Номер 1616, страница 431 - гдз по алгебре 10-11 класс учебник Алимов, Колягин

Алгебра, 10-11 класс Учебник, авторы: Алимов Шавкат Арифджанович, Колягин Юрий Михайлович, Ткачева Мария Владимировна, Федорова Надежда Евгеньевна, Шабунин Михаил Иванович, издательство Просвещение, Москва, 2014

Авторы: Алимов Ш. А., Колягин Ю. М., Ткачева М. В., Федорова Н. Е., Шабунин М. И.

Тип: Учебник

Издательство: Просвещение

Год издания: 2014 - 2026

Уровень обучения: базовый и углублённый

Цвет обложки: синий, фиолетовый

ISBN: 978-5-09-112136-0

Допущено Министерством просвещения Российской Федерации

Математика: алгебра и начала математического анализа, геометрия

Популярные ГДЗ в 10 классе

Задачи для внеклассной работы - номер 1616, страница 431.

№1616 (с. 431)
Условие. №1616 (с. 431)
скриншот условия
Алгебра, 10-11 класс Учебник, авторы: Алимов Шавкат Арифджанович, Колягин Юрий Михайлович, Ткачева Мария Владимировна, Федорова Надежда Евгеньевна, Шабунин Михаил Иванович, издательство Просвещение, Москва, 2014, страница 431, номер 1616, Условие

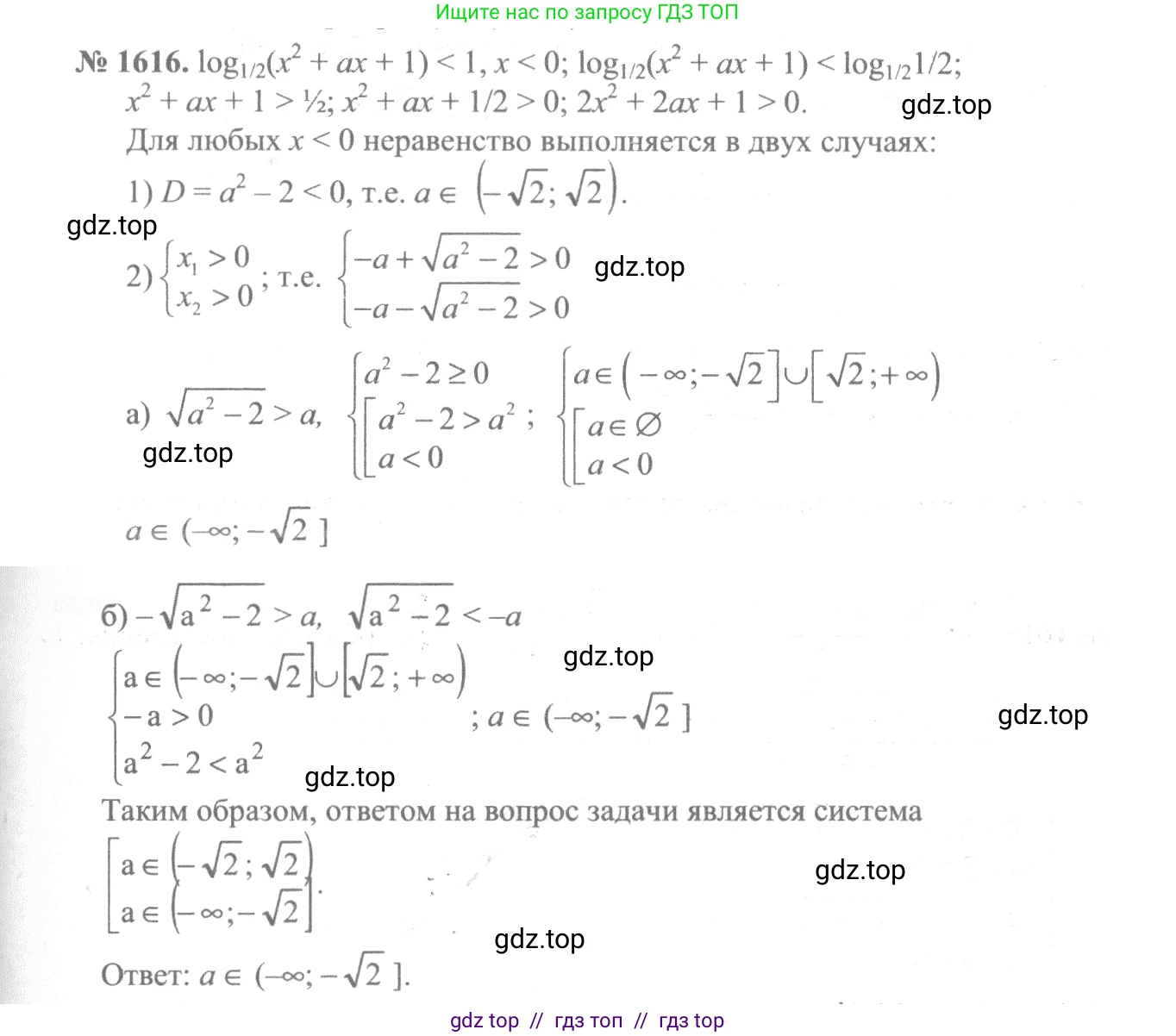
1616 Найти все значения $a$, при которых неравенство $log_{1/2}(x^2+ax+1) < 1$ выполняется для всех $x$ из промежутка $(-\infty; 0)$.

