Номер 1600, страница 430 - гдз по алгебре 10-11 класс учебник Алимов, Колягин

Авторы: Алимов Ш. А., Колягин Ю. М., Ткачева М. В., Федорова Н. Е., Шабунин М. И.
Тип: Учебник
Издательство: Просвещение
Год издания: 2014 - 2025
Уровень обучения: базовый и углублённый
Цвет обложки: синий, фиолетовый
ISBN: 978-5-09-112136-0
Допущено Министерством просвещения Российской Федерации
Математика: алгебра и начала математического анализа, геометрия
Популярные ГДЗ в 10 классе
Задачи для внеклассной работы - номер 1600, страница 430.
№1600 (с. 430)
Условие. №1600 (с. 430)
скриншот условия

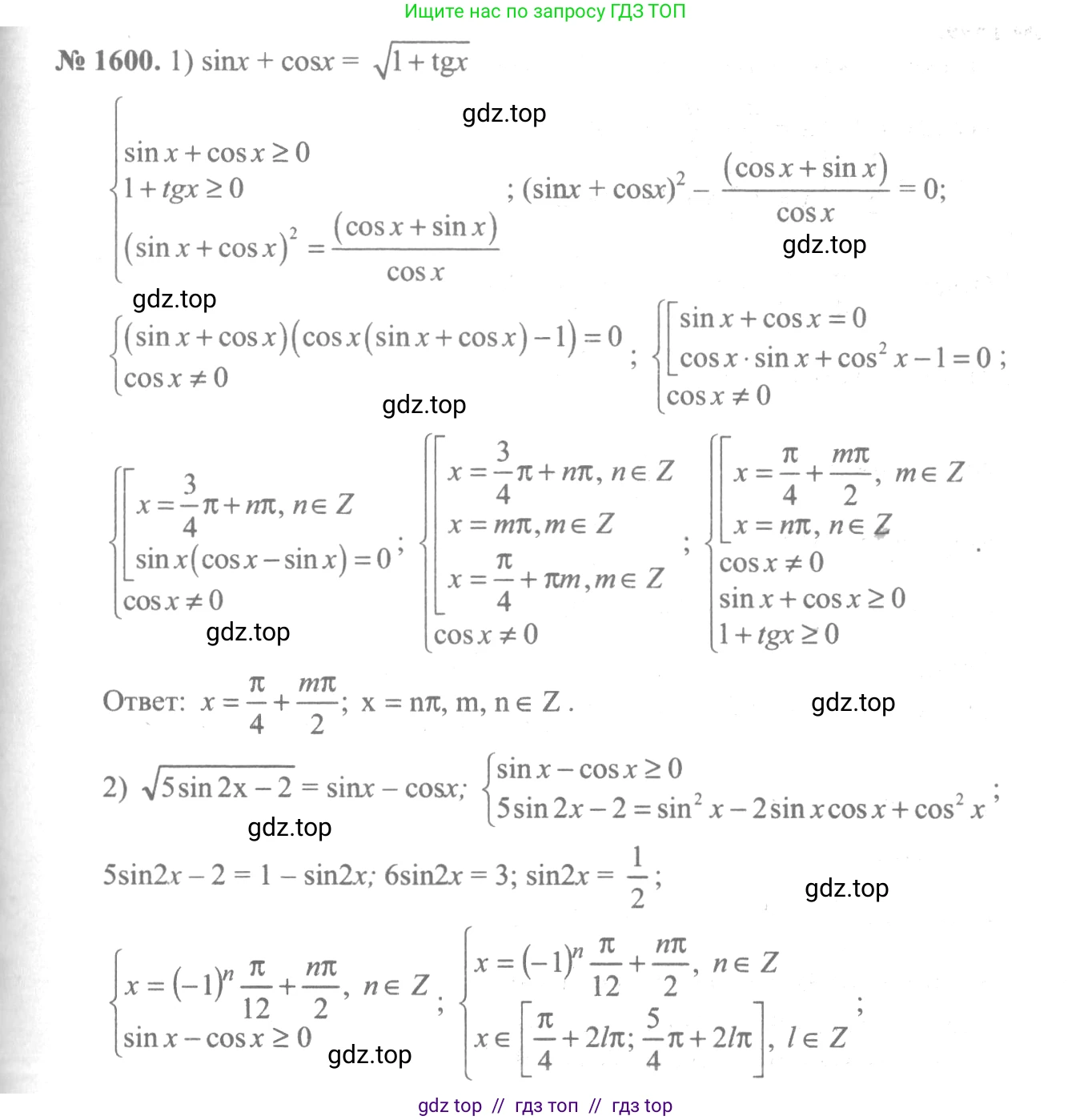
1600 1) $ \sin x + \cos x = \sqrt{1 + \operatorname{tg} x}; $
2) $ \sqrt{5 \sin 2x - 2} = \sin x - \cos x. $
Решение 1. №1600 (с. 430)


