Номер 152, страница 298 - гдз по алгебре 10-11 класс учебник Колмогоров, Абрамов
 
                                                Авторы: Колмогоров А. Н., Абрамов А. М., Дудницын Ю. П.
Тип: Учебник
Издательство: Просвещение
Год издания: 2008 - 2025
Цвет обложки: зелёный, чёрный
ISBN: 978-5-09-019513-3
Рекомендовано Министерством образования и науки Российской Федерации
Алгебра и начала математического анализа
Популярные ГДЗ в 10 классе
Глава 5. Задачи на повторение. Параграф 4. Уравнения, неравенства, системы уравнений и неравенств - номер 152, страница 298.
№152 (с. 298)
Условие. №152 (с. 298)
скриншот условия
 
                                                                                                                                        Решите уравнения (152—158).
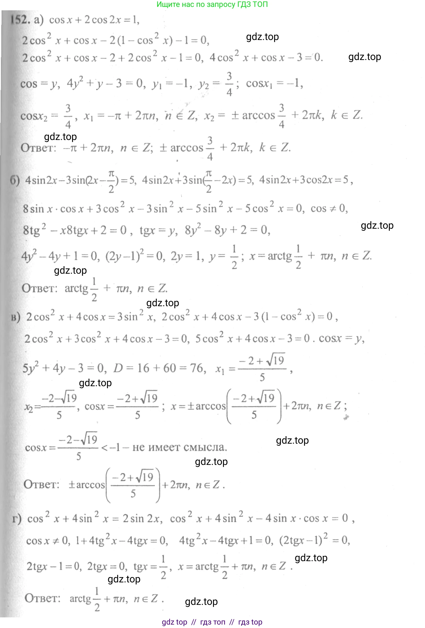
152. a) $ \cos x + 2 \cos 2x = 1; $
б) $ 4 \sin 2x - 3 \sin \left(2x - \frac{\pi}{3}\right) = 5; $
в) $ 2 \cos^2 x + 4 \cos x = 3 \sin^2 x; $
г) $ \cos^2 x + 4 \sin^2 x = 2 \sin 2x. $
Решение 1. №152 (с. 298)
 
                                                                                                                        Решение 3. №152 (с. 298)
 
