Номер 1615, страница 431 - гдз по алгебре 10-11 класс учебник Алимов, Колягин

Алгебра, 10-11 класс Учебник, авторы: Алимов Шавкат Арифджанович, Колягин Юрий Михайлович, Ткачева Мария Владимировна, Федорова Надежда Евгеньевна, Шабунин Михаил Иванович, издательство Просвещение, Москва, 2014

Авторы: Алимов Ш. А., Колягин Ю. М., Ткачева М. В., Федорова Н. Е., Шабунин М. И.

Тип: Учебник

Издательство: Просвещение

Год издания: 2014 - 2026

Уровень обучения: базовый и углублённый

Цвет обложки: синий, фиолетовый

ISBN: 978-5-09-112136-0

Допущено Министерством просвещения Российской Федерации

Математика: алгебра и начала математического анализа, геометрия

Популярные ГДЗ в 10 классе

Задачи для внеклассной работы - номер 1615, страница 431.

№1615 (с. 431)
Условие. №1615 (с. 431)
скриншот условия
Алгебра, 10-11 класс Учебник, авторы: Алимов Шавкат Арифджанович, Колягин Юрий Михайлович, Ткачева Мария Владимировна, Федорова Надежда Евгеньевна, Шабунин Михаил Иванович, издательство Просвещение, Москва, 2014, страница 431, номер 1615, Условие

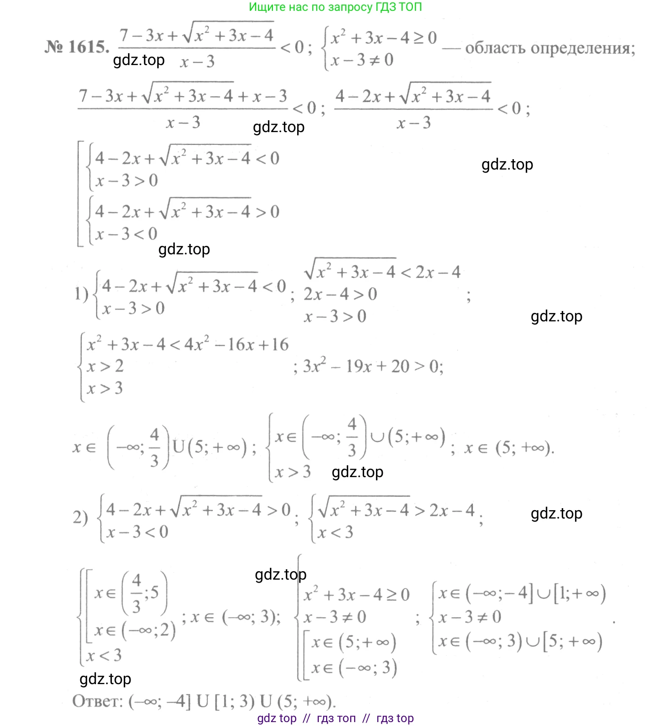
1615 $\frac{7 - 3x + \sqrt{x^2 + 3x - 4}}{x - 3} < -1$

Решение 1. №1615 (с. 431)
Алгебра, 10-11 класс Учебник, авторы: Алимов Шавкат Арифджанович, Колягин Юрий Михайлович, Ткачева Мария Владимировна, Федорова Надежда Евгеньевна, Шабунин Михаил Иванович, издательство Просвещение, Москва, 2014, страница 431, номер 1615, Решение 1
Решение 2. №1615 (с. 431)
Алгебра, 10-11 класс Учебник, авторы: Алимов Шавкат Арифджанович, Колягин Юрий Михайлович, Ткачева Мария Владимировна, Федорова Надежда Евгеньевна, Шабунин Михаил Иванович, издательство Просвещение, Москва, 2014, страница 431, номер 1615, Решение 2
Решение 3. №1615 (с. 431)
Алгебра, 10-11 класс Учебник, авторы: Алимов Шавкат Арифджанович, Колягин Юрий Михайлович, Ткачева Мария Владимировна, Федорова Надежда Евгеньевна, Шабунин Михаил Иванович, издательство Просвещение, Москва, 2014, страница 431, номер 1615, Решение 3
Решение 7. №1615 (с. 431)
Алгебра, 10-11 класс Учебник, авторы: Алимов Шавкат Арифджанович, Колягин Юрий Михайлович, Ткачева Мария Владимировна, Федорова Надежда Евгеньевна, Шабунин Михаил Иванович, издательство Просвещение, Москва, 2014, страница 431, номер 1615, Решение 7
Алгебра, 10-11 класс Учебник, авторы: Алимов Шавкат Арифджанович, Колягин Юрий Михайлович, Ткачева Мария Владимировна, Федорова Надежда Евгеньевна, Шабунин Михаил Иванович, издательство Просвещение, Москва, 2014, страница 431, номер 1615, Решение 7 (продолжение 2)
Решение 8. №1615 (с. 431)

