Номер 157, страница 298 - гдз по алгебре 10-11 класс учебник Колмогоров, Абрамов
 
                                                Авторы: Колмогоров А. Н., Абрамов А. М., Дудницын Ю. П.
Тип: Учебник
Издательство: Просвещение
Год издания: 2008 - 2025
Цвет обложки: зелёный, чёрный
ISBN: 978-5-09-019513-3
Рекомендовано Министерством образования и науки Российской Федерации
Алгебра и начала математического анализа
Популярные ГДЗ в 10 классе
Глава 5. Задачи на повторение. Параграф 4. Уравнения, неравенства, системы уравнений и неравенств - номер 157, страница 298.
№157 (с. 298)
Условие. №157 (с. 298)
скриншот условия
 
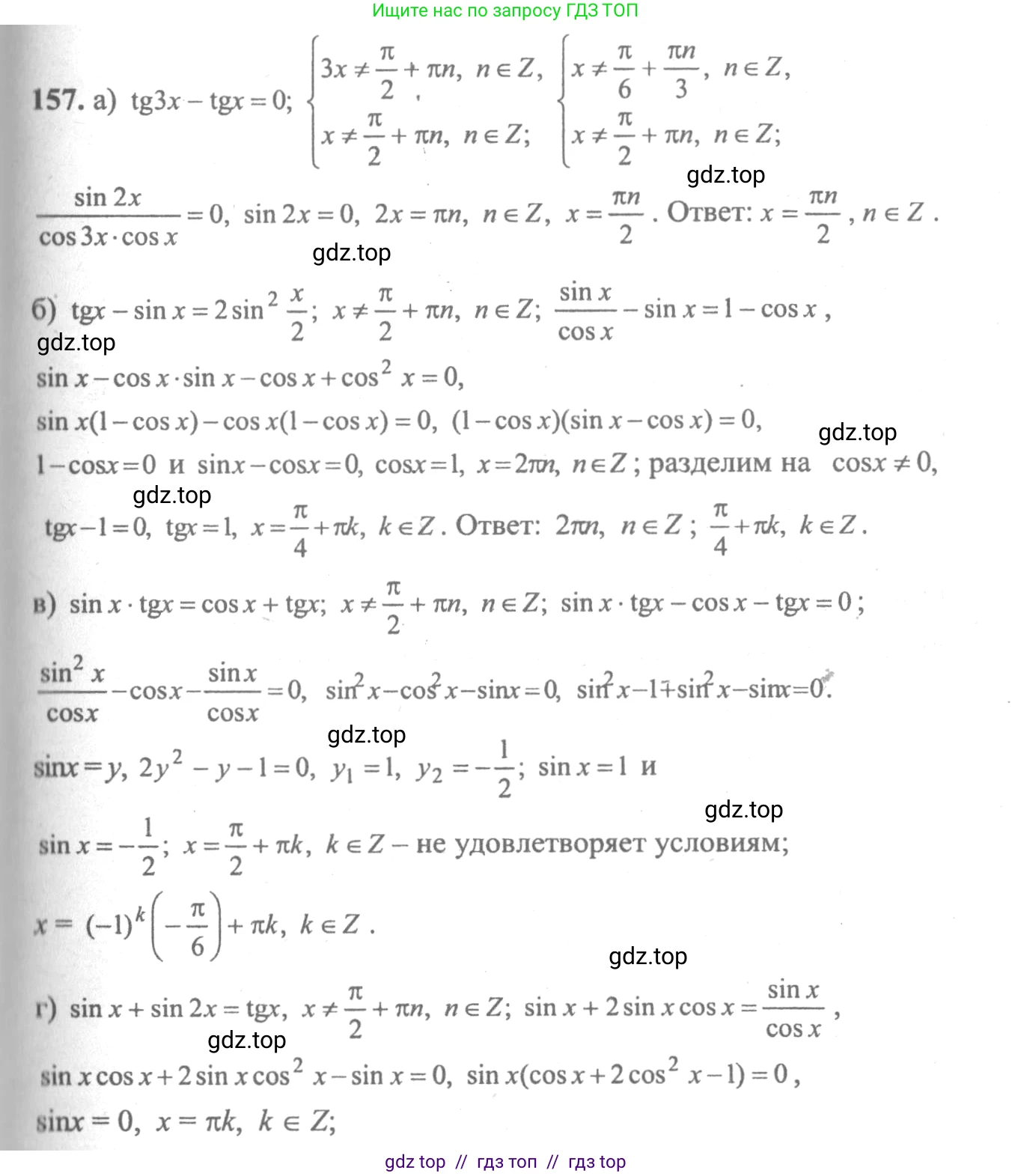
                                                                                                                                        157. a) $tg 3x - tg x = 0$;
б) $tg x - \sin x = 2 \sin^2 \frac{x}{2}$;
в) $\sin x tg x = \cos x + tg x$;
г) $\sin x + \sin 2x = tg x$.
Решение 1. №157 (с. 298)
 
