Номер 1606, страница 430 - гдз по алгебре 10-11 класс учебник Алимов, Колягин

Алгебра, 10-11 класс Учебник, авторы: Алимов Шавкат Арифджанович, Колягин Юрий Михайлович, Ткачева Мария Владимировна, Федорова Надежда Евгеньевна, Шабунин Михаил Иванович, издательство Просвещение, Москва, 2014

Авторы: Алимов Ш. А., Колягин Ю. М., Ткачева М. В., Федорова Н. Е., Шабунин М. И.

Тип: Учебник

Издательство: Просвещение

Год издания: 2014 - 2025

Уровень обучения: базовый и углублённый

Цвет обложки: синий, фиолетовый

ISBN: 978-5-09-112136-0

Допущено Министерством просвещения Российской Федерации

Математика: алгебра и начала математического анализа, геометрия

Популярные ГДЗ в 10 классе

Задачи для внеклассной работы - номер 1606, страница 430.

№1606 (с. 430)
Условие. №1606 (с. 430)
скриншот условия
Алгебра, 10-11 класс Учебник, авторы: Алимов Шавкат Арифджанович, Колягин Юрий Михайлович, Ткачева Мария Владимировна, Федорова Надежда Евгеньевна, Шабунин Михаил Иванович, издательство Просвещение, Москва, 2014, страница 430, номер 1606, Условие

Решить систему уравнений (1606–1608).

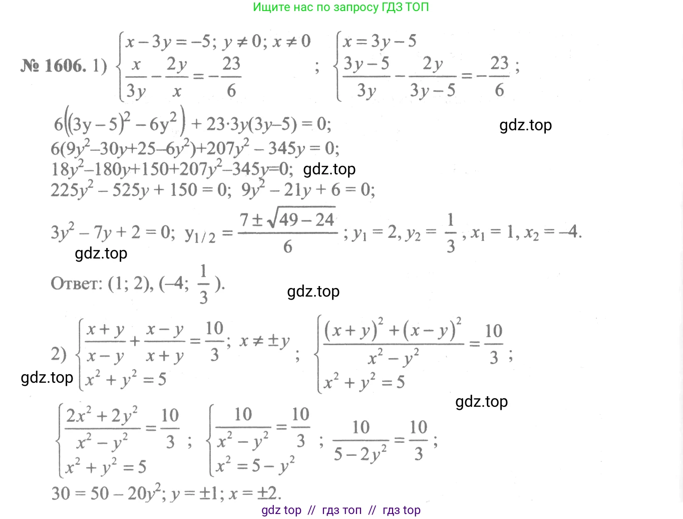
1606 1)

$$\begin{cases}x - 3y = -5, \\\frac{x}{3y} - \frac{2y}{x} = -\frac{23}{6};\end{cases}$$

2) $$\begin{cases}\frac{x+y}{x-y} + \frac{x-y}{x+y} = \frac{10}{3}, \\x^2 + y^2 = 5.\end{cases}$$