Решим неравенство:

$$ \frac{7 - 3x + \sqrt{x^2 + 3x - 4}}{x - 3} < -1 $$

1. Найдем область допустимых значений (ОДЗ).

Неравенство имеет смысл при выполнении двух условий:

1) Подрадикальное выражение должно быть неотрицательным:
$x^2 + 3x - 4 \ge 0$

Найдем корни квадратного трехчлена $x^2 + 3x - 4 = 0$. По теореме Виета или через дискриминант находим корни $x_1 = -4$ и $x_2 = 1$.
Так как ветви параболы $y = x^2 + 3x - 4$ направлены вверх, неравенство выполняется при $x \in (-\infty, -4] \cup [1, \infty)$.

2) Знаменатель дроби не должен быть равен нулю:
$x - 3 \neq 0 \implies x \neq 3$.

Объединяя эти два условия, получаем ОДЗ:
$x \in (-\infty, -4] \cup [1, 3) \cup (3, \infty)$.

2. Преобразуем и решим неравенство.

Перенесем -1 в левую часть и приведем к общему знаменателю:

$$ \frac{7 - 3x + \sqrt{x^2 + 3x - 4}}{x - 3} + 1 < 0 $$

$$ \frac{7 - 3x + \sqrt{x^2 + 3x - 4} + x - 3}{x - 3} < 0 $$

$$ \frac{4 - 2x + \sqrt{x^2 + 3x - 4}}{x - 3} < 0 $$

Для решения этого неравенства рассмотрим два случая в зависимости от знака знаменателя.

Случай 1: $x - 3 > 0$, то есть $x > 3$.

При этом условии знаменатель положителен, поэтому можно умножить обе части неравенства на $x - 3$, сохранив знак неравенства:

$4 - 2x + \sqrt{x^2 + 3x - 4} < 0$

$\sqrt{x^2 + 3x - 4} < 2x - 4$

Это иррациональное неравенство вида $\sqrt{f(x)} < g(x)$ равносильно системе:

$$ \begin{cases} x^2 + 3x - 4 \ge 0 \\ 2x - 4 > 0 \\ x^2 + 3x - 4 < (2x - 4)^2 \end{cases} $$

Первое неравенство $x^2 + 3x - 4 \ge 0$ выполняется на ОДЗ.

Второе неравенство: $2x - 4 > 0 \implies 2x > 4 \implies x > 2$.

Третье неравенство:
$x^2 + 3x - 4 < 4x^2 - 16x + 16$
$0 < 3x^2 - 19x + 20$

Найдем корни трехчлена $3x^2 - 19x + 20 = 0$.
$D = (-19)^2 - 4 \cdot 3 \cdot 20 = 361 - 240 = 121 = 11^2$.
$x_{1,2} = \frac{19 \pm 11}{6}$, откуда $x_1 = \frac{8}{6} = \frac{4}{3}$ и $x_2 = \frac{30}{6} = 5$.
Так как ветви параболы направлены вверх, неравенство $3x^2 - 19x + 20 > 0$ выполняется при $x \in (-\infty, 4/3) \cup (5, \infty)$.

