Номер 1605, страница 430 - гдз по алгебре 10-11 класс учебник Алимов, Колягин

Алгебра, 10-11 класс Учебник, авторы: Алимов Шавкат Арифджанович, Колягин Юрий Михайлович, Ткачева Мария Владимировна, Федорова Надежда Евгеньевна, Шабунин Михаил Иванович, издательство Просвещение, Москва, 2014

Авторы: Алимов Ш. А., Колягин Ю. М., Ткачева М. В., Федорова Н. Е., Шабунин М. И.

Тип: Учебник

Издательство: Просвещение

Год издания: 2014 - 2026

Уровень обучения: базовый и углублённый

Цвет обложки: синий, фиолетовый

ISBN: 978-5-09-112136-0

Допущено Министерством просвещения Российской Федерации

Математика: алгебра и начала математического анализа, геометрия

Популярные ГДЗ в 10 классе

Задачи для внеклассной работы - номер 1605, страница 430.

№1605 (с. 430)
Условие. №1605 (с. 430)
скриншот условия
Алгебра, 10-11 класс Учебник, авторы: Алимов Шавкат Арифджанович, Колягин Юрий Михайлович, Ткачева Мария Владимировна, Федорова Надежда Евгеньевна, Шабунин Михаил Иванович, издательство Просвещение, Москва, 2014, страница 430, номер 1605, Условие

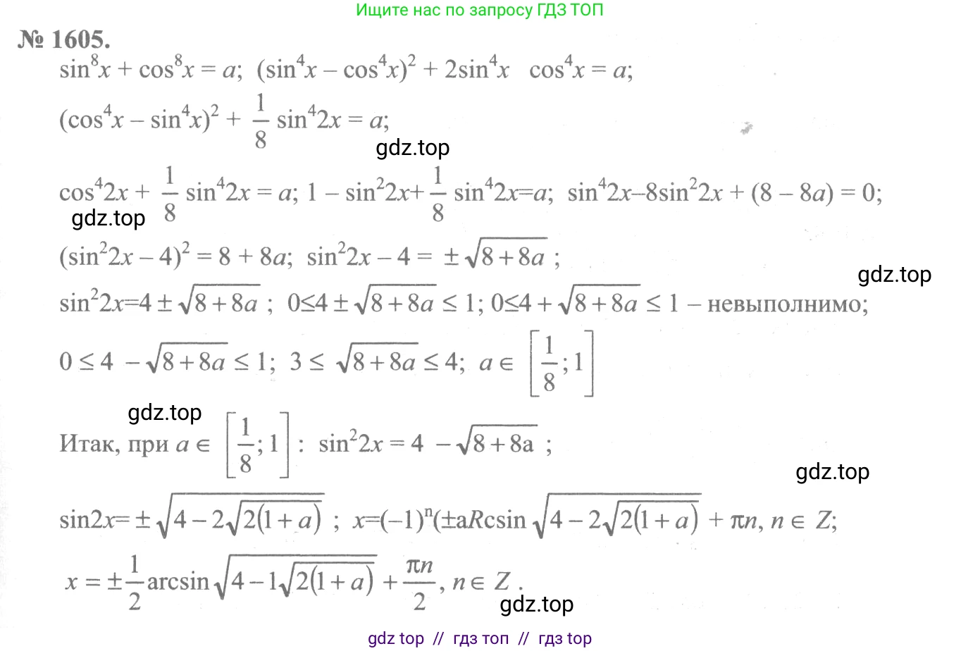
1605 Найти все значения $a$, при которых уравнение $ \sin^8 x + \cos^8 x = a $ имеет корни, и решить это уравнение.

