Номер 146, страница 297 - гдз по алгебре 10-11 класс учебник Колмогоров, Абрамов
 
                                                Авторы: Колмогоров А. Н., Абрамов А. М., Дудницын Ю. П.
Тип: Учебник
Издательство: Просвещение
Год издания: 2008 - 2025
Цвет обложки: зелёный, чёрный
ISBN: 978-5-09-019513-3
Рекомендовано Министерством образования и науки Российской Федерации
Алгебра и начала математического анализа
Популярные ГДЗ в 10 классе
Глава 5. Задачи на повторение. Параграф 4. Уравнения, неравенства, системы уравнений и неравенств - номер 146, страница 297.
№146 (с. 297)
Условие. №146 (с. 297)
скриншот условия
 
                                                                                                                                        Решите уравнения (146–149).
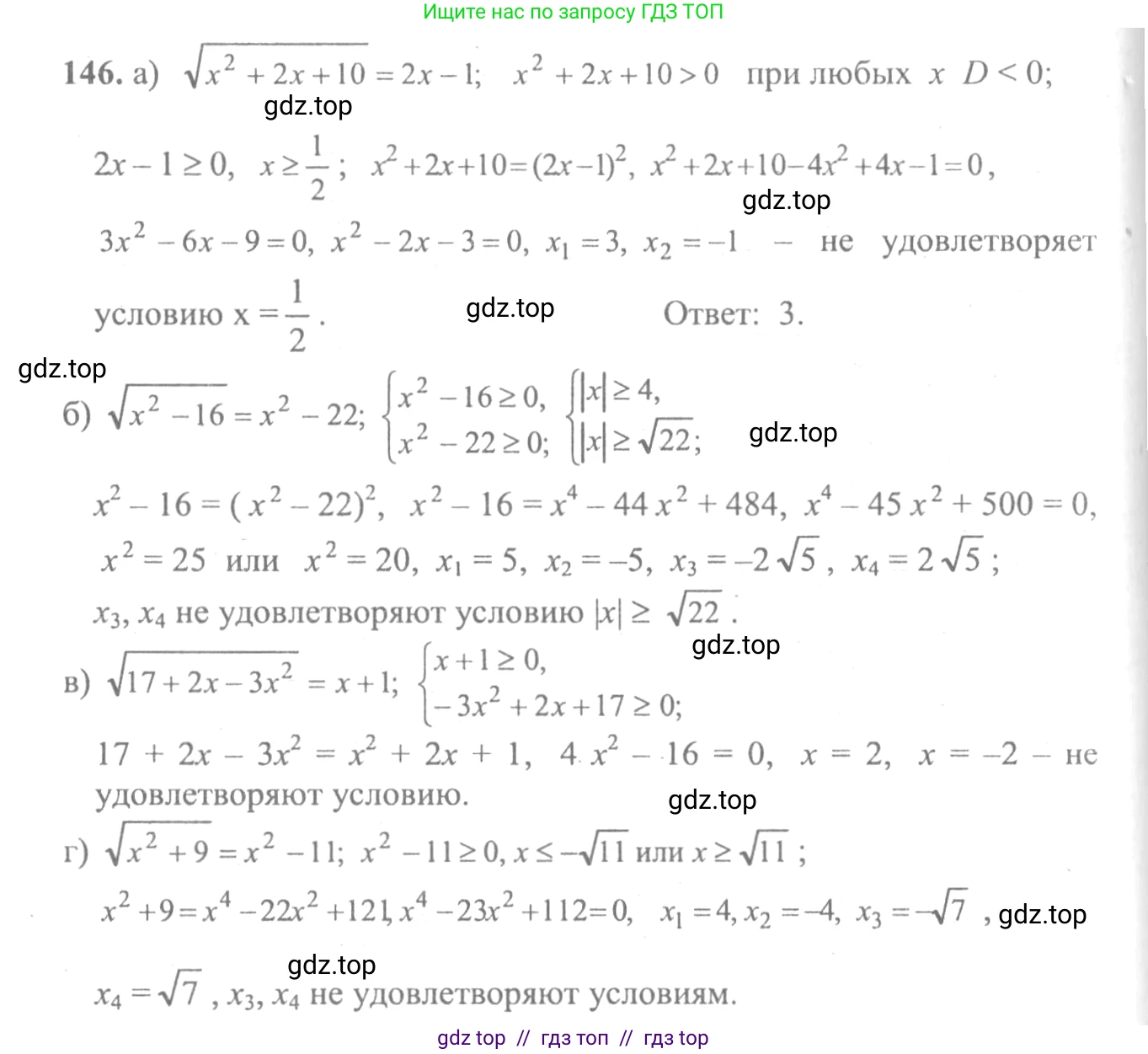
146. а) $\sqrt{x^2 + 2x + 10} = 2x - 1;$
б) $\sqrt{x^2 - 16} = x^2 - 22;$
в) $\sqrt{17 + 2x - 3x^2} = x + 1;$
г) $\sqrt{x^2 + 9} = x^2 - 11.$
Решение 1. №146 (с. 297)
 
