Номер 1595, страница 429 - гдз по алгебре 10-11 класс учебник Алимов, Колягин

Алгебра, 10-11 класс Учебник, авторы: Алимов Шавкат Арифджанович, Колягин Юрий Михайлович, Ткачева Мария Владимировна, Федорова Надежда Евгеньевна, Шабунин Михаил Иванович, издательство Просвещение, Москва, 2014

Авторы: Алимов Ш. А., Колягин Ю. М., Ткачева М. В., Федорова Н. Е., Шабунин М. И.

Тип: Учебник

Издательство: Просвещение

Год издания: 2014 - 2026

Уровень обучения: базовый и углублённый

Цвет обложки: синий, фиолетовый

ISBN: 978-5-09-112136-0

Допущено Министерством просвещения Российской Федерации

Математика: алгебра и начала математического анализа, геометрия

Задачи для внеклассной работы - номер 1595, страница 429.

№1595 (с. 429)
Условие. №1595 (с. 429)
скриншот условия
Алгебра, 10-11 класс Учебник, авторы: Алимов Шавкат Арифджанович, Колягин Юрий Михайлович, Ткачева Мария Владимировна, Федорова Надежда Евгеньевна, Шабунин Михаил Иванович, издательство Просвещение, Москва, 2014, страница 429, номер 1595, Условие

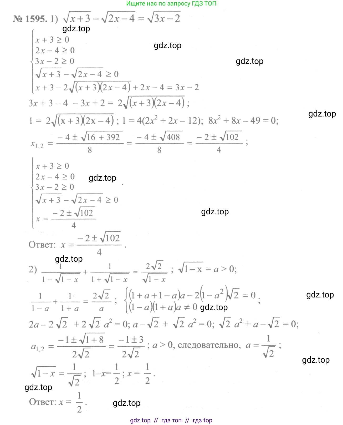
1595 Решить уравнение:

1) $ \sqrt{x+3} - \sqrt{2x-4} = \sqrt{3x-2} $;

2) $ \frac{1}{1-\sqrt{1-x}} + \frac{1}{1+\sqrt{1-x}} = \frac{2\sqrt{2}}{\sqrt{1-x}} $.

Решение 1. №1595 (с. 429)
Алгебра, 10-11 класс Учебник, авторы: Алимов Шавкат Арифджанович, Колягин Юрий Михайлович, Ткачева Мария Владимировна, Федорова Надежда Евгеньевна, Шабунин Михаил Иванович, издательство Просвещение, Москва, 2014, страница 429, номер 1595, Решение 1
Алгебра, 10-11 класс Учебник, авторы: Алимов Шавкат Арифджанович, Колягин Юрий Михайлович, Ткачева Мария Владимировна, Федорова Надежда Евгеньевна, Шабунин Михаил Иванович, издательство Просвещение, Москва, 2014, страница 429, номер 1595, Решение 1 (продолжение 2)
Решение 2. №1595 (с. 429)
Алгебра, 10-11 класс Учебник, авторы: Алимов Шавкат Арифджанович, Колягин Юрий Михайлович, Ткачева Мария Владимировна, Федорова Надежда Евгеньевна, Шабунин Михаил Иванович, издательство Просвещение, Москва, 2014, страница 429, номер 1595, Решение 2
Алгебра, 10-11 класс Учебник, авторы: Алимов Шавкат Арифджанович, Колягин Юрий Михайлович, Ткачева Мария Владимировна, Федорова Надежда Евгеньевна, Шабунин Михаил Иванович, издательство Просвещение, Москва, 2014, страница 429, номер 1595, Решение 2 (продолжение 2)
Решение 3. №1595 (с. 429)
Алгебра, 10-11 класс Учебник, авторы: Алимов Шавкат Арифджанович, Колягин Юрий Михайлович, Ткачева Мария Владимировна, Федорова Надежда Евгеньевна, Шабунин Михаил Иванович, издательство Просвещение, Москва, 2014, страница 429, номер 1595, Решение 3
Решение 7. №1595 (с. 429)
Алгебра, 10-11 класс Учебник, авторы: Алимов Шавкат Арифджанович, Колягин Юрий Михайлович, Ткачева Мария Владимировна, Федорова Надежда Евгеньевна, Шабунин Михаил Иванович, издательство Просвещение, Москва, 2014, страница 429, номер 1595, Решение 7
Алгебра, 10-11 класс Учебник, авторы: Алимов Шавкат Арифджанович, Колягин Юрий Михайлович, Ткачева Мария Владимировна, Федорова Надежда Евгеньевна, Шабунин Михаил Иванович, издательство Просвещение, Москва, 2014, страница 429, номер 1595, Решение 7 (продолжение 2)
Решение 8. №1595 (с. 429)

1) Решим уравнение $\sqrt{x+3}-\sqrt{2x-4}=\sqrt{3x-2}$.

