Номер 1609, страница 430 - гдз по алгебре 10-11 класс учебник Алимов, Колягин

Алгебра, 10-11 класс Учебник, авторы: Алимов Шавкат Арифджанович, Колягин Юрий Михайлович, Ткачева Мария Владимировна, Федорова Надежда Евгеньевна, Шабунин Михаил Иванович, издательство Просвещение, Москва, 2014

Авторы: Алимов Ш. А., Колягин Ю. М., Ткачева М. В., Федорова Н. Е., Шабунин М. И.

Тип: Учебник

Издательство: Просвещение

Год издания: 2014 - 2026

Уровень обучения: базовый и углублённый

Цвет обложки: синий, фиолетовый

ISBN: 978-5-09-112136-0

Допущено Министерством просвещения Российской Федерации

Математика: алгебра и начала математического анализа, геометрия

Популярные ГДЗ в 10 классе

Задачи для внеклассной работы - номер 1609, страница 430.

№1609 (с. 430)
Условие. №1609 (с. 430)
скриншот условия
Алгебра, 10-11 класс Учебник, авторы: Алимов Шавкат Арифджанович, Колягин Юрий Михайлович, Ткачева Мария Владимировна, Федорова Надежда Евгеньевна, Шабунин Михаил Иванович, издательство Просвещение, Москва, 2014, страница 430, номер 1609, Условие

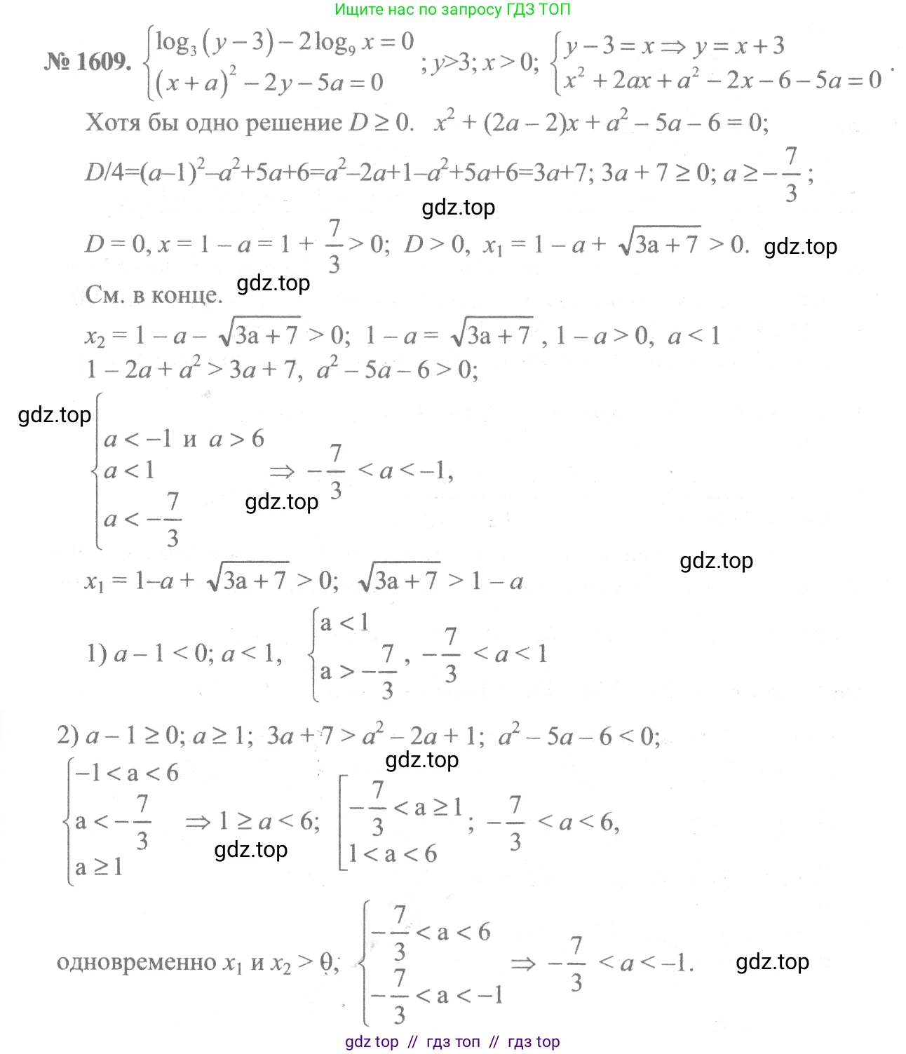
1609 При каких значениях $a$ система уравнений

$\begin{cases} \log_3 (y-3) - 2 \log_9 x = 0, \\ (x+a)^2 - 2y - 5a = 0 \end{cases}$

имеет хотя бы одно решение?