Решение 2. №1600 (с. 430)

Решение 7. №1600 (с. 430)



Решение 8. №1600 (с. 430)
1) $\sin x + \cos x = \sqrt{1 + \tg x}$
Найдем область допустимых значений (ОДЗ). Выражение под корнем и левая часть уравнения должны быть неотрицательными. Также тангенс должен быть определен.
$\begin{cases} 1 + \tg x \ge 0 \\ \sin x + \cos x \ge 0 \\ \cos x \ne 0 \end{cases}$
Из первого неравенства получаем $\tg x \ge -1$.
Второе неравенство преобразуем: $\sqrt{2}(\frac{1}{\sqrt{2}}\sin x + \frac{1}{\sqrt{2}}\cos x) \ge 0 \implies \sqrt{2}\sin(x+\frac{\pi}{4}) \ge 0 \implies \sin(x+\frac{\pi}{4}) \ge 0$.
Возведем обе части исходного уравнения в квадрат, учитывая ОДЗ:
$(\sin x + \cos x)^2 = 1 + \tg x$
$\sin^2 x + 2\sin x \cos x + \cos^2 x = 1 + \frac{\sin x}{\cos x}$
$1 + \sin 2x = 1 + \frac{\sin x}{\cos x}$
$\sin 2x = \frac{\sin x}{\cos x}$
$2\sin x \cos x = \frac{\sin x}{\cos x}$
Перенесем все в левую часть и приведем к общему знаменателю:
$2\sin x \cos x - \frac{\sin x}{\cos x} = 0$
$\sin x (2\cos x - \frac{1}{\cos x}) = 0$
$\frac{\sin x (2\cos^2 x - 1)}{\cos x} = 0$
Используя формулу косинуса двойного угла $2\cos^2 x - 1 = \cos 2x$, получаем:
$\frac{\sin x \cos 2x}{\cos x} = 0$
Так как по ОДЗ $\cos x \ne 0$, то уравнение равносильно совокупности двух уравнений:
1. $\sin x = 0 \implies x = \pi n, n \in \mathbb{Z}$.
Проверим эти корни по ОДЗ.
- Если $x = 2\pi k, k \in \mathbb{Z}$: $\sin(2\pi k) + \cos(2\pi k) = 0 + 1 = 1 \ge 0$ (верно). $\tg(2\pi k) = 0$, поэтому $1 + \tg(2\pi k) = 1 \ge 0$ (верно). Следовательно, серия $x = 2\pi k$ является решением.
- Если $x = \pi + 2\pi k, k \in \mathbb{Z}$: $\sin(\pi + 2\pi k) + \cos(\pi + 2\pi k) = 0 - 1 = -1 < 0$. Это не удовлетворяет ОДЗ $\sin x + \cos x \ge 0$, поэтому это посторонние корни.
2. $\cos 2x = 0 \implies 2x = \frac{\pi}{2} + \pi n \implies x = \frac{\pi}{4} + \frac{\pi n}{2}, n \in \mathbb{Z}$.
Проверим эти корни по ОДЗ $\sin(x+\frac{\pi}{4}) \ge 0$ и $\tg x \ge -1$.
- При $n=0$: $x = \frac{\pi}{4}$. $\sin(\frac{\pi}{4}+\frac{\pi}{4}) = \sin(\frac{\pi}{2})=1 \ge 0$. $\tg(\frac{\pi}{4})=1 \ge -1$. Корень подходит. Серия: $x = \frac{\pi}{4} + 2\pi k$.
- При $n=1$: $x = \frac{\pi}{4} + \frac{\pi}{2} = \frac{3\pi}{4}$. $\sin(\frac{3\pi}{4}+\frac{\pi}{4}) = \sin(\pi)=0 \ge 0$. $\tg(\frac{3\pi}{4})=-1 \ge -1$. Корень подходит. Серия: $x = \frac{3\pi}{4} + 2\pi k$.
- При $n=2$: $x = \frac{\pi}{4} + \pi = \frac{5\pi}{4}$. $\sin(\frac{5\pi}{4}+\frac{\pi}{4}) = \sin(\frac{3\pi}{2})=-1 < 0$. Не удовлетворяет ОДЗ.
- При $n=3$: $x = \frac{\pi}{4} + \frac{3\pi}{2} = \frac{7\pi}{4}$. $\sin(\frac{7\pi}{4}+\frac{\pi}{4}) = \sin(2\pi)=0 \ge 0$. $\tg(\frac{7\pi}{4})=-1 \ge -1$. Корень подходит. Серия: $x = \frac{7\pi}{4} + 2\pi k = -\frac{\pi}{4} + 2\pi(k+1)$.
Объединим полученные решения. Серии $x = \frac{3\pi}{4} + 2\pi k$ и $x = -\frac{\pi}{4} + 2\pi k$ можно записать как одну серию $x = -\frac{\pi}{4} + \pi n$, где $n \in \mathbb{Z}$.
Ответ: $x=2\pi k, \quad x=\frac{\pi}{4}+2\pi k, \quad x=-\frac{\pi}{4}+\pi n, \quad \text{где } k, n \in \mathbb{Z}$.