Теперь найдем пересечение всех условий для случая 1:
$x > 3$ (условие случая)
$x > 2$ (из системы)
$x \in (-\infty, 4/3) \cup (5, \infty)$ (из системы)
Пересечение этих множеств: $(3, \infty) \cap (2, \infty) \cap ((-\infty, 4/3) \cup (5, \infty)) = (5, \infty)$.
Это решение входит в ОДЗ. Итак, в первом случае получаем $x \in (5, \infty)$.

Случай 2: $x - 3 < 0$, то есть $x < 3$.

При этом условии знаменатель отрицателен, поэтому при умножении на $x-3$ знак неравенства меняется на противоположный:

$4 - 2x + \sqrt{x^2 + 3x - 4} > 0$

$\sqrt{x^2 + 3x - 4} > 2x - 4$

Это иррациональное неравенство вида $\sqrt{f(x)} > g(x)$ равносильно совокупности двух систем:

а) $$ \begin{cases} 2x - 4 < 0 \\ x^2 + 3x - 4 \ge 0 \end{cases} $$

б) $$ \begin{cases} 2x - 4 \ge 0 \\ x^2 + 3x - 4 > (2x - 4)^2 \end{cases} $$

Решим систему а):
$2x - 4 < 0 \implies x < 2$.
$x^2 + 3x - 4 \ge 0 \implies x \in (-\infty, -4] \cup [1, \infty)$.
Пересечение этих решений: $(-\infty, -4] \cup [1, 2)$.

Решим систему б):
$2x - 4 \ge 0 \implies x \ge 2$.
$x^2 + 3x - 4 > (2x - 4)^2 \implies 3x^2 - 19x + 20 < 0$.
Корни мы уже нашли: $4/3$ и $5$. Так как ветви параболы направлены вверх, неравенство выполняется между корнями: $x \in (4/3, 5)$.
Найдем пересечение решений: $x \ge 2$ и $x \in (4/3, 5)$. Получаем $x \in [2, 5)$.

Объединим решения систем а) и б):
$(-\infty, -4] \cup [1, 2) \cup [2, 5) = (-\infty, -4] \cup [1, 5)$.

Теперь учтем условие случая 2 ($x < 3$) и ОДЗ ($x \in (-\infty, -4] \cup [1, 3) \cup (3, \infty)$):
Пересекаем полученное решение $(-\infty, -4] \cup [1, 5)$ с условием $x < 3$.
$((-\infty, -4] \cup [1, 5)) \cap (-\infty, 3) = (-\infty, -4] \cup [1, 3)$.
Это множество полностью удовлетворяет ОДЗ. Итак, во втором случае получаем $x \in (-\infty, -4] \cup [1, 3)$.

3. Объединение решений.

Объединим решения, полученные в обоих случаях:

Из случая 1: $x \in (5, \infty)$.

Из случая 2: $x \in (-\infty, -4] \cup [1, 3)$.

Итоговое решение является объединением этих множеств.

Ответ: $x \in (-\infty, -4] \cup [1, 3) \cup (5, \infty)$.

Помогло решение? Оставьте отзыв в комментариях ниже.

Присоединяйтесь к Телеграм-группе @top_gdz

Присоединиться

Мы подготовили для вас ответ c подробным объяснением домашего задания по алгебре за 10-11 класс, для упражнения номер 1615 расположенного на странице 431 к учебнику 2014 года издания для учащихся школ и гимназий.

Теперь на нашем сайте ГДЗ.ТОП вы всегда легко и бесплатно найдёте условие с правильным ответом на вопрос «Как решить ДЗ» и «Как сделать» задание по алгебре к упражнению №1615 (с. 431), авторов: Алимов (Шавкат Арифджанович), Колягин (Юрий Михайлович), Ткачева (Мария Владимировна), Федорова (Надежда Евгеньевна), Шабунин (Михаил Иванович), ФГОС (старый) базовый и углублённый уровень обучения учебного пособия издательства Просвещение.