Решение 1. №1609 (с. 430)
Алгебра, 10-11 класс Учебник, авторы: Алимов Шавкат Арифджанович, Колягин Юрий Михайлович, Ткачева Мария Владимировна, Федорова Надежда Евгеньевна, Шабунин Михаил Иванович, издательство Просвещение, Москва, 2014, страница 430, номер 1609, Решение 1
Решение 2. №1609 (с. 430)
Алгебра, 10-11 класс Учебник, авторы: Алимов Шавкат Арифджанович, Колягин Юрий Михайлович, Ткачева Мария Владимировна, Федорова Надежда Евгеньевна, Шабунин Михаил Иванович, издательство Просвещение, Москва, 2014, страница 430, номер 1609, Решение 2
Алгебра, 10-11 класс Учебник, авторы: Алимов Шавкат Арифджанович, Колягин Юрий Михайлович, Ткачева Мария Владимировна, Федорова Надежда Евгеньевна, Шабунин Михаил Иванович, издательство Просвещение, Москва, 2014, страница 430, номер 1609, Решение 2 (продолжение 2)
Решение 3. №1609 (с. 430)
Алгебра, 10-11 класс Учебник, авторы: Алимов Шавкат Арифджанович, Колягин Юрий Михайлович, Ткачева Мария Владимировна, Федорова Надежда Евгеньевна, Шабунин Михаил Иванович, издательство Просвещение, Москва, 2014, страница 430, номер 1609, Решение 3
Решение 7. №1609 (с. 430)
Алгебра, 10-11 класс Учебник, авторы: Алимов Шавкат Арифджанович, Колягин Юрий Михайлович, Ткачева Мария Владимировна, Федорова Надежда Евгеньевна, Шабунин Михаил Иванович, издательство Просвещение, Москва, 2014, страница 430, номер 1609, Решение 7
Алгебра, 10-11 класс Учебник, авторы: Алимов Шавкат Арифджанович, Колягин Юрий Михайлович, Ткачева Мария Владимировна, Федорова Надежда Евгеньевна, Шабунин Михаил Иванович, издательство Просвещение, Москва, 2014, страница 430, номер 1609, Решение 7 (продолжение 2)
Решение 8. №1609 (с. 430)

Данная система уравнений: $$ \begin{cases} \log_3(y - 3) - 2 \log_9 x = 0, \\ (x + a)^2 - 2y - 5a = 0 \end{cases} $$

1. Найдем область допустимых значений (ОДЗ).
Аргументы логарифмов должны быть строго положительными: $$ \begin{cases} y - 3 > 0 \\ x > 0 \end{cases} \implies \begin{cases} y > 3 \\ x > 0 \end{cases} $$

2. Упростим первое уравнение системы.
Используем формулу перехода к новому основанию для логарифма: $\log_b c = \frac{\log_d c}{\log_d b}$.
Приведем $\log_9 x$ к основанию 3: $$ \log_9 x = \frac{\log_3 x}{\log_3 9} = \frac{\log_3 x}{2} $$ Подставим это в первое уравнение: $$ \log_3(y - 3) - 2 \left(\frac{\log_3 x}{2}\right) = 0 $$ $$ \log_3(y - 3) - \log_3 x = 0 $$ $$ \log_3(y - 3) = \log_3 x $$ Так как логарифмическая функция является монотонной, мы можем приравнять аргументы: $$ y - 3 = x $$ $$ y = x + 3 $$ Заметим, что условие ОДЗ $y > 3$ эквивалентно условию $x + 3 > 3$, что означает $x > 0$. Таким образом, ОДЗ системы сводится к одному условию: $x > 0$.

3. Подставим выражение для y во второе уравнение.
Заменим $y$ на $x + 3$ во втором уравнении системы: $$ (x + a)^2 - 2(x + 3) - 5a = 0 $$ Раскроем скобки и приведем подобные слагаемые, чтобы получить квадратное уравнение относительно $x$: $$ x^2 + 2ax + a^2 - 2x - 6 - 5a = 0 $$ $$ x^2 + (2a - 2)x + (a^2 - 5a - 6) = 0 $$

4. Найдем условия, при которых полученное квадратное уравнение имеет хотя бы одно положительное решение.
Задача свелась к нахождению таких значений параметра $a$, при которых квадратное уравнение $x^2 + 2(a - 1)x + (a^2 - 5a - 6) = 0$ имеет хотя бы один корень $x > 0$.
Пусть $f(x) = x^2 + (2a - 2)x + (a^2 - 5a - 6)$. Это парабола с ветвями, направленными вверх. Рассмотрим возможные случаи расположения корней $x_1$ и $x_2$.