                                                                                                                        Решение 3. №157 (с. 298)
 
                                                                                                                        Решение 5. №157 (с. 298)
а) Исходное уравнение: $\tg 3x - \tg x = 0$.
Определим область допустимых значений (ОДЗ). Тангенс $\tg \alpha$ определен, если $\cos \alpha \neq 0$.
Следовательно, должны выполняться условия: $\cos x \neq 0 \implies x \neq \frac{\pi}{2} + \pi n, n \in \mathbb{Z}$.
$\cos 3x \neq 0 \implies 3x \neq \frac{\pi}{2} + \pi m, m \in \mathbb{Z} \implies x \neq \frac{\pi}{6} + \frac{\pi m}{3}$.
Перенесем $\tg x$ в правую часть уравнения:
$\tg 3x = \tg x$
Это равенство выполняется, если аргументы тангенсов отличаются на число, кратное $\pi$.
$3x = x + \pi k$, где $k \in \mathbb{Z}$.
$2x = \pi k$
$x = \frac{\pi k}{2}$
Теперь необходимо проверить, удовлетворяют ли найденные корни ОДЗ.
Подставим $x = \frac{\pi k}{2}$ в условия ОДЗ.
1. $x \neq \frac{\pi}{2} + \pi n$. $\frac{\pi k}{2} = \frac{\pi}{2} + \pi n \implies k = 1 + 2n$. Это означает, что $k$ не может быть нечетным числом.
2. $x \neq \frac{\pi}{6} + \frac{\pi m}{3}$. Если $k$ — четное, т.е. $k=2j$, то $x=\pi j$. Подставляем: $\pi j \neq \frac{\pi}{6} + \frac{\pi m}{3} \implies 6j \neq 1 + 2m$. Это верно, так как слева четное число, а справа нечетное.
Если $k$ — нечетное, т.е. $k=2j+1$, то $x=\frac{\pi(2j+1)}{2} = \pi j + \frac{\pi}{2}$. Эти корни мы уже отбросили в первом пункте проверки. Таким образом, решением являются только те значения, где $k$ — четное число. Пусть $k=2m$, тогда $x = \frac{\pi (2m)}{2} = \pi m$.
Ответ: $x = \pi k, k \in \mathbb{Z}$.
б) Исходное уравнение: $\tg x - \sin x = 2 \sin^2 \frac{x}{2}$.
ОДЗ: $\cos x \neq 0 \implies x \neq \frac{\pi}{2} + \pi k, k \in \mathbb{Z}$.
Используем формулу понижения степени для правой части: $2 \sin^2 \frac{x}{2} = 1 - \cos x$.
Уравнение принимает вид:
$\tg x - \sin x = 1 - \cos x$
Заменим $\tg x$ на $\frac{\sin x}{\cos x}$:
$\frac{\sin x}{\cos x} - \sin x = 1 - \cos x$
Вынесем $\sin x$ за скобки в левой части:
$\sin x (\frac{1}{\cos x} - 1) = 1 - \cos x$
$\sin x \frac{1 - \cos x}{\cos x} = 1 - \cos x$
Перенесем все члены в одну сторону:
$\sin x \frac{1 - \cos x}{\cos x} - (1 - \cos x) = 0$
Вынесем общий множитель $(1 - \cos x)$ за скобки:
$(1 - \cos x) (\frac{\sin x}{\cos x} - 1) = 0$
$(1 - \cos x) (\tg x - 1) = 0$
Это уравнение эквивалентно совокупности двух уравнений:
1) $1 - \cos x = 0 \implies \cos x = 1$. Решением является $x = 2\pi n, n \in \mathbb{Z}$. Эти корни удовлетворяют ОДЗ. 2) $\tg x - 1 = 0 \implies \tg x = 1$. Решением является $x = \frac{\pi}{4} + \pi n, n \in \mathbb{Z}$. Эти корни также удовлетворяют ОДЗ, так как $\cos(\frac{\pi}{4} + \pi n) \neq 0$.
Ответ: $x = 2\pi k, k \in \mathbb{Z}; \quad x = \frac{\pi}{4} + \pi n, n \in \mathbb{Z}$.
в) Исходное уравнение: $\sin x \tg x = \cos x + \tg x$.
ОДЗ: $\cos x \neq 0 \implies x \neq \frac{\pi}{2} + \pi k, k \in \mathbb{Z}$.
Перегруппируем члены уравнения:
$\sin x \tg x - \tg x = \cos x$
Вынесем $\tg x$ за скобки:
$\tg x (\sin x - 1) = \cos x$
Заменим $\tg x = \frac{\sin x}{\cos x}$:
$\frac{\sin x}{\cos x}(\sin x - 1) = \cos x$
