Номер 1603, страница 430 - гдз по алгебре 10-11 класс учебник Алимов, Колягин

Алгебра, 10-11 класс Учебник, авторы: Алимов Шавкат Арифджанович, Колягин Юрий Михайлович, Ткачева Мария Владимировна, Федорова Надежда Евгеньевна, Шабунин Михаил Иванович, издательство Просвещение, Москва, 2014

Авторы: Алимов Ш. А., Колягин Ю. М., Ткачева М. В., Федорова Н. Е., Шабунин М. И.

Тип: Учебник

Издательство: Просвещение

Год издания: 2014 - 2025

Уровень обучения: базовый и углублённый

Цвет обложки: синий, фиолетовый

ISBN: 978-5-09-112136-0

Допущено Министерством просвещения Российской Федерации

Математика: алгебра и начала математического анализа, геометрия

Популярные ГДЗ в 10 классе

Задачи для внеклассной работы - номер 1603, страница 430.

№1603 (с. 430)
Условие. №1603 (с. 430)
скриншот условия
Алгебра, 10-11 класс Учебник, авторы: Алимов Шавкат Арифджанович, Колягин Юрий Михайлович, Ткачева Мария Владимировна, Федорова Надежда Евгеньевна, Шабунин Михаил Иванович, издательство Просвещение, Москва, 2014, страница 430, номер 1603, Условие

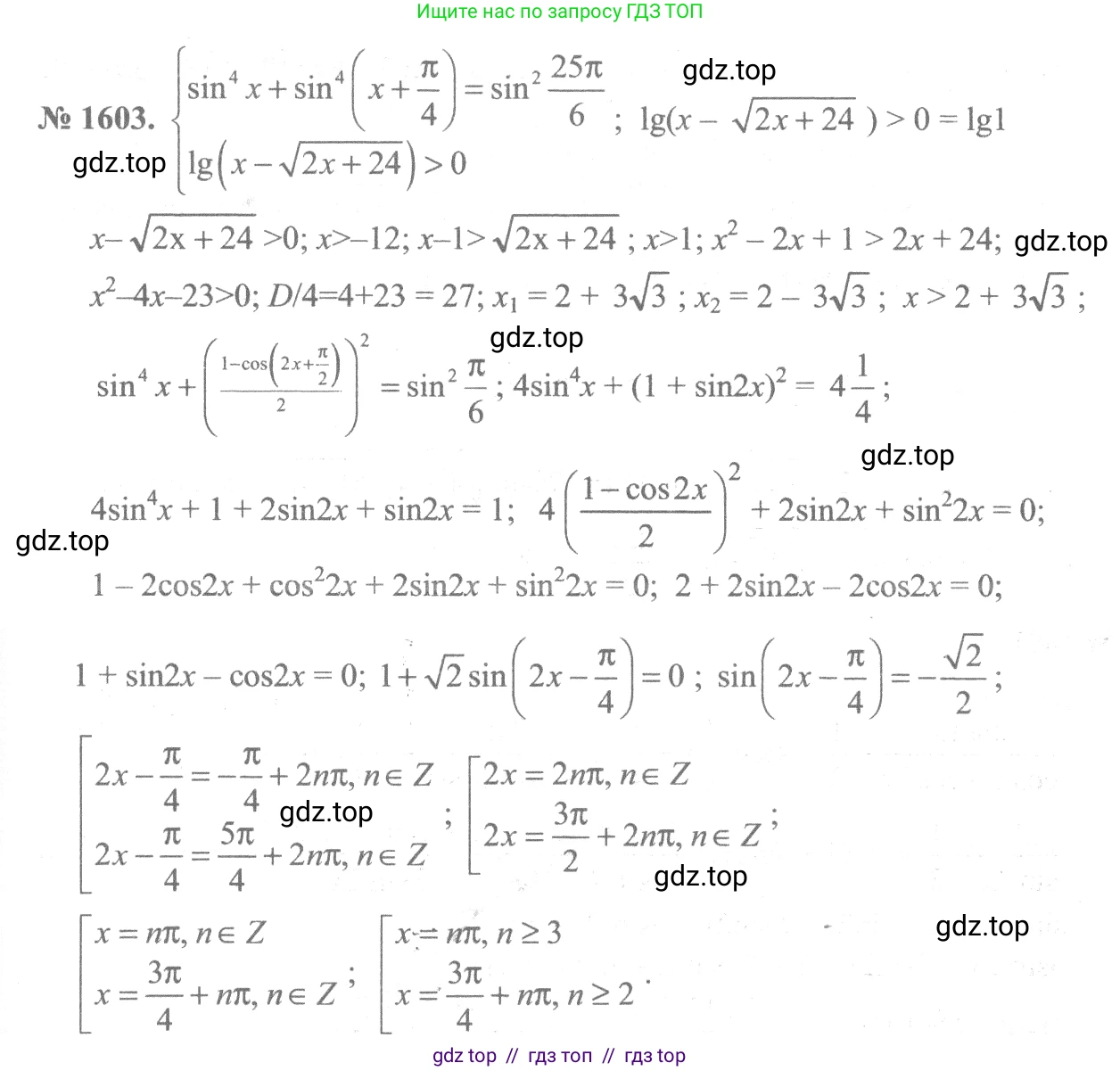
1603 Найти все корни уравнения $\sin^4 x + \sin^4 \left(x + \frac{\pi}{4}\right) = \sin^2 \frac{25\pi}{6}$, удовлетворяющие неравенству $\lg \left(x - \sqrt{2x + 24}\right) > 0$.