Решение 1. №1605 (с. 430)
Алгебра, 10-11 класс Учебник, авторы: Алимов Шавкат Арифджанович, Колягин Юрий Михайлович, Ткачева Мария Владимировна, Федорова Надежда Евгеньевна, Шабунин Михаил Иванович, издательство Просвещение, Москва, 2014, страница 430, номер 1605, Решение 1
Решение 2. №1605 (с. 430)
Алгебра, 10-11 класс Учебник, авторы: Алимов Шавкат Арифджанович, Колягин Юрий Михайлович, Ткачева Мария Владимировна, Федорова Надежда Евгеньевна, Шабунин Михаил Иванович, издательство Просвещение, Москва, 2014, страница 430, номер 1605, Решение 2
Решение 3. №1605 (с. 430)
Алгебра, 10-11 класс Учебник, авторы: Алимов Шавкат Арифджанович, Колягин Юрий Михайлович, Ткачева Мария Владимировна, Федорова Надежда Евгеньевна, Шабунин Михаил Иванович, издательство Просвещение, Москва, 2014, страница 430, номер 1605, Решение 3
Решение 7. №1605 (с. 430)
Алгебра, 10-11 класс Учебник, авторы: Алимов Шавкат Арифджанович, Колягин Юрий Михайлович, Ткачева Мария Владимировна, Федорова Надежда Евгеньевна, Шабунин Михаил Иванович, издательство Просвещение, Москва, 2014, страница 430, номер 1605, Решение 7
Алгебра, 10-11 класс Учебник, авторы: Алимов Шавкат Арифджанович, Колягин Юрий Михайлович, Ткачева Мария Владимировна, Федорова Надежда Евгеньевна, Шабунин Михаил Иванович, издательство Просвещение, Москва, 2014, страница 430, номер 1605, Решение 7 (продолжение 2)
Решение 8. №1605 (с. 430)

Нахождение всех значений $a$, при которых уравнение имеет корни

Данное уравнение имеет корни тогда и только тогда, когда параметр $a$ принадлежит области значений функции $f(x) = \sin^8 x + \cos^8 x$. Найдем эту область значений.

Для преобразования выражения воспользуемся основным тригонометрическим тождеством $\sin^2 x + \cos^2 x = 1$. Сделаем замену $y = \sin^2 x$, тогда $\cos^2 x = 1 - y$. Поскольку $x$ — любое действительное число, переменная $y$ принимает значения из отрезка $[0, 1]$.

Выражение для $a$ можно представить как функцию от $y$: $g(y) = y^4 + (1-y)^4$. Нам необходимо найти область значений этой функции на отрезке $[0, 1]$.

Для нахождения экстремумов найдем производную функции $g(y)$:

$g'(y) = (y^4 + (1-y)^4)' = 4y^3 + 4(1-y)^3 \cdot (-1) = 4(y^3 - (1-y)^3)$.

Приравняем производную к нулю, чтобы найти критические точки: $g'(y) = 0$, что эквивалентно $y^3 = (1-y)^3$. Извлекая кубический корень из обеих частей уравнения, получаем $y = 1-y$, откуда $2y=1$ и, следовательно, $y = 1/2$. Это единственная критическая точка в интервале $(0, 1)$.

Теперь вычислим значения функции $g(y)$ в критической точке и на концах отрезка $[0, 1]$:

$g(0) = 0^4 + (1-0)^4 = 1$.

$g(1) = 1^4 + (1-1)^4 = 1$.

$g(1/2) = (1/2)^4 + (1-1/2)^4 = \frac{1}{16} + \frac{1}{16} = \frac{2}{16} = \frac{1}{8}$.

Сравнивая эти значения, мы заключаем, что максимальное значение функции на отрезке $[0, 1]$ равно $1$, а минимальное — $1/8$.

Следовательно, исходное уравнение имеет корни только при $a \in [1/8, 1]$.

Ответ: $a \in [1/8, 1]$.

Решение уравнения

Теперь решим уравнение $\sin^8 x + \cos^8 x = a$ при найденных значениях $a \in [1/8, 1]$.

Преобразуем левую часть уравнения. Пусть $p = \sin^2 x \cos^2 x$. Тогда $p = (\sin x \cos x)^2 = (\frac{1}{2}\sin(2x))^2 = \frac{1}{4}\sin^2(2x)$. Из этого следует, что область значений для $p$ — это отрезок $[0, 1/4]$.

Выразим левую часть уравнения через $p$:

$\sin^8 x + \cos^8 x = (\sin^4 x)^2 + (\cos^4 x)^2 = (\sin^4 x + \cos^4 x)^2 - 2\sin^4 x \cos^4 x$.

