Номер 1592, страница 429 - гдз по алгебре 10-11 класс учебник Алимов, Колягин

Авторы: Алимов Ш. А., Колягин Ю. М., Ткачева М. В., Федорова Н. Е., Шабунин М. И.
Тип: Учебник
Издательство: Просвещение
Год издания: 2014 - 2025
Уровень обучения: базовый и углублённый
Цвет обложки: синий, фиолетовый
ISBN: 978-5-09-112136-0
Допущено Министерством просвещения Российской Федерации
Математика: алгебра и начала математического анализа, геометрия
Популярные ГДЗ в 10 классе
Задачи для внеклассной работы - номер 1592, страница 429.
№1592 (с. 429)
Условие. №1592 (с. 429)
скриншот условия

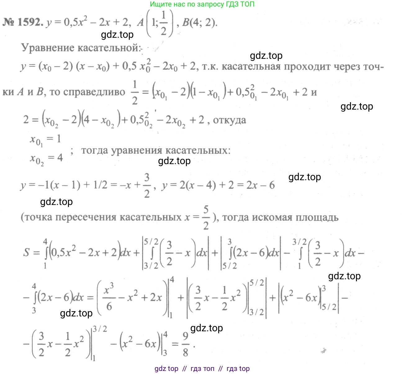
1592 Найти площадь фигуры, ограниченной параболой и касательными к ней, проведёнными через точки A и B .
Решение 1. №1592 (с. 429)

Решение 2. №1592 (с. 429)


Решение 7. №1592 (с. 429)


Решение 8. №1592 (с. 429)
Для нахождения площади фигуры, ограниченной параболой и касательными к ней, необходимо выполнить следующие шаги: найти уравнения касательных, определить точку их пересечения и вычислить площадь с помощью определенного интеграла.
1. Нахождение уравнений касательных
Дана парабола . Уравнение касательной к графику функции в точке имеет вид: .
Сначала найдем производную функции:
.
Касательная в точке A(1; 1/2):
Абсцисса точки касания . Проверим, что точка A лежит на параболе: . Точка A принадлежит параболе.
Найдем угловой коэффициент касательной в этой точке: .
Уравнение касательной в точке A:
Касательная в точке B(4; 2):
Абсцисса точки касания . Проверим, что точка B лежит на параболе: . Точка B принадлежит параболе.
Найдем угловой коэффициент касательной в этой точке: .
Уравнение касательной в точке B:
2. Нахождение точки пересечения касательных
Чтобы найти точку пересечения касательных, приравняем их уравнения:
Найдем ординату точки пересечения, подставив в уравнение одной из касательных:
.
Таким образом, касательные пересекаются в точке C(2.5; -1).
3. Вычисление площади фигуры
Искомая площадь представляет собой область, заключенную "сверху" параболой и "снизу" двумя касательными. Абсцисса точки пересечения касательных разбивает эту область на две части. Площадь вычисляется как разность интегралов от функции параболы и функций касательных.
Площадь можно найти по формуле:
где , — абсциссы точек касания, а — абсцисса точки пересечения касательных.
Упростим подынтегральные выражения:
Для первого интеграла: .
Для второго интеграла: .
Теперь вычислим интегралы:
.
.
Полная площадь равна сумме площадей двух частей:
.
Ответ:
Другие задания:
Помогло решение? Оставьте отзыв в комментариях ниже.
Мы подготовили для вас ответ c подробным объяснением домашего задания по алгебре за 10-11 класс, для упражнения номер 1592 расположенного на странице 429 к учебнику 2014 года издания для учащихся школ и гимназий.
Теперь на нашем сайте ГДЗ.ТОП вы всегда легко и бесплатно найдёте условие с правильным ответом на вопрос «Как решить ДЗ» и «Как сделать» задание по алгебре к упражнению №1592 (с. 429), авторов: Алимов (Шавкат Арифджанович), Колягин (Юрий Михайлович), Ткачева (Мария Владимировна), Федорова (Надежда Евгеньевна), Шабунин (Михаил Иванович), ФГОС (старый) базовый и углублённый уровень обучения учебного пособия издательства Просвещение.