Решение 1. №1603 (с. 430)
Алгебра, 10-11 класс Учебник, авторы: Алимов Шавкат Арифджанович, Колягин Юрий Михайлович, Ткачева Мария Владимировна, Федорова Надежда Евгеньевна, Шабунин Михаил Иванович, издательство Просвещение, Москва, 2014, страница 430, номер 1603, Решение 1
Решение 2. №1603 (с. 430)
Алгебра, 10-11 класс Учебник, авторы: Алимов Шавкат Арифджанович, Колягин Юрий Михайлович, Ткачева Мария Владимировна, Федорова Надежда Евгеньевна, Шабунин Михаил Иванович, издательство Просвещение, Москва, 2014, страница 430, номер 1603, Решение 2
Решение 3. №1603 (с. 430)
Алгебра, 10-11 класс Учебник, авторы: Алимов Шавкат Арифджанович, Колягин Юрий Михайлович, Ткачева Мария Владимировна, Федорова Надежда Евгеньевна, Шабунин Михаил Иванович, издательство Просвещение, Москва, 2014, страница 430, номер 1603, Решение 3
Решение 7. №1603 (с. 430)
Алгебра, 10-11 класс Учебник, авторы: Алимов Шавкат Арифджанович, Колягин Юрий Михайлович, Ткачева Мария Владимировна, Федорова Надежда Евгеньевна, Шабунин Михаил Иванович, издательство Просвещение, Москва, 2014, страница 430, номер 1603, Решение 7
Алгебра, 10-11 класс Учебник, авторы: Алимов Шавкат Арифджанович, Колягин Юрий Михайлович, Ткачева Мария Владимировна, Федорова Надежда Евгеньевна, Шабунин Михаил Иванович, издательство Просвещение, Москва, 2014, страница 430, номер 1603, Решение 7 (продолжение 2)
Решение 8. №1603 (с. 430)

Задача состоит из двух последовательных частей: сначала необходимо решить тригонометрическое уравнение, а затем из найденных корней отобрать те, которые удовлетворяют заданному логарифмическому неравенству.

Решение тригонометрического уравнения

Рассмотрим уравнение $ \sin^4 x + \sin^4 (x + \frac{\pi}{4}) = \sin^2 \frac{25\pi}{6} $.

Вначале упростим правую часть. Аргумент синуса можно представить в виде $ \frac{25\pi}{6} = \frac{24\pi + \pi}{6} = 4\pi + \frac{\pi}{6} $. Учитывая, что период функции синус составляет $2\pi$, получаем:

$ \sin\left(\frac{25\pi}{6}\right) = \sin\left(4\pi + \frac{\pi}{6}\right) = \sin\left(\frac{\pi}{6}\right) = \frac{1}{2} $.

Следовательно, правая часть уравнения равна $ \sin^2 \frac{25\pi}{6} = \left(\frac{1}{2}\right)^2 = \frac{1}{4} $. Уравнение принимает вид:

$ \sin^4 x + \sin^4 \left(x + \frac{\pi}{4}\right) = \frac{1}{4} $.

