 25m^5 - m^3 = m^3(25m^2 - 1) = m^3(5m - 1)(5m + 1) $
4. Представим факториал в знаменателе через $(5m - 2)!$:
$ (5m + 1)! = (5m + 1)(5m)(5m - 1)(5m - 2)! $
5. Подставим все в выражение и произведем сокращение:
$ \frac{m^3(5m - 1)(5m + 1)}{(5m + 1)(5m)(5m - 1)(5m - 2)!} \cdot 5(5m - 2)! $
После сокращения одинаковых множителей $(5m+1)$, $(5m-1)$ и $(5m-2)!$ получаем:
$ \frac{m^3}{5m} \cdot 5 $
6. Сокращаем оставшиеся члены:
$ \frac{5m^3}{5m} = m^2 $
Ответ: $ m^2 $
г)
Дано выражение: $ \frac{(3k + 3)! \cdot k!}{(3k)!} : \frac{(k + 3)!(3k + 1)}{k^2 + 5k + 6} $
1. Заменим деление на умножение, перевернув вторую дробь:
$ \frac{(3k + 3)! \cdot k!}{(3k)!} \cdot \frac{k^2 + 5k + 6}{(k + 3)!(3k + 1)} $
2. Упростим отношение факториалов в первом множителе:
$ \frac{(3k + 3)!}{(3k)!} = \frac{(3k + 3)(3k + 2)(3k + 1)(3k)!}{(3k)!} = (3k + 3)(3k + 2)(3k + 1) $
Таким образом, первый множитель равен $ (3k + 3)(3k + 2)(3k + 1) \cdot k! $.
3. Упростим второй множитель. Разложим числитель на множители: $ k^2 + 5k + 6 = (k + 2)(k + 3) $.
Разложим факториал в знаменателе: $ (k + 3)! = (k + 3)(k + 2)(k + 1)k! $.
Второй множитель примет вид:
$ \frac{(k + 2)(k + 3)}{(k + 3)(k + 2)(k + 1)k! \cdot (3k + 1)} = \frac{1}{(k + 1)k! (3k + 1)} $
4. Теперь перемножим упрощенные части:
$ (3k + 3)(3k + 2)(3k + 1) k! \cdot \frac{1}{(k + 1)k! (3k + 1)} $
5. Сократим общие множители $ k! $ и $ (3k + 1) $:
$ \frac{(3k + 3)(3k + 2)}{k + 1} $
6. Вынесем 3 за скобки в выражении $ (3k + 3) $: $ 3(k + 1) $.
$ \frac{3(k + 1)(3k + 2)}{k + 1} $
7. Сократим $ (k + 1) $ и получим окончательный результат:
$ 3(3k + 2) = 9k + 6 $
Ответ: $ 9k + 6 $
Другие задания:
Помогло решение? Оставьте отзыв в комментариях ниже.
Мы подготовили для вас ответ c подробным объяснением домашего задания по алгебре за 9 класс, для упражнения номер 18.25 расположенного на странице 125 для 2-й части к учебнику 2019 года издания для учащихся школ и гимназий.
Теперь на нашем сайте ГДЗ.ТОП вы всегда легко и бесплатно найдёте условие с правильным ответом на вопрос «Как решить ДЗ» и «Как сделать» задание по алгебре к упражнению №18.25 (с. 125), авторов: Мордкович (Александр Григорьевич), Семенов (Павел Владимирович), 2-й части учебного пособия издательства Мнемозина.