Случай 1: Уравнение имеет два корня разных знаков ($x_1 > 0$, $x_2 < 0$).
Это условие выполняется, если произведение корней отрицательно. По теореме Виета, произведение корней $x_1 x_2 = a^2 - 5a - 6$. $$ a^2 - 5a - 6 < 0 $$ $$ (a - 6)(a + 1) < 0 $$ Решением этого неравенства является интервал $a \in (-1, 6)$.

Случай 2: Уравнение имеет один корень равный нулю, а второй — положительный ($x_1 = 0$, $x_2 > 0$).
Если один из корней равен нулю, то свободный член уравнения равен нулю: $a^2 - 5a - 6 = 0$. Это дает $a = 6$ или $a = -1$. Сумма корней по теореме Виета: $x_1 + x_2 = -(2a - 2) = 2 - 2a$. Так как $x_1 = 0$, то $x_2 = 2 - 2a$. Нам нужно, чтобы $x_2 > 0$: $$ 2 - 2a > 0 \implies 2a < 2 \implies a < 1 $$ Из двух найденных значений $a = 6$ и $a = -1$ только $a = -1$ удовлетворяет условию $a < 1$.

Случай 3: Уравнение имеет два положительных корня ($x_1 > 0$, $x_2 > 0$), включая случай совпадающих корней ($x_1 = x_2 > 0$).
Это требует выполнения трех условий:

  1. Дискриминант должен быть неотрицательным (корни существуют и они действительные): $D \ge 0$.
  2. Произведение корней должно быть положительным (оба корня одного знака): $x_1 x_2 > 0$. (Случай $x_1x_2=0$ рассмотрен отдельно).
  3. Сумма корней должна быть положительной (этот знак и будет у корней): $x_1 + x_2 > 0$.

Найдем дискриминант: $$ D = (2a - 2)^2 - 4(a^2 - 5a - 6) = 4(a^2 - 2a + 1) - 4a^2 + 20a + 24 = 4a^2 - 8a + 4 - 4a^2 + 20a + 24 = 12a + 28 $$ 1. $D \ge 0 \implies 12a + 28 \ge 0 \implies 12a \ge -28 \implies a \ge -\frac{28}{12} \implies a \ge -\frac{7}{3}$.
2. $x_1 x_2 = a^2 - 5a - 6 > 0 \implies (a - 6)(a + 1) > 0 \implies a \in (-\infty, -1) \cup (6, \infty)$.
3. $x_1 + x_2 = 2 - 2a > 0 \implies 2a < 2 \implies a < 1$.
Найдем пересечение всех трех условий: $$ \begin{cases} a \ge -7/3 \\ a \in (-\infty, -1) \cup (6, \infty) \\ a < 1 \end{cases} $$ Из второго и третьего условий получаем $a \in (-\infty, -1)$. Пересекая это с первым условием $a \ge -7/3$, получаем $a \in [-7/3, -1)$. Если $a = -7/3$, $D=0$ и корень $x = 1-a = 1 - (-7/3) = 10/3 > 0$. Если $a = -1$, произведение корней равно 0, этот случай мы уже рассмотрели. Таким образом, для этого случая получаем $a \in [-7/3, -1)$.

5. Объединим все найденные значения a.
Система имеет хотя бы одно решение, если $a$ принадлежит объединению множеств, полученных в трех случаях:

  • Случай 1: $a \in (-1, 6)$
  • Случай 2: $a = -1$
  • Случай 3: $a \in [-7/3, -1)$

Объединяя эти множества, получаем: $$ [-7/3, -1) \cup \{-1\} \cup (-1, 6) = [-7/3, 6) $$

Ответ: $a \in [-7/3, 6)$.

Помогло решение? Оставьте отзыв в комментариях ниже.

Присоединяйтесь к Телеграм-группе @top_gdz

Присоединиться

Мы подготовили для вас ответ c подробным объяснением домашего задания по алгебре за 10-11 класс, для упражнения номер 1609 расположенного на странице 430 к учебнику 2014 года издания для учащихся школ и гимназий.

Теперь на нашем сайте ГДЗ.ТОП вы всегда легко и бесплатно найдёте условие с правильным ответом на вопрос «Как решить ДЗ» и «Как сделать» задание по алгебре к упражнению №1609 (с. 430), авторов: Алимов (Шавкат Арифджанович), Колягин (Юрий Михайлович), Ткачева (Мария Владимировна), Федорова (Надежда Евгеньевна), Шабунин (Михаил Иванович), ФГОС (старый) базовый и углублённый уровень обучения учебного пособия издательства Просвещение.