Для преобразования левой части воспользуемся формулой понижения степени $ \sin^2 \alpha = \frac{1 - \cos(2\alpha)}{2} $. Тогда:

$ \sin^4 \alpha = \left(\frac{1 - \cos(2\alpha)}{2}\right)^2 = \frac{1 - 2\cos(2\alpha) + \cos^2(2\alpha)}{4} $.

Применив также формулу $ \cos^2(2\alpha) = \frac{1 + \cos(4\alpha)}{2} $, получим окончательное выражение для четвертой степени синуса:

$ \sin^4 \alpha = \frac{1}{4} \left(1 - 2\cos(2\alpha) + \frac{1 + \cos(4\alpha)}{2}\right) = \frac{3 - 4\cos(2\alpha) + \cos(4\alpha)}{8} $.

Применим эту формулу к обоим слагаемым в левой части исходного уравнения.

Для $ \sin^4 x $ имеем: $ \frac{3 - 4\cos(2x) + \cos(4x)}{8} $.

Для $ \sin^4(x + \frac{\pi}{4}) $, где $ \alpha = x + \frac{\pi}{4} $, имеем $ 2\alpha = 2x + \frac{\pi}{2} $ и $ 4\alpha = 4x + \pi $. Тогда:

$ \cos(2\alpha) = \cos(2x + \frac{\pi}{2}) = -\sin(2x) $

$ \cos(4\alpha) = \cos(4x + \pi) = -\cos(4x) $

Следовательно, $ \sin^4(x + \frac{\pi}{4}) = \frac{3 - 4(-\sin(2x)) - \cos(4x)}{8} = \frac{3 + 4\sin(2x) - \cos(4x)}{8} $.

Подставим полученные выражения в уравнение:

$ \frac{3 - 4\cos(2x) + \cos(4x)}{8} + \frac{3 + 4\sin(2x) - \cos(4x)}{8} = \frac{1}{4} $.

Умножим обе части уравнения на 8:

$ 3 - 4\cos(2x) + \cos(4x) + 3 + 4\sin(2x) - \cos(4x) = 2 $.

$ 6 + 4\sin(2x) - 4\cos(2x) = 2 $.

$ 4\sin(2x) - 4\cos(2x) = -4 $.

$ \sin(2x) - \cos(2x) = -1 $.

Для решения этого уравнения умножим обе части на $ \frac{\sqrt{2}}{2} $ и применим формулу синуса разности:

$ \frac{\sqrt{2}}{2}\sin(2x) - \frac{\sqrt{2}}{2}\cos(2x) = -\frac{\sqrt{2}}{2} $.

$ \sin(2x)\cos\left(\frac{\pi}{4}\right) - \cos(2x)\sin\left(\frac{\pi}{4}\right) = -\frac{\sqrt{2}}{2} $.

$ \sin\left(2x - \frac{\pi}{4}\right) = -\frac{\sqrt{2}}{2} $.

Это уравнение имеет две серии решений ($k \in \mathbb{Z}$):

1) $ 2x - \frac{\pi}{4} = -\frac{\pi}{4} + 2\pi k \implies 2x = 2\pi k \implies x = \pi k $.

2) $ 2x - \frac{\pi}{4} = \frac{5\pi}{4} + 2\pi k \implies 2x = \frac{6\pi}{4} + 2\pi k = \frac{3\pi}{2} + 2\pi k \implies x = \frac{3\pi}{4} + \pi k $.

Таким образом, множество всех корней уравнения: $ x = \pi k $ и $ x = \frac{3\pi}{4} + \pi k $, где $k$ - любое целое число.

Решение логарифмического неравенства

Рассмотрим неравенство $ \lg(x - \sqrt{2x + 24}) > 0 $.

Поскольку основание десятичного логарифма 10 больше 1, данное неравенство равносильно системе:

$ \begin{cases} x - \sqrt{2x+24} > 1 \\ 2x+24 \ge 0 \end{cases} $.

Из второго неравенства получаем область допустимых значений: $ 2x \ge -24 \implies x \ge -12 $.

Решим первое неравенство: $ x - 1 > \sqrt{2x+24} $. Так как правая часть неотрицательна, левая часть должна быть строго положительной, то есть $ x - 1 > 0 \implies x > 1 $. При этом условии можно возвести обе части неравенства в квадрат:

$ (x-1)^2 > 2x+24 $.