Решение 1. №1606 (с. 430)
Алгебра, 10-11 класс Учебник, авторы: Алимов Шавкат Арифджанович, Колягин Юрий Михайлович, Ткачева Мария Владимировна, Федорова Надежда Евгеньевна, Шабунин Михаил Иванович, издательство Просвещение, Москва, 2014, страница 430, номер 1606, Решение 1
Алгебра, 10-11 класс Учебник, авторы: Алимов Шавкат Арифджанович, Колягин Юрий Михайлович, Ткачева Мария Владимировна, Федорова Надежда Евгеньевна, Шабунин Михаил Иванович, издательство Просвещение, Москва, 2014, страница 430, номер 1606, Решение 1 (продолжение 2)
Решение 2. №1606 (с. 430)
Алгебра, 10-11 класс Учебник, авторы: Алимов Шавкат Арифджанович, Колягин Юрий Михайлович, Ткачева Мария Владимировна, Федорова Надежда Евгеньевна, Шабунин Михаил Иванович, издательство Просвещение, Москва, 2014, страница 430, номер 1606, Решение 2
Алгебра, 10-11 класс Учебник, авторы: Алимов Шавкат Арифджанович, Колягин Юрий Михайлович, Ткачева Мария Владимировна, Федорова Надежда Евгеньевна, Шабунин Михаил Иванович, издательство Просвещение, Москва, 2014, страница 430, номер 1606, Решение 2 (продолжение 2)
Решение 3. №1606 (с. 430)
Алгебра, 10-11 класс Учебник, авторы: Алимов Шавкат Арифджанович, Колягин Юрий Михайлович, Ткачева Мария Владимировна, Федорова Надежда Евгеньевна, Шабунин Михаил Иванович, издательство Просвещение, Москва, 2014, страница 430, номер 1606, Решение 3
Решение 7. №1606 (с. 430)
Алгебра, 10-11 класс Учебник, авторы: Алимов Шавкат Арифджанович, Колягин Юрий Михайлович, Ткачева Мария Владимировна, Федорова Надежда Евгеньевна, Шабунин Михаил Иванович, издательство Просвещение, Москва, 2014, страница 430, номер 1606, Решение 7
Решение 8. №1606 (с. 430)

1)

Дана система уравнений:
$ \begin{cases} x-3y=-5, \\ \frac{x}{3y}-\frac{2y}{x}=-\frac{23}{6} \end{cases} $

Определим область допустимых значений (ОДЗ): из второго уравнения следует, что знаменатели не могут быть равны нулю, поэтому $x \neq 0$ и $y \neq 0$.

Во втором уравнении введем замену. Пусть $t = \frac{x}{3y}$. Тогда обратное соотношение будет $\frac{3y}{x} = \frac{1}{t}$. Выразим из него $\frac{2y}{x}$:
$\frac{2y}{x} = \frac{2}{3} \cdot \frac{3y}{x} = \frac{2}{3t}$.
Подставим замену во второе уравнение:
$t - \frac{2}{3t} = -\frac{23}{6}$

Для решения этого уравнения умножим обе его части на $6t$ (с учетом ОДЗ $t \neq 0$):
$6t \cdot t - 6t \cdot \frac{2}{3t} = 6t \cdot \left(-\frac{23}{6}\right)$
$6t^2 - 4 = -23t$
$6t^2 + 23t - 4 = 0$

Решим полученное квадратное уравнение относительно $t$ с помощью дискриминанта:
$D = b^2 - 4ac = 23^2 - 4 \cdot 6 \cdot (-4) = 529 + 96 = 625 = 25^2$.
Найдем корни:
$t_1 = \frac{-b - \sqrt{D}}{2a} = \frac{-23 - 25}{2 \cdot 6} = \frac{-48}{12} = -4$.
$t_2 = \frac{-b + \sqrt{D}}{2a} = \frac{-23 + 25}{2 \cdot 6} = \frac{2}{12} = \frac{1}{6}$.

Теперь выполним обратную замену для каждого из найденных корней.

Случай 1: $t = -4$.
$\frac{x}{3y} = -4 \implies x = -12y$.
Подставим это выражение в первое уравнение исходной системы $x-3y=-5$:
$(-12y) - 3y = -5$
$-15y = -5$
$y = \frac{1}{3}$.
Теперь найдем $x$: $x = -12 \cdot \frac{1}{3} = -4$.
Первая пара решений: $(-4; \frac{1}{3})$.

Случай 2: $t = \frac{1}{6}$.
$\frac{x}{3y} = \frac{1}{6} \implies 6x = 3y \implies y = 2x$.
Подставим это выражение в первое уравнение $x-3y=-5$:
$x - 3(2x) = -5$
$x - 6x = -5$
$-5x = -5 \implies x = 1$.
Теперь найдем $y$: $y = 2 \cdot 1 = 2$.
Вторая пара решений: $(1; 2)$.