В свою очередь, $\sin^4 x + \cos^4 x = (\sin^2 x + \cos^2 x)^2 - 2\sin^2 x \cos^2 x = 1 - 2p$.

Подставляя это в предыдущее выражение, получаем: $a = (1-2p)^2 - 2p^2 = 1 - 4p + 4p^2 - 2p^2 = 2p^2 - 4p + 1$.

Таким образом, мы пришли к квадратному уравнению относительно $p$: $2p^2 - 4p + (1-a) = 0$.

Найдем его корни по формуле:

$p = \frac{-(-4) \pm \sqrt{(-4)^2 - 4 \cdot 2 \cdot (1-a)}}{2 \cdot 2} = \frac{4 \pm \sqrt{16 - 8(1-a)}}{4} = \frac{4 \pm \sqrt{8+8a}}{4} = 1 \pm \frac{2\sqrt{2+2a}}{4} = 1 \pm \frac{\sqrt{2+2a}}{2}$.

У нас есть два возможных значения для $p$. Проверим, какое из них удовлетворяет условию $0 \le p \le 1/4$.

1. Корень $p_1 = 1 + \frac{\sqrt{2+2a}}{2}$. Так как $a \ge 1/8$, подкоренное выражение положительно, и $p_1 > 1$. Этот корень является посторонним.

2. Корень $p_2 = 1 - \frac{\sqrt{2+2a}}{2}$. Функция $p_2(a)$ монотонно убывает на отрезке $a \in [1/8, 1]$. При $a=1/8$ имеем $p_2 = 1/4$, а при $a=1$ имеем $p_2=0$. Следовательно, для всех $a \in [1/8, 1]$ значение $p_2$ принадлежит отрезку $[0, 1/4]$. Этот корень нам подходит.

Итак, мы имеем единственное подходящее значение для $p = 1 - \frac{\sqrt{2+2a}}{2}$. Вернемся к переменной $x$:

$\frac{1}{4}\sin^2(2x) = 1 - \frac{\sqrt{2+2a}}{2}$

$\sin^2(2x) = 4 - 2\sqrt{2+2a}$.

Для дальнейшего упрощения используем формулу понижения степени $\sin^2\alpha = \frac{1-\cos(2\alpha)}{2}$:

$\frac{1-\cos(4x)}{2} = 4 - 2\sqrt{2+2a}$

$1 - \cos(4x) = 8 - 4\sqrt{2+2a}$

$\cos(4x) = 1 - (8 - 4\sqrt{2+2a}) = 4\sqrt{2+2a} - 7$.

Из этого уравнения находим общее решение для $x$:

$4x = \pm \arccos(4\sqrt{2+2a} - 7) + 2\pi k, \text{ где } k \in \mathbb{Z}$.

Окончательно получаем:

$x = \pm \frac{1}{4}\arccos(4\sqrt{2+2a} - 7) + \frac{\pi k}{2}, \text{ где } k \in \mathbb{Z}$.

Ответ: при $a \in [1/8, 1]$ решения уравнения имеют вид $x = \pm \frac{1}{4}\arccos(4\sqrt{2+2a} - 7) + \frac{\pi k}{2}, \text{ где } k \in \mathbb{Z}$.

Помогло решение? Оставьте отзыв в комментариях ниже.

Присоединяйтесь к Телеграм-группе @top_gdz

Присоединиться

Мы подготовили для вас ответ c подробным объяснением домашего задания по алгебре за 10-11 класс, для упражнения номер 1605 расположенного на странице 430 к учебнику 2014 года издания для учащихся школ и гимназий.

Теперь на нашем сайте ГДЗ.ТОП вы всегда легко и бесплатно найдёте условие с правильным ответом на вопрос «Как решить ДЗ» и «Как сделать» задание по алгебре к упражнению №1605 (с. 430), авторов: Алимов (Шавкат Арифджанович), Колягин (Юрий Михайлович), Ткачева (Мария Владимировна), Федорова (Надежда Евгеньевна), Шабунин (Михаил Иванович), ФГОС (старый) базовый и углублённый уровень обучения учебного пособия издательства Просвещение.