Решение 1. №1616 (с. 431)
Алгебра, 10-11 класс Учебник, авторы: Алимов Шавкат Арифджанович, Колягин Юрий Михайлович, Ткачева Мария Владимировна, Федорова Надежда Евгеньевна, Шабунин Михаил Иванович, издательство Просвещение, Москва, 2014, страница 431, номер 1616, Решение 1
Решение 2. №1616 (с. 431)
Алгебра, 10-11 класс Учебник, авторы: Алимов Шавкат Арифджанович, Колягин Юрий Михайлович, Ткачева Мария Владимировна, Федорова Надежда Евгеньевна, Шабунин Михаил Иванович, издательство Просвещение, Москва, 2014, страница 431, номер 1616, Решение 2
Решение 3. №1616 (с. 431)
Алгебра, 10-11 класс Учебник, авторы: Алимов Шавкат Арифджанович, Колягин Юрий Михайлович, Ткачева Мария Владимировна, Федорова Надежда Евгеньевна, Шабунин Михаил Иванович, издательство Просвещение, Москва, 2014, страница 431, номер 1616, Решение 3
Решение 7. №1616 (с. 431)
Алгебра, 10-11 класс Учебник, авторы: Алимов Шавкат Арифджанович, Колягин Юрий Михайлович, Ткачева Мария Владимировна, Федорова Надежда Евгеньевна, Шабунин Михаил Иванович, издательство Просвещение, Москва, 2014, страница 431, номер 1616, Решение 7
Алгебра, 10-11 класс Учебник, авторы: Алимов Шавкат Арифджанович, Колягин Юрий Михайлович, Ткачева Мария Владимировна, Федорова Надежда Евгеньевна, Шабунин Михаил Иванович, издательство Просвещение, Москва, 2014, страница 431, номер 1616, Решение 7 (продолжение 2)
Решение 8. №1616 (с. 431)

Исходное неравенство: $\log_{\frac{1}{2}}(x^2+ax+1) < 1$.

Это неравенство должно выполняться для всех $x$ из промежутка $(-\infty; 0)$.

Для того чтобы логарифм был определен, его аргумент должен быть строго положительным:

$x^2+ax+1 > 0$

Поскольку основание логарифма $\frac{1}{2}$ меньше 1, логарифмическая функция является убывающей. При потенцировании (избавлении от логарифма) знак неравенства меняется на противоположный:

$x^2+ax+1 > \left(\frac{1}{2}\right)^1$

$x^2+ax+1 > \frac{1}{2}$

Мы получили систему из двух неравенств, которые должны выполняться для всех $x \in (-\infty; 0)$:

$\begin{cases} x^2+ax+1 > 0 \\ x^2+ax+1 > \frac{1}{2} \end{cases}$

Если выполняется второе неравенство ($x^2+ax+1 > \frac{1}{2}$), то первое неравенство ($x^2+ax+1 > 0$) выполняется автоматически, так как $\frac{1}{2} > 0$. Следовательно, достаточно решить только второе неравенство:

$x^2+ax+1 - \frac{1}{2} > 0$

$x^2+ax+\frac{1}{2} > 0$

Итак, задача сводится к нахождению всех значений параметра $a$, при которых неравенство $x^2+ax+\frac{1}{2} > 0$ выполняется для всех $x \in (-\infty; 0)$.