Сначала найдем область допустимых значений (ОДЗ). Выражения под знаком корня должны быть неотрицательными:

$ \begin{cases} x+3 \ge 0 \\ 2x-4 \ge 0 \\ 3x-2 \ge 0 \end{cases} \implies \begin{cases} x \ge -3 \\ x \ge 2 \\ x \ge 2/3 \end{cases} $

Пересечением этих условий является $x \ge 2$.

Перенесем один из корней в правую часть, чтобы при возведении в квадрат было проще:

$\sqrt{x+3} = \sqrt{3x-2} + \sqrt{2x-4}$

Теперь возведем обе части уравнения в квадрат:

$(\sqrt{x+3})^2 = (\sqrt{3x-2} + \sqrt{2x-4})^2$

$x+3 = (3x-2) + 2\sqrt{(3x-2)(2x-4)} + (2x-4)$

Упростим полученное выражение:

$x+3 = 5x - 6 + 2\sqrt{6x^2 - 12x - 4x + 8}$

$x+3 = 5x - 6 + 2\sqrt{6x^2 - 16x + 8}$

Изолируем оставшийся корень:

$3+6 = 5x-x + 2\sqrt{6x^2 - 16x + 8}$

$9 - 4x = 2\sqrt{6x^2 - 16x + 8}$

Для того, чтобы мы могли снова возвести обе части в квадрат, необходимо, чтобы обе части были одного знака. Правая часть ($2\sqrt{...}$) неотрицательна, значит, и левая часть должна быть неотрицательной:

$9 - 4x \ge 0 \implies 9 \ge 4x \implies x \le 9/4 \implies x \le 2.25$.

С учетом ОДЗ ($x \ge 2$), получаем, что возможное решение должно лежать в промежутке $2 \le x \le 2.25$.

Возводим в квадрат уравнение $9 - 4x = 2\sqrt{6x^2 - 16x + 8}$:

$(9-4x)^2 = 4(6x^2 - 16x + 8)$

$81 - 72x + 16x^2 = 24x^2 - 64x + 32$

Приводим подобные члены и получаем квадратное уравнение:

$24x^2 - 16x^2 - 64x + 72x + 32 - 81 = 0$

$8x^2 + 8x - 49 = 0$

Решаем его с помощью дискриминанта:

$D = b^2 - 4ac = 8^2 - 4 \cdot 8 \cdot (-49) = 64 + 1568 = 1632$

$\sqrt{D} = \sqrt{1632} = \sqrt{16 \cdot 102} = 4\sqrt{102}$

Находим корни:

$x_{1,2} = \frac{-b \pm \sqrt{D}}{2a} = \frac{-8 \pm 4\sqrt{102}}{16} = \frac{-2 \pm \sqrt{102}}{4}$

Получаем два корня:

$x_1 = \frac{-2 + \sqrt{102}}{4}$ и $x_2 = \frac{-2 - \sqrt{102}}{4}$

Проверим, удовлетворяют ли корни условию $2 \le x \le 2.25$.

Значение $\sqrt{102}$ близко к $\sqrt{100}=10$, примерно 10.1.

$x_1 \approx \frac{-2 + 10.1}{4} = \frac{8.1}{4} = 2.025$. Этот корень входит в промежуток $[2, 2.25]$.

$x_2 \approx \frac{-2 - 10.1}{4} = \frac{-12.1}{4} = -3.025$. Этот корень не входит в промежуток, поэтому он является посторонним.

Таким образом, решением уравнения является $x = \frac{-2 + \sqrt{102}}{4}$.

Ответ: $x = \frac{\sqrt{102}-2}{4}$.

2) Решим уравнение $\frac{1}{1-\sqrt{1-x}} + \frac{1}{1+\sqrt{1-x}} = \frac{2\sqrt{2}}{\sqrt{1-x}}$.

