Номер 1611, страница 430 - гдз по алгебре 10-11 класс учебник Алимов, Колягин

Алгебра, 10-11 класс Учебник, авторы: Алимов Шавкат Арифджанович, Колягин Юрий Михайлович, Ткачева Мария Владимировна, Федорова Надежда Евгеньевна, Шабунин Михаил Иванович, издательство Просвещение, Москва, 2014

Авторы: Алимов Ш. А., Колягин Ю. М., Ткачева М. В., Федорова Н. Е., Шабунин М. И.

Тип: Учебник

Издательство: Просвещение

Год издания: 2014 - 2026

Уровень обучения: базовый и углублённый

Цвет обложки: синий, фиолетовый

ISBN: 978-5-09-112136-0

Допущено Министерством просвещения Российской Федерации

Математика: алгебра и начала математического анализа, геометрия

Популярные ГДЗ в 10 классе

Задачи для внеклассной работы - номер 1611, страница 430.

№1611 (с. 430)
Условие. №1611 (с. 430)
скриншот условия
Алгебра, 10-11 класс Учебник, авторы: Алимов Шавкат Арифджанович, Колягин Юрий Михайлович, Ткачева Мария Владимировна, Федорова Надежда Евгеньевна, Шабунин Михаил Иванович, издательство Просвещение, Москва, 2014, страница 430, номер 1611, Условие

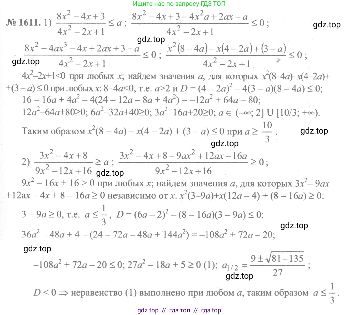
1611 Найти все значения a, при которых является верным при всех значениях x неравенство:

1) $\frac{8x^2 - 4x + 3}{4x^2 - 2x + 1} \le a;$

2) $\frac{3x^2 - 4x + 8}{9x^2 - 12x + 16} \ge a.$

Решение 1. №1611 (с. 430)
Алгебра, 10-11 класс Учебник, авторы: Алимов Шавкат Арифджанович, Колягин Юрий Михайлович, Ткачева Мария Владимировна, Федорова Надежда Евгеньевна, Шабунин Михаил Иванович, издательство Просвещение, Москва, 2014, страница 430, номер 1611, Решение 1
Алгебра, 10-11 класс Учебник, авторы: Алимов Шавкат Арифджанович, Колягин Юрий Михайлович, Ткачева Мария Владимировна, Федорова Надежда Евгеньевна, Шабунин Михаил Иванович, издательство Просвещение, Москва, 2014, страница 430, номер 1611, Решение 1 (продолжение 2)
Решение 2. №1611 (с. 430)
Алгебра, 10-11 класс Учебник, авторы: Алимов Шавкат Арифджанович, Колягин Юрий Михайлович, Ткачева Мария Владимировна, Федорова Надежда Евгеньевна, Шабунин Михаил Иванович, издательство Просвещение, Москва, 2014, страница 430, номер 1611, Решение 2
Алгебра, 10-11 класс Учебник, авторы: Алимов Шавкат Арифджанович, Колягин Юрий Михайлович, Ткачева Мария Владимировна, Федорова Надежда Евгеньевна, Шабунин Михаил Иванович, издательство Просвещение, Москва, 2014, страница 430, номер 1611, Решение 2 (продолжение 2)
Решение 3. №1611 (с. 430)
Алгебра, 10-11 класс Учебник, авторы: Алимов Шавкат Арифджанович, Колягин Юрий Михайлович, Ткачева Мария Владимировна, Федорова Надежда Евгеньевна, Шабунин Михаил Иванович, издательство Просвещение, Москва, 2014, страница 430, номер 1611, Решение 3
Решение 7. №1611 (с. 430)
Алгебра, 10-11 класс Учебник, авторы: Алимов Шавкат Арифджанович, Колягин Юрий Михайлович, Ткачева Мария Владимировна, Федорова Надежда Евгеньевна, Шабунин Михаил Иванович, издательство Просвещение, Москва, 2014, страница 430, номер 1611, Решение 7
Алгебра, 10-11 класс Учебник, авторы: Алимов Шавкат Арифджанович, Колягин Юрий Михайлович, Ткачева Мария Владимировна, Федорова Надежда Евгеньевна, Шабунин Михаил Иванович, издательство Просвещение, Москва, 2014, страница 430, номер 1611, Решение 7 (продолжение 2)
Решение 8. №1611 (с. 430)