                                                                                                                        Решение 5. №152 (с. 298)
а) Исходное уравнение: $cos x + 2 cos 2x = 1$.
Чтобы свести уравнение к одной функции, используем формулу косинуса двойного угла: $cos 2x = 2 cos^2 x - 1$.
Подставим это выражение в исходное уравнение:
$cos x + 2(2 cos^2 x - 1) = 1$
Раскроем скобки и приведем подобные слагаемые:
$cos x + 4 cos^2 x - 2 = 1$
$4 cos^2 x + cos x - 3 = 0$
Это квадратное уравнение относительно $cos x$. Сделаем замену переменной: пусть $t = cos x$. Так как область значений косинуса от $-1$ до $1$, то $|t| \le 1$.
$4t^2 + t - 3 = 0$
Найдем корни этого квадратного уравнения с помощью дискриминанта:
$D = b^2 - 4ac = 1^2 - 4 \cdot 4 \cdot (-3) = 1 + 48 = 49 = 7^2$
$t_1 = \frac{-b - \sqrt{D}}{2a} = \frac{-1 - 7}{2 \cdot 4} = \frac{-8}{8} = -1$
$t_2 = \frac{-b + \sqrt{D}}{2a} = \frac{-1 + 7}{2 \cdot 4} = \frac{6}{8} = \frac{3}{4}$
Оба корня удовлетворяют условию $|t| \le 1$. Теперь вернемся к замене:
1. $cos x = t_1 = -1$
Это частный случай, решение которого: $x = \pi + 2\pi k$, где $k \in \mathbb{Z}$.
2. $cos x = t_2 = \frac{3}{4}$
Общее решение для этого уравнения: $x = \pm \arccos\left(\frac{3}{4}\right) + 2\pi n$, где $n \in \mathbb{Z}$.
Ответ: $x = \pi + 2\pi k$, $x = \pm \arccos\frac{3}{4} + 2\pi n$, где $k, n \in \mathbb{Z}$.
б) Исходное уравнение: $4 \sin 2x - 3 \sin \left(2x-\frac{\pi}{3}\right) = 5$.
Используем формулу синуса разности: $\sin(\alpha - \beta) = \sin\alpha \cos\beta - \cos\alpha \sin\beta$.
$\sin\left(2x-\frac{\pi}{3}\right) = \sin(2x)\cos\left(\frac{\pi}{3}\right) - \cos(2x)\sin\left(\frac{\pi}{3}\right)$
Так как $\cos\left(\frac{\pi}{3}\right) = \frac{1}{2}$ и $\sin\left(\frac{\pi}{3}\right) = \frac{\sqrt{3}}{2}$, получаем:
$\sin\left(2x-\frac{\pi}{3}\right) = \frac{1}{2}\sin(2x) - \frac{\sqrt{3}}{2}\cos(2x)$
Подставим это в исходное уравнение:
$4 \sin 2x - 3\left(\frac{1}{2}\sin 2x - \frac{\sqrt{3}}{2}\cos 2x\right) = 5$
$4 \sin 2x - \frac{3}{2}\sin 2x + \frac{3\sqrt{3}}{2}\cos 2x = 5$
$\frac{5}{2}\sin 2x + \frac{3\sqrt{3}}{2}\cos 2x = 5$
Умножим обе части уравнения на 2:
$5\sin 2x + 3\sqrt{3}\cos 2x = 10$
Мы получили уравнение вида $a\sin y + b\cos y = c$, где $y=2x$, $a=5$, $b=3\sqrt{3}$, $c=10$.
Уравнение такого вида имеет решения только если выполняется условие $c^2 \le a^2 + b^2$. Проверим это условие:
$a^2 + b^2 = 5^2 + (3\sqrt{3})^2 = 25 + 9 \cdot 3 = 25 + 27 = 52$.
$c^2 = 10^2 = 100$.
Так как $100 > 52$, то есть $c^2 > a^2+b^2$, данное уравнение не имеет решений. Левая часть уравнения не может принимать значение, равное 10, так как ее максимальное значение равно $\sqrt{a^2+b^2} = \sqrt{52} \approx 7.21$.
Ответ: решений нет.
в) Исходное уравнение: $2 \cos^2 x + 4 \cos x = 3 \sin^2 x$.
Используем основное тригонометрическое тождество $\sin^2 x + \cos^2 x = 1$, из которого следует $\sin^2 x = 1 - \cos^2 x$.
Подставим это выражение в уравнение, чтобы свести его к одной функции $cos x$:
$2 \cos^2 x + 4 \cos x = 3(1 - \cos^2 x)$
$2 \cos^2 x + 4 \cos x = 3 - 3 \cos^2 x$
Перенесем все члены в левую часть:
$5 \cos^2 x + 4 \cos x - 3 = 0$
Сделаем замену переменной: пусть $t = \cos x$, где $|t| \le 1$.
$5t^2 + 4t - 3 = 0$
Найдем корни этого квадратного уравнения:
$D = 4^2 - 4 \cdot 5 \cdot (-3) = 16 + 60 = 76$
$\sqrt{D} = \sqrt{76} = \sqrt{4 \cdot 19} = 2\sqrt{19}$
$t_1 = \frac{-4 - 2\sqrt{19}}{10} = \frac{-2 - \sqrt{19}}{5}$
$t_2 = \frac{-4 + 2\sqrt{19}}{10} = \frac{-2 + \sqrt{19}}{5}$
Проверим, удовлетворяют ли корни условию $|t| \le 1$.
Для $t_1$: так как $\sqrt{19} > \sqrt{9} = 3$, то $-2 - \sqrt{19} < -5$, и $\frac{-2 - \sqrt{19}}{5} < -1$. Этот корень не подходит.
Для $t_2$: так как $4 < \sqrt{19} < 5$, то $2 < -2 + \sqrt{19} < 3$. Значит, $\frac{2}{5} < \frac{-2 + \sqrt{19}}{5} < \frac{3}{5}$. Этот корень удовлетворяет условию $|t_2| \le 1$.
Возвращаемся к замене:
$\cos x = \frac{-2 + \sqrt{19}}{5}$
Решение этого уравнения:
$x = \pm \arccos\left(\frac{-2 + \sqrt{19}}{5}\right) + 2\pi k$, где $k \in \mathbb{Z}$.
Ответ: $x = \pm \arccos\left(\frac{\sqrt{19}-2}{5}\right) + 2\pi k$, где $k \in \mathbb{Z}$.
г) Исходное уравнение: $\cos^2 x + 4 \sin^2 x = 2 \sin 2x$.
Преобразуем левую часть уравнения, используя основное тригонометрическое тождество:
$\cos^2 x + 4 \sin^2 x = (\cos^2 x + \sin^2 x) + 3\sin^2 x = 1 + 3\sin^2 x$.
Используем формулу синуса двойного угла для правой части: $\sin 2x = 2 \sin x \cos x$.
Уравнение принимает вид:
$1 + 3\sin^2 x = 2(2\sin x \cos x)$
$1 + 3\sin^2 x = 4\sin x \cos x$
Заменим 1 на $\sin^2 x + \cos^2 x$:
$(\sin^2 x + \cos^2 x) + 3\sin^2 x - 4\sin x \cos x = 0$
$4\sin^2 x - 4\sin x \cos x + \cos^2 x = 0$
Это однородное тригонометрическое уравнение второго порядка. Проверим, является ли $\cos x = 0$ решением. Если $\cos x = 0$, то $\sin x = \pm 1$. Подставив в уравнение, получим $4(\pm 1)^2 - 0 + 0 = 4 = 0$, что неверно. Следовательно, $\cos x \neq 0$, и мы можем разделить обе части уравнения на $\cos^2 x$:
$\frac{4\sin^2 x}{\cos^2 x} - \frac{4\sin x \cos x}{\cos^2 x} + \frac{\cos^2 x}{\cos^2 x} = 0$
$4\tan^2 x - 4\tan x + 1 = 0$
Это полный квадрат:
$(2\tan x - 1)^2 = 0$
$2\tan x - 1 = 0$
$\tan x = \frac{1}{2}$
Решение этого уравнения:
$x = \arctan\left(\frac{1}{2}\right) + \pi k$, где $k \in \mathbb{Z}$.
Ответ: $x = \arctan\frac{1}{2} + \pi k$, где $k \in \mathbb{Z}$.
Другие задания:
Помогло решение? Оставьте отзыв в комментариях ниже.
Присоединяйтесь к Телеграм-группе @top_gdz
ПрисоединитьсяМы подготовили для вас ответ c подробным объяснением домашего задания по алгебре за 10-11 класс, для упражнения номер 152 расположенного на странице 298 к учебнику 2008 года издания для учащихся школ и гимназий.
Теперь на нашем сайте ГДЗ.ТОП вы всегда легко и бесплатно найдёте условие с правильным ответом на вопрос «Как решить ДЗ» и «Как сделать» задание по алгебре к упражнению №152 (с. 298), авторов: Колмогоров (Андрей Николаевич), Абрамов (Александр Михайлович), Дудницын (Юрий Павлович), учебного пособия издательства Просвещение.
 
                     
                     
                     
                     
                     
                     
                     
                     
                     
                     
                     
                     
                     
                     
                     
                     
                     
                     
                    