Так как по ОДЗ $\cos x \neq 0$, умножим обе части на $\cos x$:
$\sin x(\sin x - 1) = \cos^2 x$
Используем основное тригонометрическое тождество $\cos^2 x = 1 - \sin^2 x$:
$\sin^2 x - \sin x = 1 - \sin^2 x$
$2\sin^2 x - \sin x - 1 = 0$
Сделаем замену $t = \sin x$, где $|t| \le 1$.
$2t^2 - t - 1 = 0$
Находим корни квадратного уравнения: $t_1 = \frac{1 + \sqrt{1 - 4 \cdot 2 \cdot (-1)}}{4} = \frac{1+3}{4} = 1$; $t_2 = \frac{1 - 3}{4} = -\frac{1}{2}$.
Возвращаемся к переменной $x$:
1) $\sin x = 1$. Решение $x = \frac{\pi}{2} + 2\pi n, n \in \mathbb{Z}$. Для этих значений $\cos x = 0$, что противоречит ОДЗ. Следовательно, эти корни посторонние.
2) $\sin x = -\frac{1}{2}$. Решения: $x = -\frac{\pi}{6} + 2\pi n$ и $x = -\frac{5\pi}{6} + 2\pi n, n \in \mathbb{Z}$. В общей форме $x = (-1)^{n+1}\frac{\pi}{6} + \pi n, n \in \mathbb{Z}$. Эти значения удовлетворяют ОДЗ.
Ответ: $x = (-1)^{k+1} \frac{\pi}{6} + \pi k, k \in \mathbb{Z}$.
г) Исходное уравнение: $\sin x + \sin 2x = \tg x$.
ОДЗ: $\cos x \neq 0 \implies x \neq \frac{\pi}{2} + \pi k, k \in \mathbb{Z}$.
Используем формулу синуса двойного угла $\sin 2x = 2 \sin x \cos x$ и определение тангенса $\tg x = \frac{\sin x}{\cos x}$.
$\sin x + 2 \sin x \cos x = \frac{\sin x}{\cos x}$
Перенесем все в левую часть и вынесем $\sin x$ за скобки:
$\sin x (1 + 2\cos x - \frac{1}{\cos x}) = 0$
Получаем совокупность двух уравнений:
1) $\sin x = 0$. Решения $x = \pi n, n \in \mathbb{Z}$. Эти корни удовлетворяют ОДЗ, так как $\cos(\pi n) = \pm 1 \neq 0$.
2) $1 + 2\cos x - \frac{1}{\cos x} = 0$.
Умножим на $\cos x$ (по ОДЗ он не равен нулю):
$2\cos^2 x + \cos x - 1 = 0$
Сделаем замену $t = \cos x, |t| \le 1$.
$2t^2 + t - 1 = 0$
Корни этого уравнения: $t_1 = -1$ и $t_2 = \frac{1}{2}$.
Возвращаемся к переменной $x$:
2a) $\cos x = -1$. Решение $x = \pi + 2\pi n, n \in \mathbb{Z}$. Эти решения являются частным случаем серии $x = \pi k$ (при нечетных $k$), найденной в пункте 1.
2b) $\cos x = \frac{1}{2}$. Решения $x = \pm \frac{\pi}{3} + 2\pi n, n \in \mathbb{Z}$. Эти корни удовлетворяют ОДЗ.
Объединяя все найденные решения, получаем две серии корней.
Ответ: $x = \pi k, k \in \mathbb{Z}; \quad x = \pm \frac{\pi}{3} + 2\pi n, n \in \mathbb{Z}$.
Другие задания:
Помогло решение? Оставьте отзыв в комментариях ниже.
Присоединяйтесь к Телеграм-группе @top_gdz
ПрисоединитьсяМы подготовили для вас ответ c подробным объяснением домашего задания по алгебре за 10-11 класс, для упражнения номер 157 расположенного на странице 298 к учебнику 2008 года издания для учащихся школ и гимназий.
Теперь на нашем сайте ГДЗ.ТОП вы всегда легко и бесплатно найдёте условие с правильным ответом на вопрос «Как решить ДЗ» и «Как сделать» задание по алгебре к упражнению №157 (с. 298), авторов: Колмогоров (Андрей Николаевич), Абрамов (Александр Михайлович), Дудницын (Юрий Павлович), учебного пособия издательства Просвещение.
 
                     
                     
                     
                     
                     
                     
                     
                     
                     
                     
                     
                     
                     
                     
                     
                     
                     
                     
                    