Обе найденные пары чисел удовлетворяют ОДЗ.
Ответ: $(-4; \frac{1}{3}), (1; 2)$.


2)

Дана система уравнений:
$ \begin{cases} \frac{x+y}{x-y}+\frac{x-y}{x+y}=\frac{10}{3}, \\ x^2+y^2=5 \end{cases} $

ОДЗ: знаменатели не должны быть равны нулю, следовательно, $x-y \neq 0$ (т.е. $x \neq y$) и $x+y \neq 0$ (т.е. $x \neq -y$).

В первом уравнении введем замену: пусть $a = \frac{x+y}{x-y}$. Тогда дробь $\frac{x-y}{x+y}$ равна $\frac{1}{a}$. Уравнение принимает вид:
$a + \frac{1}{a} = \frac{10}{3}$

Умножим обе части уравнения на $3a$ (при $a \neq 0$):
$3a^2 + 3 = 10a$
$3a^2 - 10a + 3 = 0$

Решим полученное квадратное уравнение:
$D = (-10)^2 - 4 \cdot 3 \cdot 3 = 100 - 36 = 64 = 8^2$.
$a_1 = \frac{10 - 8}{2 \cdot 3} = \frac{2}{6} = \frac{1}{3}$.
$a_2 = \frac{10 + 8}{2 \cdot 3} = \frac{18}{6} = 3$.

Рассмотрим два случая, выполняя обратную замену.

Случай 1: $a = 3$.
$\frac{x+y}{x-y} = 3 \implies x+y = 3(x-y) \implies x+y = 3x-3y \implies 4y=2x \implies x=2y$.
Подставим полученное выражение во второе уравнение системы $x^2+y^2=5$:
$(2y)^2 + y^2 = 5 \implies 4y^2+y^2=5 \implies 5y^2=5 \implies y^2=1$.
Отсюда $y=1$ или $y=-1$.
Если $y=1$, то $x=2(1)=2$. Получаем решение $(2; 1)$.
Если $y=-1$, то $x=2(-1)=-2$. Получаем решение $(-2; -1)$.

Случай 2: $a = \frac{1}{3}$.
$\frac{x+y}{x-y} = \frac{1}{3} \implies 3(x+y) = x-y \implies 3x+3y = x-y \implies 2x=-4y \implies x=-2y$.
Подставим это выражение во второе уравнение системы $x^2+y^2=5$:
$(-2y)^2 + y^2 = 5 \implies 4y^2+y^2=5 \implies 5y^2=5 \implies y^2=1$.
Отсюда $y=1$ или $y=-1$.
Если $y=1$, то $x=-2(1)=-2$. Получаем решение $(-2; 1)$.
Если $y=-1$, то $x=-2(-1)=2$. Получаем решение $(2; -1)$.

Все четыре найденные пары чисел удовлетворяют ОДЗ.
Ответ: $(2; 1), (-2; -1), (-2; 1), (2; -1)$.

Помогло решение? Оставьте отзыв в комментариях ниже.

Присоединяйтесь к Телеграм-группе @top_gdz

Присоединиться

Мы подготовили для вас ответ c подробным объяснением домашего задания по алгебре за 10-11 класс, для упражнения номер 1606 расположенного на странице 430 к учебнику 2014 года издания для учащихся школ и гимназий.

Теперь на нашем сайте ГДЗ.ТОП вы всегда легко и бесплатно найдёте условие с правильным ответом на вопрос «Как решить ДЗ» и «Как сделать» задание по алгебре к упражнению №1606 (с. 430), авторов: Алимов (Шавкат Арифджанович), Колягин (Юрий Михайлович), Ткачева (Мария Владимировна), Федорова (Надежда Евгеньевна), Шабунин (Михаил Иванович), ФГОС (старый) базовый и углублённый уровень обучения учебного пособия издательства Просвещение.