1) Требуется найти все значения $a$, при которых неравенство $\frac{8x^2-4x+3}{4x^2-2x+1} \le a$ является верным при всех значениях $x$.

Это означает, что параметр $a$ должен быть больше или равен максимальному значению функции $f(x) = \frac{8x^2-4x+3}{4x^2-2x+1}$.

В первую очередь, проанализируем знаменатель дроби: $4x^2-2x+1$. Найдем его дискриминант: $D = (-2)^2 - 4 \cdot 4 \cdot 1 = 4 - 16 = -12$.

Так как дискриминант отрицателен ($D < 0$) и старший коэффициент положителен ($4 > 0$), выражение в знаменателе $4x^2-2x+1$ всегда положительно при любых действительных значениях $x$.

Теперь преобразуем выражение для функции $f(x)$. Можно заметить, что числитель связан со знаменателем:

$8x^2-4x+3 = 2(4x^2-2x) + 3 = 2(4x^2-2x+1-1) + 3 = 2(4x^2-2x+1) - 2 + 3 = 2(4x^2-2x+1) + 1$.

Подставим это в исходную функцию:

$f(x) = \frac{2(4x^2-2x+1) + 1}{4x^2-2x+1} = \frac{2(4x^2-2x+1)}{4x^2-2x+1} + \frac{1}{4x^2-2x+1} = 2 + \frac{1}{4x^2-2x+1}$.

Чтобы найти максимальное значение функции $f(x)$, необходимо найти максимальное значение дроби $\frac{1}{4x^2-2x+1}$. Это равносильно нахождению минимального значения знаменателя $g(x) = 4x^2-2x+1$.

Функция $g(x)$ — это парабола с ветвями, направленными вверх. Своё минимальное значение она принимает в вершине. Координата вершины по оси абсцисс: $x_v = -\frac{b}{2a} = -\frac{-2}{2 \cdot 4} = \frac{2}{8} = \frac{1}{4}$.

Минимальное значение знаменателя $g(x)$ равно:

$g_{min} = g(\frac{1}{4}) = 4(\frac{1}{4})^2 - 2(\frac{1}{4}) + 1 = 4 \cdot \frac{1}{16} - \frac{1}{2} + 1 = \frac{1}{4} - \frac{2}{4} + \frac{4}{4} = \frac{3}{4}$.

Следовательно, максимальное значение дроби $\frac{1}{g(x)}$ равно $\frac{1}{g_{min}} = \frac{1}{3/4} = \frac{4}{3}$.

Тогда максимальное значение функции $f(x)$ составляет:

$f_{max} = 2 + \frac{4}{3} = \frac{6}{3} + \frac{4}{3} = \frac{10}{3}$.

Неравенство $f(x) \le a$ будет выполняться для всех $x$ только в том случае, если $a$ не меньше максимального значения функции $f(x)$. Таким образом, $a \ge \frac{10}{3}$.

Ответ: $a \in [\frac{10}{3}, +\infty)$.

2) Требуется найти все значения $a$, при которых неравенство $\frac{3x^2-4x+8}{9x^2-12x+16} \ge a$ является верным при всех значениях $x$.

Это означает, что параметр $a$ должен быть меньше или равен минимальному значению (инфимуму) функции $f(x) = \frac{3x^2-4x+8}{9x^2-12x+16}$.

Рассмотрим знаменатель $9x^2-12x+16$. Его дискриминант $D = (-12)^2 - 4 \cdot 9 \cdot 16 = 144 - 576 = -432$. Так как $D < 0$ и старший коэффициент $9 > 0$, знаменатель всегда положителен.