Рассмотрим функцию $f(x) = x^2+ax+\frac{1}{2}$. Ее график — парабола с ветвями, направленными вверх, так как коэффициент при $x^2$ равен 1 (положительный).

Найдем абсциссу вершины параболы: $x_v = -\frac{a}{2 \cdot 1} = -\frac{a}{2}$.

Рассмотрим два случая в зависимости от положения вершины параболы относительно промежутка $(-\infty; 0)$.

1. Вершина параболы находится не левее точки $x=0$.

Это означает, что $x_v \ge 0$, то есть $-\frac{a}{2} \ge 0$, что эквивалентно $a \le 0$.

В этом случае на всем промежутке $(-\infty; 0)$ функция $f(x)$ является убывающей. Ее наименьшее значение на замыкании этого промежутка, то есть на $(-\infty; 0]$, достигается в точке $x=0$.

Значение функции в этой точке: $f(0) = 0^2 + a \cdot 0 + \frac{1}{2} = \frac{1}{2}$.

Поскольку на промежутке $(-\infty; 0)$ функция убывает и стремится к $f(0)$, то для любого $x < 0$ будет выполняться $f(x) > f(0) = \frac{1}{2}$. Так как $\frac{1}{2} > 0$, условие $f(x) > 0$ выполняется для всех $x \in (-\infty; 0)$.

Следовательно, все значения $a \le 0$ являются решениями.

2. Вершина параболы находится левее точки $x=0$.

Это означает, что $x_v < 0$, то есть $-\frac{a}{2} < 0$, что эквивалентно $a > 0$.

В этом случае вершина параболы, которая является точкой минимума функции $f(x)$, находится в рассматриваемом промежутке $(-\infty; 0)$.

Чтобы неравенство $f(x) > 0$ выполнялось для всех $x$ из этого промежутка, необходимо и достаточно, чтобы значение функции в точке минимума было строго положительным:

$f(x_v) > 0$

$f\left(-\frac{a}{2}\right) = \left(-\frac{a}{2}\right)^2 + a\left(-\frac{a}{2}\right) + \frac{1}{2} > 0$

$\frac{a^2}{4} - \frac{a^2}{2} + \frac{1}{2} > 0$

$-\frac{a^2}{4} + \frac{1}{2} > 0$

$\frac{1}{2} > \frac{a^2}{4}$

$2 > a^2$

$a^2 < 2$

Решением этого неравенства является интервал $-\sqrt{2} < a < \sqrt{2}$.

Учитывая условие этого случая ($a > 0$), получаем $0 < a < \sqrt{2}$.

Объединение результатов.

В первом случае мы получили, что подходят все $a \in (-\infty; 0]$.

Во втором случае мы получили, что подходят все $a \in (0; \sqrt{2})$.

Объединяя эти два множества решений, получаем итоговый промежуток для параметра $a$:

$(-\infty; 0] \cup (0; \sqrt{2}) = (-\infty; \sqrt{2})$.

Ответ: $a \in (-\infty; \sqrt{2})$.

Помогло решение? Оставьте отзыв в комментариях ниже.

Присоединяйтесь к Телеграм-группе @top_gdz

Присоединиться

Мы подготовили для вас ответ c подробным объяснением домашего задания по алгебре за 10-11 класс, для упражнения номер 1616 расположенного на странице 431 к учебнику 2014 года издания для учащихся школ и гимназий.

Теперь на нашем сайте ГДЗ.ТОП вы всегда легко и бесплатно найдёте условие с правильным ответом на вопрос «Как решить ДЗ» и «Как сделать» задание по алгебре к упражнению №1616 (с. 431), авторов: Алимов (Шавкат Арифджанович), Колягин (Юрий Михайлович), Ткачева (Мария Владимировна), Федорова (Надежда Евгеньевна), Шабунин (Михаил Иванович), ФГОС (старый) базовый и углублённый уровень обучения учебного пособия издательства Просвещение.