$ x^2 - 2x + 1 > 2x + 24 $.

$ x^2 - 4x - 23 > 0 $.

Найдем корни соответствующего квадратного уравнения $ x^2 - 4x - 23 = 0 $ с помощью дискриминанта:

$ D = (-4)^2 - 4 \cdot 1 \cdot (-23) = 16 + 92 = 108 $, тогда $ \sqrt{D} = \sqrt{36 \cdot 3} = 6\sqrt{3} $.

$ x_{1,2} = \frac{4 \pm 6\sqrt{3}}{2} = 2 \pm 3\sqrt{3} $.

Решением неравенства $ x^2 - 4x - 23 > 0 $ является объединение интервалов $ (-\infty; 2 - 3\sqrt{3}) \cup (2 + 3\sqrt{3}; +\infty) $.

Для нахождения окончательного решения неравенства, найдем пересечение всех полученных условий:

$ \begin{cases} x \ge -12 \\ x > 1 \\ x \in (-\infty; 2 - 3\sqrt{3}) \cup (2 + 3\sqrt{3}; +\infty) \end{cases} $.

Оценим числовые значения: $ \sqrt{3} \approx 1.732 $, поэтому $ 2 - 3\sqrt{3} \approx -3.196 $ и $ 2 + 3\sqrt{3} \approx 7.196 $. Система условий сводится к:

$ \begin{cases} x > 1 \\ x < -3.196 \text{ или } x > 7.196 \end{cases} $.

Пересечением этих множеств является интервал $ x > 2 + 3\sqrt{3} $.

Отбор корней

Теперь необходимо выбрать те корни тригонометрического уравнения, которые удовлетворяют условию $ x > 2 + 3\sqrt{3} $. Используем приближенное значение $ 2 + 3\sqrt{3} \approx 7.196 $ и $ \pi \approx 3.1416 $.

Анализ серии корней $ x = \pi k $, $ k \in \mathbb{Z} $:

$ \pi k > 2 + 3\sqrt{3} \implies k > \frac{2 + 3\sqrt{3}}{\pi} \approx \frac{7.196}{3.1416} \approx 2.29 $.

Так как $k$ является целым числом, наименьшее подходящее значение $k=3$. Таким образом, решениями из этой серии являются $ x = \pi k $ при $ k \ge 3 $.

Анализ серии корней $ x = \frac{3\pi}{4} + \pi k $, $ k \in \mathbb{Z} $:

$ \frac{3\pi}{4} + \pi k > 2 + 3\sqrt{3} \implies \pi\left(k + \frac{3}{4}\right) > 2 + 3\sqrt{3} \implies k + 0.75 > \frac{2 + 3\sqrt{3}}{\pi} \approx 2.29 $.

$ k > 2.29 - 0.75 = 1.54 $.

Так как $k$ является целым числом, наименьшее подходящее значение $k=2$. Таким образом, решениями из этой серии являются $ x = \frac{3\pi}{4} + \pi k $ при $ k \ge 2 $.

Ответ: Искомыми корнями являются $x = \pi k$, где $k \in \mathbb{Z}, k \ge 3$, и $x = \frac{3\pi}{4} + \pi k$, где $k \in \mathbb{Z}, k \ge 2$.

Помогло решение? Оставьте отзыв в комментариях ниже.

Присоединяйтесь к Телеграм-группе @top_gdz

Присоединиться

Мы подготовили для вас ответ c подробным объяснением домашего задания по алгебре за 10-11 класс, для упражнения номер 1603 расположенного на странице 430 к учебнику 2014 года издания для учащихся школ и гимназий.

Теперь на нашем сайте ГДЗ.ТОП вы всегда легко и бесплатно найдёте условие с правильным ответом на вопрос «Как решить ДЗ» и «Как сделать» задание по алгебре к упражнению №1603 (с. 430), авторов: Алимов (Шавкат Арифджанович), Колягин (Юрий Михайлович), Ткачева (Мария Владимировна), Федорова (Надежда Евгеньевна), Шабунин (Михаил Иванович), ФГОС (старый) базовый и углублённый уровень обучения учебного пособия издательства Просвещение.