                                                                                                                        Решение 3. №146 (с. 297)
 
                                                                                                                        Решение 5. №146 (с. 297)
а)
Дано уравнение $\sqrt{x^2 + 2x + 10} = 2x - 1$.
Это иррациональное уравнение вида $\sqrt{f(x)} = g(x)$, которое равносильно системе, где правая часть должна быть неотрицательной, и квадрат левой части равен квадрату правой:
$ \begin{cases} 2x - 1 \ge 0 \\ x^2 + 2x + 10 = (2x - 1)^2 \end{cases} $
Решим первое неравенство, чтобы найти область допустимых значений для $x$:
$2x - 1 \ge 0 \implies 2x \ge 1 \implies x \ge \frac{1}{2}$.
Теперь решим второе уравнение, возведя обе части исходного уравнения в квадрат:
$x^2 + 2x + 10 = (2x - 1)^2$
$x^2 + 2x + 10 = 4x^2 - 4x + 1$
Перенесем все члены в одну сторону, чтобы получить стандартное квадратное уравнение:
$4x^2 - x^2 - 4x - 2x + 1 - 10 = 0$
$3x^2 - 6x - 9 = 0$
Разделим обе части уравнения на 3 для упрощения:
$x^2 - 2x - 3 = 0$
Найдем корни этого квадратного уравнения, например, по теореме Виета:
Сумма корней $x_1 + x_2 = 2$
Произведение корней $x_1 \cdot x_2 = -3$
Отсюда находим корни: $x_1 = 3$ и $x_2 = -1$.
Теперь необходимо проверить, удовлетворяют ли найденные корни условию $x \ge \frac{1}{2}$.
Для $x_1 = 3$: $3 \ge \frac{1}{2}$ (верно).
Для $x_2 = -1$: $-1 \ge \frac{1}{2}$ (неверно). Этот корень является посторонним.
Таким образом, уравнение имеет единственный корень.
Ответ: 3
б)
Дано уравнение $\sqrt{x^2 - 16} = x^2 - 22$.
Для упрощения введем замену переменной. Пусть $y = x^2$. Поскольку $x^2 \ge 0$, то $y \ge 0$.
Из условия существования квадратного корня следует, что $x^2 - 16 \ge 0$, или $y - 16 \ge 0$, то есть $y \ge 16$.
Уравнение с новой переменной:
$\sqrt{y - 16} = y - 22$
Это уравнение равносильно системе:
$ \begin{cases} y - 22 \ge 0 \\ y - 16 = (y - 22)^2 \end{cases} $
Из первого неравенства получаем $y \ge 22$. Это условие является более строгим, чем $y \ge 16$.
Решим второе уравнение:
$y - 16 = y^2 - 44y + 484$
$y^2 - 45y + 500 = 0$
Найдем корни с помощью дискриминанта: $D = b^2 - 4ac = (-45)^2 - 4 \cdot 1 \cdot 500 = 2025 - 2000 = 25 = 5^2$.
$y = \frac{-b \pm \sqrt{D}}{2a} = \frac{45 \pm 5}{2}$
$y_1 = \frac{45 + 5}{2} = 25$
$y_2 = \frac{45 - 5}{2} = 20$
Проверим найденные значения $y$ на соответствие условию $y \ge 22$.
$y_1 = 25$ удовлетворяет условию ($25 \ge 22$).
$y_2 = 20$ не удовлетворяет условию ($20 < 22$), поэтому это посторонний корень.
Единственное подходящее значение $y = 25$. Выполним обратную замену:
$x^2 = 25$
Отсюда получаем два корня: $x_1 = 5$ и $x_2 = -5$.
Ответ: $\pm 5$