2) $\sqrt{5 \sin 2x - 2} = \sin x - \cos x$
Найдем область допустимых значений (ОДЗ):
$\begin{cases} 5 \sin 2x - 2 \ge 0 \\ \sin x - \cos x \ge 0 \end{cases}$
Из первого неравенства: $\sin 2x \ge \frac{2}{5}$.
Из второго неравенства: $\sqrt{2}(\frac{1}{\sqrt{2}}\sin x - \frac{1}{\sqrt{2}}\cos x) \ge 0 \implies \sqrt{2}\sin(x-\frac{\pi}{4}) \ge 0 \implies \sin(x-\frac{\pi}{4}) \ge 0$.
Это неравенство выполняется при $x - \frac{\pi}{4} \in [2\pi k, \pi + 2\pi k]$, то есть $x \in [\frac{\pi}{4} + 2\pi k, \frac{5\pi}{4} + 2\pi k], k \in \mathbb{Z}$.
Возведем обе части исходного уравнения в квадрат:
$5 \sin 2x - 2 = (\sin x - \cos x)^2$
$5 \sin 2x - 2 = \sin^2 x - 2\sin x \cos x + \cos^2 x$
$5 \sin 2x - 2 = 1 - \sin 2x$
$6 \sin 2x = 3$
$\sin 2x = \frac{1}{2}$
Это значение удовлетворяет первому условию ОДЗ, так как $\frac{1}{2} = 0.5$, а $\frac{2}{5} = 0.4$, и $0.5 > 0.4$.
Найдем $x$ из уравнения $\sin 2x = \frac{1}{2}$. Получаем две серии решений для $2x$:
1) $2x = \frac{\pi}{6} + 2\pi n \implies x = \frac{\pi}{12} + \pi n, n \in \mathbb{Z}$.
2) $2x = \frac{5\pi}{6} + 2\pi n \implies x = \frac{5\pi}{12} + \pi n, n \in \mathbb{Z}$.
Теперь проверим найденные серии решений на соответствие второму условию ОДЗ: $x \in [\frac{\pi}{4} + 2\pi k, \frac{5\pi}{4} + 2\pi k]$.
Для удобства сравнения перепишем интервал в долях $\pi/12$: $[\frac{3\pi}{12} + 2\pi k, \frac{15\pi}{12} + 2\pi k]$.
Для серии $x = \frac{\pi}{12} + \pi n$:
- Если $n$ четное ($n=2k$): $x = \frac{\pi}{12} + 2\pi k$. Этот корень не входит в интервал, так как $\frac{\pi}{12} < \frac{3\pi}{12}$.
- Если $n$ нечетное ($n=2k+1$): $x = \frac{\pi}{12} + \pi(2k+1) = \frac{13\pi}{12} + 2\pi k$. Этот корень входит в интервал, так как $\frac{3\pi}{12} \le \frac{13\pi}{12} \le \frac{15\pi}{12}$. Эта серия является решением.
Для серии $x = \frac{5\pi}{12} + \pi n$:
- Если $n$ четное ($n=2k$): $x = \frac{5\pi}{12} + 2\pi k$. Этот корень входит в интервал, так как $\frac{3\pi}{12} \le \frac{5\pi}{12} \le \frac{15\pi}{12}$. Эта серия является решением.
- Если $n$ нечетное ($n=2k+1$): $x = \frac{5\pi}{12} + \pi(2k+1) = \frac{17\pi}{12} + 2\pi k$. Этот корень не входит в интервал, так как $\frac{17\pi}{12} > \frac{15\pi}{12}$.
Ответ: $x = \frac{5\pi}{12} + 2\pi k, \quad x = \frac{13\pi}{12} + 2\pi k, \quad \text{где } k \in \mathbb{Z}$.
Другие задания:
Помогло решение? Оставьте отзыв в комментариях ниже.
Мы подготовили для вас ответ c подробным объяснением домашего задания по алгебре за 10-11 класс, для упражнения номер 1600 расположенного на странице 430 к учебнику 2014 года издания для учащихся школ и гимназий.
Теперь на нашем сайте ГДЗ.ТОП вы всегда легко и бесплатно найдёте условие с правильным ответом на вопрос «Как решить ДЗ» и «Как сделать» задание по алгебре к упражнению №1600 (с. 430), авторов: Алимов (Шавкат Арифджанович), Колягин (Юрий Михайлович), Ткачева (Мария Владимировна), Федорова (Надежда Евгеньевна), Шабунин (Михаил Иванович), ФГОС (старый) базовый и углублённый уровень обучения учебного пособия издательства Просвещение.