Для нахождения множества значений функции $f(x)$ введем параметр $y=f(x)$ и решим уравнение относительно $x$:

$y = \frac{3x^2-4x+8}{9x^2-12x+16}$

$y(9x^2-12x+16) = 3x^2-4x+8$

$9yx^2 - 12yx + 16y - 3x^2 + 4x - 8 = 0$

$(9y-3)x^2 - (12y-4)x + (16y-8) = 0$

Чтобы это уравнение имело действительные решения для $x$, необходимо рассмотреть два случая.

Случай 1: Коэффициент при $x^2$ равен нулю, т.е. $9y-3=0$, откуда $y = \frac{1}{3}$. Уравнение становится линейным:

$-(12 \cdot \frac{1}{3} - 4)x + (16 \cdot \frac{1}{3} - 8) = 0$

$-(4-4)x + (\frac{16-24}{3}) = 0$

$0 \cdot x - \frac{8}{3} = 0 \Rightarrow -\frac{8}{3} = 0$.

Получено неверное равенство, значит, при $y = \frac{1}{3}$ уравнение не имеет решений. Это означает, что функция $f(x)$ никогда не принимает значение $\frac{1}{3}$.

Случай 2: Коэффициент при $x^2$ не равен нулю, т.е. $y \neq \frac{1}{3}$. Уравнение является квадратным и имеет действительные корни, если его дискриминант $D_x \ge 0$.

$D_x = (-(12y-4))^2 - 4(9y-3)(16y-8) \ge 0$

$(4(3y-1))^2 - 4 \cdot 3(3y-1) \cdot 8(2y-1) \ge 0$

$16(3y-1)^2 - 96(3y-1)(2y-1) \ge 0$

Разделим обе части на 16:

$(3y-1)^2 - 6(3y-1)(2y-1) \ge 0$

Вынесем общий множитель $(3y-1)$ за скобку:

$(3y-1)[(3y-1) - 6(2y-1)] \ge 0$

$(3y-1)(3y-1 - 12y+6) \ge 0$

$(3y-1)(-9y+5) \ge 0$

Умножим на -1, изменив знак неравенства:

$(3y-1)(9y-5) \le 0$

Решая это неравенство методом интервалов, находим, что оно верно для $y \in [\frac{1}{3}, \frac{5}{9}]$.

Совмещая с результатом первого случая ($y \neq \frac{1}{3}$), получаем, что множество значений функции $f(x)$ есть полуинтервал $E(f) = (\frac{1}{3}, \frac{5}{9}]$.

Исходное неравенство $f(x) \ge a$ должно быть верным для всех $x$, то есть для всех значений $f(x)$ из множества $E(f)$. Это возможно, только если $a$ меньше или равно любому значению из этого множества, то есть $a$ должно быть меньше или равно его точной нижней грани (инфимуму).

Инфимум множества $(\frac{1}{3}, \frac{5}{9}]$ равен $\frac{1}{3}$.

Следовательно, $a \le \frac{1}{3}$.

Ответ: $a \in (-\infty, \frac{1}{3}]$.

Помогло решение? Оставьте отзыв в комментариях ниже.

Присоединяйтесь к Телеграм-группе @top_gdz

Присоединиться

Мы подготовили для вас ответ c подробным объяснением домашего задания по алгебре за 10-11 класс, для упражнения номер 1611 расположенного на странице 430 к учебнику 2014 года издания для учащихся школ и гимназий.

Теперь на нашем сайте ГДЗ.ТОП вы всегда легко и бесплатно найдёте условие с правильным ответом на вопрос «Как решить ДЗ» и «Как сделать» задание по алгебре к упражнению №1611 (с. 430), авторов: Алимов (Шавкат Арифджанович), Колягин (Юрий Михайлович), Ткачева (Мария Владимировна), Федорова (Надежда Евгеньевна), Шабунин (Михаил Иванович), ФГОС (старый) базовый и углублённый уровень обучения учебного пособия издательства Просвещение.