в)
Дано уравнение $\sqrt{17 + 2x - 3x^2} = x + 1$.
Уравнение равносильно системе:
$ \begin{cases} x + 1 \ge 0 \\ 17 + 2x - 3x^2 = (x + 1)^2 \end{cases} $
Из первого неравенства получаем область допустимых значений: $x \ge -1$.
Решим второе уравнение:
$17 + 2x - 3x^2 = x^2 + 2x + 1$
Перенесем все члены в правую часть:
$0 = x^2 + 3x^2 + 2x - 2x + 1 - 17$
$4x^2 - 16 = 0$
$4x^2 = 16$
$x^2 = 4$
Получаем два потенциальных корня: $x_1 = 2$ и $x_2 = -2$.
Проверим эти корни на соответствие условию $x \ge -1$.
Для $x_1 = 2$: $2 \ge -1$ (верно).
Для $x_2 = -2$: $-2 \ge -1$ (неверно). Это посторонний корень.
Таким образом, решением уравнения является только $x=2$.
Ответ: 2
г)
Дано уравнение $\sqrt{x^2 + 9} = x^2 - 11$.
Введем замену переменной. Пусть $y = x^2$, где $y \ge 0$.
Уравнение примет вид:
$\sqrt{y + 9} = y - 11$
Это уравнение равносильно системе:
$ \begin{cases} y - 11 \ge 0 \\ y + 9 = (y - 11)^2 \end{cases} $
Из первого неравенства получаем $y \ge 11$.
Решим второе уравнение:
$y + 9 = y^2 - 22y + 121$
$y^2 - 23y + 112 = 0$
Найдем корни с помощью дискриминанта: $D = b^2 - 4ac = (-23)^2 - 4 \cdot 1 \cdot 112 = 529 - 448 = 81 = 9^2$.
$y = \frac{-b \pm \sqrt{D}}{2a} = \frac{23 \pm 9}{2}$
$y_1 = \frac{23 + 9}{2} = 16$
$y_2 = \frac{23 - 9}{2} = 7$
Проверим найденные значения $y$ на соответствие условию $y \ge 11$.
$y_1 = 16$ удовлетворяет условию ($16 \ge 11$).
$y_2 = 7$ не удовлетворяет условию ($7 < 11$), поэтому это посторонний корень.
Единственное подходящее значение $y = 16$. Выполним обратную замену:
$x^2 = 16$
Отсюда получаем два корня: $x_1 = 4$ и $x_2 = -4$.
Ответ: $\pm 4$
Другие задания:
Помогло решение? Оставьте отзыв в комментариях ниже.
Присоединяйтесь к Телеграм-группе @top_gdz
ПрисоединитьсяМы подготовили для вас ответ c подробным объяснением домашего задания по алгебре за 10-11 класс, для упражнения номер 146 расположенного на странице 297 к учебнику 2008 года издания для учащихся школ и гимназий.
Теперь на нашем сайте ГДЗ.ТОП вы всегда легко и бесплатно найдёте условие с правильным ответом на вопрос «Как решить ДЗ» и «Как сделать» задание по алгебре к упражнению №146 (с. 297), авторов: Колмогоров (Андрей Николаевич), Абрамов (Александр Михайлович), Дудницын (Юрий Павлович), учебного пособия издательства Просвещение.
 
                     
                     
                     
                     
                     
                     
                     
                     
                     
                     
                     
                     
                     
                     
                     
                     
                     
                     
                    