Найдем ОДЗ. Подкоренное выражение должно быть неотрицательным, а знаменатели не должны равняться нулю.

$ \begin{cases} 1-x \ge 0 & \text{(подкоренное выражение)} \\ \sqrt{1-x} \ne 0 & \text{(знаменатель правой части)} \\ 1-\sqrt{1-x} \ne 0 & \text{(знаменатель первой дроби)} \\ 1+\sqrt{1-x} \ne 0 & \text{(знаменатель второй дроби)} \end{cases} \implies \begin{cases} x \le 1 \\ x \ne 1 \\ \sqrt{1-x} \ne 1 \implies 1-x \ne 1 \implies x \ne 0 \\ \text{всегда верно, т.к. } \sqrt{1-x} \ge 0 \end{cases} $

Итак, ОДЗ: $x \in (-\infty, 0) \cup (0, 1)$.

Приведем дроби в левой части к общему знаменателю $(1-\sqrt{1-x})(1+\sqrt{1-x})$. По формуле разности квадратов это выражение равно $1^2 - (\sqrt{1-x})^2 = 1 - (1-x) = x$.

$\frac{(1+\sqrt{1-x}) + (1-\sqrt{1-x})}{(1-\sqrt{1-x})(1+\sqrt{1-x})} = \frac{2\sqrt{2}}{\sqrt{1-x}}$

$\frac{1+\sqrt{1-x} + 1-\sqrt{1-x}}{x} = \frac{2\sqrt{2}}{\sqrt{1-x}}$

$\frac{2}{x} = \frac{2\sqrt{2}}{\sqrt{1-x}}$

Разделим обе части на 2:

$\frac{1}{x} = \frac{\sqrt{2}}{\sqrt{1-x}}$

Воспользуемся свойством пропорции:

$\sqrt{1-x} = x\sqrt{2}$

Левая часть уравнения ($\sqrt{1-x}$) неотрицательна, следовательно, и правая часть ($x\sqrt{2}$) должна быть неотрицательной. Так как $\sqrt{2} > 0$, это означает, что $x \ge 0$.

Совмещая это условие с ОДЗ ($x < 1$ и $x \ne 0$), получаем, что корень должен принадлежать интервалу $x \in (0, 1)$.

Возведем обе части уравнения $\sqrt{1-x} = x\sqrt{2}$ в квадрат:

$1-x = (x\sqrt{2})^2$

$1-x = 2x^2$

Получаем квадратное уравнение:

$2x^2 + x - 1 = 0$

Решаем его через дискриминант:

$D = 1^2 - 4 \cdot 2 \cdot (-1) = 1 + 8 = 9$

Корни уравнения:

$x_1 = \frac{-1 + \sqrt{9}}{2 \cdot 2} = \frac{-1+3}{4} = \frac{2}{4} = \frac{1}{2}$

$x_2 = \frac{-1 - \sqrt{9}}{2 \cdot 2} = \frac{-1-3}{4} = \frac{-4}{4} = -1$

Проверим корни на соответствие условию $x \in (0, 1)$.

Корень $x_1 = 1/2$ удовлетворяет этому условию.

Корень $x_2 = -1$ не удовлетворяет этому условию ($-1 < 0$), поэтому он является посторонним.

Ответ: $x = \frac{1}{2}$.

Помогло решение? Оставьте отзыв в комментариях ниже.

Присоединяйтесь к Телеграм-группе @top_gdz

Присоединиться

Мы подготовили для вас ответ c подробным объяснением домашего задания по алгебре за 10-11 класс, для упражнения номер 1595 расположенного на странице 429 к учебнику 2014 года издания для учащихся школ и гимназий.

Теперь на нашем сайте ГДЗ.ТОП вы всегда легко и бесплатно найдёте условие с правильным ответом на вопрос «Как решить ДЗ» и «Как сделать» задание по алгебре к упражнению №1595 (с. 429), авторов: Алимов (Шавкат Арифджанович), Колягин (Юрий Михайлович), Ткачева (Мария Владимировна), Федорова (Надежда Евгеньевна), Шабунин (Михаил Иванович), ФГОС (старый) базовый и углублённый уровень обучения учебного пособия издательства Просвещение.